相关产品推荐更多 >
万千商家帮你免费找货
0 人在求购买到急需产品
- 详细信息
- 文献和实验
- 技术资料
- 库存:
50
- 英文名:
环磷酰胺一水合物(97.0-103.0%, Reagent grade)
- 保质期:
两年
- 供应商:
上海信裕生物科技有限公司
- 保存条件:
4°C避光保存,两年有效。
- 规格:
250mg;1g;5g
基本信息(General Information):
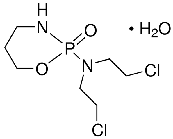
| Name (Chinese) | 环磷酰胺一水合物 | ![]() |
| Name (English) | Cyclophosphamide monohydrate | |
| Specifications | Reagent grade, 97.0 - 103.0 % | |
| Synonym (Chinese) | 2-[双(2-氯乙基)氨基]四氢-2H-1,3,2-噁磷-2-氧化物 | |
| Synonym (English) | 2-[Bis(2-chloroethyl)amino]tetrahydro-2H-1,3,2-oxazaphosphorine 2-oxide; Cytoxan | |
| Beilstein Registry No | 4678992 | |
| EINECS Number | 200-015-4 | |
| MDL Number | MFCD00149395 | |
| UNSPSC Code | 12352200 |
产品描述(Description):
| Application | 环磷酰胺一水合物用于: •测试其对Tc-1肿瘤细胞的抗肿瘤作用。 •作为多药溶液的一种成分,用于分离抗药性人伯基特淋巴瘤细胞系。 •在小鼠肿瘤细胞系中检测抗肿瘤免疫。 |
| General description | 环磷酰胺(cyc)是一种细胞毒性烷基化剂。它用由肝脏中的细胞色素P-450酶系统激活,具有免疫调节功能并抑制体液和细胞免疫。 |
| Biochem/physiol Actions | 环磷酰胺是一种广泛用于癌症化疗的具有细胞毒性的衍生物。 它交叉连接DNA,导致链断裂并诱发突变。其临床活性与乙醛脱氢酶1(ALDH1)活性的降低有关。 |
性质(Properties):
| storage temp. | 2-8°C |
| mp | 49-51°C(lit.) |
| assay | 97.0-103.0% (HPLC) |
| Gene Information | human ... ALDH1A1(216), ALDH1B1(219) |
安全信息(Safety Information):
| Hazard Pictogram Codes | ![]() |
| Signal Word | Danger |
| Hazard Statements | H301-H350 |
| Precautionary Statements | P201-P301 + P310-P308 + P313 |
| Personal Protective Equipment | Eyeshields, Faceshields, full-face particle respirator type N100 (US), Gloves, respirator cartridge type N100 (US), type P1 (EN143) respirator filter, type P3 (EN 143) respirator cartridges |
| Hazard Codes (Europe) | T |
| Risk Codes (Europe) | 45-25 |
| Safety Codes (Europe) | 53-45 |
| RIDADR | UN 3464 6.1 / PGIII |
| WGK Germany | 3 |
| RTECS | RP6157750 |
| Flash Point (F) | 235.4 F |
| Flash Point (C) | 113°C |
包装清单:
| 产品编号 | 产品名称 | 包装 |
| XY-1191-250mg | 环磷酰胺一水合物(97.0-103.0%, Reagent grade) | 250mg |
| XY-1191-1g | 环磷酰胺一水合物(97.0-103.0%, Reagent grade) | 1g |
| XY-1191-5g | 环磷酰胺一水合物(97.0-103.0%, Reagent grade) | 5g |
| - | 说明书 | 1份 |
保存条件:
4°C避光保存,两年有效。
注意事项:
本产品仅限于专业人员的科学研究用,不得用于临床诊断或治疗,不得用于食品或药品,不得存放于普通住宅内。
为了您的安全和健康,请穿实验服并戴一次性手套操作。
风险提示:丁香通仅作为第三方平台,为商家信息发布提供平台空间。用户咨询产品时请注意保护个人信息及财产安全,合理判断,谨慎选购商品,商家和用户对交易行为负责。对于医疗器械类产品,请先查证核实企业经营资质和医疗器械产品注册证情况。
文献和实验本制品是一种快速方便的总RNA提取试剂,可以从动物组织、植物材料、各种微生物、培养细胞等中提取总RNA。样品在RNAiso Reagent中能够充分被裂解,在加入氯仿离心后,溶液会形成上清层、中间层和有机层(下层),RNA分布在上清层中,收集上清层后,经异丙醇沉淀便可以回收得到总RNA。RNAiso Reagent具有很强的广谱性,可以适用于各种样品的总RNA提取,提取过程方便快速,整个操作在一小时内便可以完成。经本制品提取的总RNA纯度高,基本不含蛋白质及基因组 DNA,提取的RNA可以直接
实验步骤 1. Routine Protocol The following protocol is optimized for the control DNA and the primers provided with this kit. This protocol may serve as a starting point for any PCR amplification. Critical parameters
Food-Grade Corynebacteria for Enzyme Production
The expression of genes coding for heterologous extracellular enzymes or proteins in corynebacteria has provided new capacities to these industrially important microorganisms, such as the use of the culture media as sources of essential amino
技术资料暂无技术资料 索取技术资料










