相关产品推荐更多 >
万千商家帮你免费找货
0 人在求购买到急需产品
- 详细信息
- 文献和实验
- 技术资料
- 保存条件:
储存-20℃,干燥、避光、密封
- 保质期:
2年
- 英文名:
Calcineurin Substrate
- 库存:
1000
- 供应商:
四川省维克奇生物科技有限公司
- CAS号:
113873-67-9
- 规格:
20mg 50mg 100mg 500mg 1g 2g等应客户需求包装.
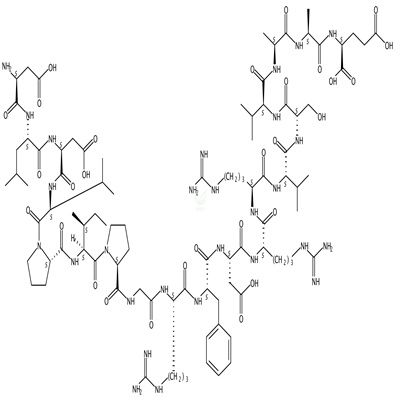
中文名称:钙调神经磷酸酶底物
英文名称:Calcineurin Substrate
英文别名:L-α-Aspartyl-L-leucyl-L-α-aspartyl-L-valyl-L-prolyl-L-isoleucyl-L-prolylglycyl-L-arginyl-L-phenylalanyl-L-α-aspartyl-L-arginyl-L-arginyl-L-valyl-L-seryl-L-valyl-L-alanyl-L-alanyl-L-glutamic acid;1: PN: DE10250870 PAGE: 3/73 unclaimed sequence;1: PN: EP2631647 SEQID: 1 claimed sequence;1: PN: EP976823 SEQID: 1 unclaimed protein;1: PN: WO2006048242 PAGE: 17 unclaimed sequence;1: PN: WO2011085176 SEQID: 1 unclaimed sequence;2: PN: WO2004056970 TABLE: 1 unclaimed sequence
分子式:C92H150N28O29
分子量:2112.35
CAS号:113873-67-9
纯度:HPLC≥97%
密度:1.49±0.1 g/cm3 | Condition: Temp: 20 °C Press: 760 Torr
储存条件:-20℃,干燥、避光、密封
规格:5mg10mg20mg50mg100mg500mg1g2g等应客户需求包装
供应单位:四川省维克奇生物科技有限公司
供应电话:028-81700200/4008005713
四川省维克奇生物科技有限公司生产中药类标准品和天然植物有效单体,主打中药对照品/标准品/天然植物有效单体,化学合成,抗生素三大板块。公司推出丹参系列、龙胆系列、虫草系列等,敬请关注! 新批次有现货,欢迎咨询。
风险提示:丁香通仅作为第三方平台,为商家信息发布提供平台空间。用户咨询产品时请注意保护个人信息及财产安全,合理判断,谨慎选购商品,商家和用户对交易行为负责。对于医疗器械类产品,请先查证核实企业经营资质和医疗器械产品注册证情况。
文献和实验四川省维克奇生物科技有限公司成立于2006年,注册资本100万元,是四川省成都市一家专业从事天然药物纯化分离公司。
主打对照品/标准品/天然植物有效单体,化学合成,抗生素三大板块。实验室拥有一批精密的分离纯化系统和检测设备;拥有一批技术精湛的研究队伍;拥有一套完整的质量管理体系;
公司可承接以下业务:
1、指定化合物克级---公斤级定制业务;
2、指定药材全系列的分离纯化业务;
3、新化合物的分离纯化及结构鉴定业务;
4、指定结构式的合成定制业务;
5、液相、质谱、核磁等检测业务。
