相关产品推荐更多 >
万千商家帮你免费找货
0 人在求购买到急需产品
- 详细信息
- 技术资料
- 供应商:
上海信裕生物科技有限公司
- 库存:
50
- 英文名:
DiI (细胞膜红色荧光探针)
- 规格:
10mg
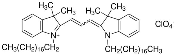
DiI即DiIC18(3),全称为1,1'-dioctadecyl-3,3,3',3'-tetramethylindocarbocyanine perchlorate,是最常用的细胞膜荧光探针之一,呈现橙红色荧光。DiI是一种亲脂性膜染料,进入细胞膜后可以侧向扩散逐渐使整个细胞的细胞膜被染色。
DiI在进入细胞膜之前荧光非常弱,仅当进入到细胞膜后才可以被激发出很强的荧光。DiI被激发后可以发出橙红色的荧光,DiI和磷酯双层膜结合后的激发光谱和发射光谱参考下图。其中,最大激发波长为549nm,最大发射波长为565nm。

DiI的分子式为C59H97ClN2O4,分子量为933.88,CAS number为41085-99-8。
DiI可以溶解于无水乙醇、DMSO和DMF,其中在DMSO中的溶解度大于10mg/ml。发现较难溶解时可以适当加热,并用超声处理以促进溶解。
DiI被广泛用于正向或逆向的,活的或固定的神经等细胞或组织的示踪剂或长期示踪剂(long-term tracer)。DiI通常不会影响细胞的生存力(viability)。被DiI标记的神经细胞在体外培养的条件下可以存活长达4周,在体内可以长达一年。DiI在经过固定的神经元细胞膜上的迁移速率为0.2-0.6mm/day,在活的神经元细胞膜上的迁移速率为6mm/day。
DiI除了最简单的细胞膜荧光标记外,还可以用于检测细胞的融合和粘附,检测发育或移植过程中细胞迁移,通过FRAP(Fluorescence Recovery After Photobleaching)检测脂在细胞膜上的扩散,检测细胞毒性和标记脂蛋白等。
用于细胞膜荧光标记时,DiI的常用浓度为1-25μM,最常用的浓度为5-10μM。DiI可以直接染色活的细胞或组织,染色时间通常为5-20分钟。对于固定的细胞或组织,通常宜使用配制在PBS中的4%进行固定,使用其它不适当的固定液会导致荧光背景较高。
包装清单:
| 产品编号 | 产品名称 | 包装 |
| XY-1036 | DiI (细胞膜红色荧光探针) | 10mg |
| — | 说明书 | 1份 |
保存条件:
4℃避光保存,一年有效。配制的储存液-20℃避光保存,半年有效。
注意事项:
荧光染料均存在淬灭问题,请尽量注意避光,以减缓荧光淬灭。
本产品仅限于专业人员的科学研究用,不得用于临床诊断或治疗,不得用于食品或药品,不得存放于普通住宅内。
为了您的安全和健康,请穿实验服并戴一次性手套操作。
风险提示:丁香通仅作为第三方平台,为商家信息发布提供平台空间。用户咨询产品时请注意保护个人信息及财产安全,合理判断,谨慎选购商品,商家和用户对交易行为负责。对于医疗器械类产品,请先查证核实企业经营资质和医疗器械产品注册证情况。
技术资料暂无技术资料 索取技术资料