多年的积累,公司拥有上万个现货化合物以及以下系列成熟的分离纯化工艺:甘草系列、人参系列、补骨脂系列、雷公藤系列、银杏系列、黄芪皂苷系列、黄芩系列、柴胡系列、酸枣仁系列、重楼系列、五味子系列、大黄系列、丹参系列、柴胡系列、远志系列、平贝系列等,更多系列请查看产品中心。
公司不断提高现有产品质量和开发新化合物,因此赢来了很多知名的高等学府和研究所为我公司长期合作单位,比如:清华大学、中国药科大学、广州中医药大学、江西中医药大学、成都中医药大学,四川大学、暨南大学、辽宁中医药大学、香港浸會大學中醫藥學院、上海交通大学、吉林大学、大连化物所、中国农业科学院特产研究所、中国医学科学院药用植物研究所、澳门大学中华医药研究院........我们在专注于开发国内市场的同时,不断开发国际市场,目前已远销台湾,韩国,日本,加拿大,印度,美国,英国,澳大利亚等地区和国家。在中药对照品、标准品行业里赢得了广大客户良好的口碑,受到广大客户的信赖和好评。
公司未来的发展方向是为从事药物研究行业的学者、企业搭建一个交流与合作的平台。因此,公司在自主研发的同时,敞开公司大门,吸纳有能力开发新化合物的各研究所、各大专院校、企业加入我们公司。共同探讨和研究天然药物化学这门博大精深,永无止境的事业。
公司真诚邀请您的加入,共同携手为人类健康事业做出贡献。
猪 钙调神经磷酸酶(CaN) 酶联免疫 分析 试剂 盒使用说明书 本试剂仅供研究使用 目的:本试剂盒用于测定猪血清,血浆及相关液体样本中 钙调神经磷酸酶 的含量。 实验原理 : 本试剂盒应用 双抗体 夹心法测定 标本 中 猪 钙调神经磷酸酶 水平。用纯化的 猪 钙调神经磷酸酶 抗体 包被微孔板,制成固相 抗 体,往包被 单抗 的微孔中加入 钙调神经磷酸酶 ,再与HRP 标记的 钙调神经磷酸酶 抗体结合,形成抗体- 抗原 - 酶标抗体复合
植物 钙调磷酸酶(CaN ) 酶联免疫 分析( ELISA ) 试剂 盒使用说明书 本试剂仅供研究使用 目的:本试剂盒用于测定植物组织,细胞及其它相关样本中 钙调磷酸酶(CaN) 含量。 实验原理 : 本试剂盒应用双抗体夹心法测定 标本 中 植物 钙调磷酸酶(CaN ) 水平。用纯化的 植物 钙调磷酸酶(CaN ) 抗体包被微孔板,制成固相抗体,往包被单抗的微孔中依次加入 钙调磷酸酶(CaN ) 抗原 ,再与HRP 标记的 钙调
胞苷一磷酸-N-乙酰神经氨酸cytidine monophosphate N-acetylneuraminic acid
简写为 CMP- N-乙酰神经氨酸。 N-乙酰神经氨酸是一种多糖,特别是其作为分泌在动物细胞表面或细胞外的糖蛋白质和糖脂质末端的糖成分而广泛地分布着。其末端残基是通过总称为唾液酸转移酶( sialyltransfer- ase)的酶从这种 CMP- N-乙酰神经氨酸转移而来。一般具有这种机能的糖核苷酸,是糖结合到核苷二磷酸上,但仅 CMP- N-乙酰神经氨酸是例外。 CMP- N-乙酰神经氨酸是通过专性的焦磷酸化酶的作用从 CTP和 N-乙酰神经氨酸进行生物合成的。极







![(7R)-1,2,3,4,6,7,8,8a-octahydropyrrolo[1,2-a]pyrazin-7-ol oxalic acid CAS号 2665069-71-4](https://img1.dxycdn.com/p/s14/2025/1127/346/8068264306861293991.png!wh200)
![噻吩并[3,4-b]噻吩 CAS号 250-65-7](https://img1.dxycdn.com/p/s14/2025/1127/741/6739680616600293991.png!wh200)

