相关产品推荐更多 >
万千商家帮你免费找货
0 人在求购买到急需产品
- 详细信息
- 文献和实验
- 技术资料
- 供应商:
上海羽朵
- 库存:
100
- 英文名:
ECBN HCL
- 规格:
1g
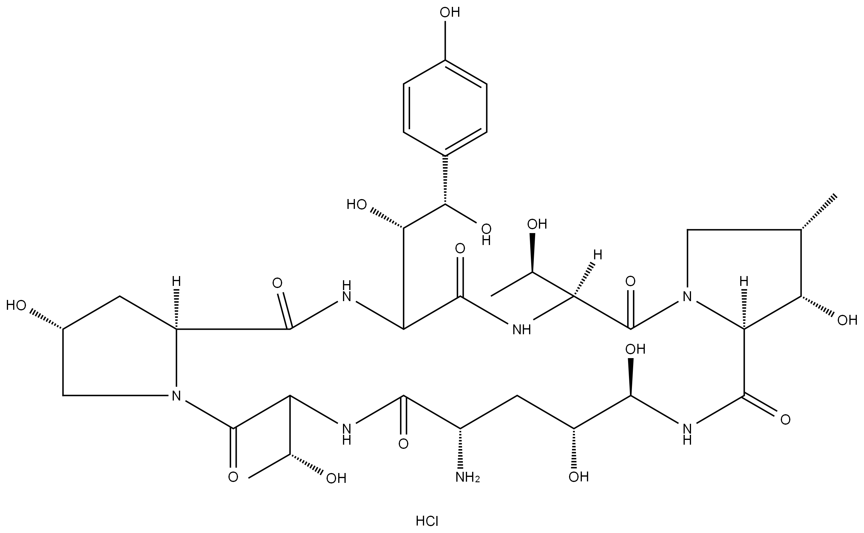
| 中文名称: | 1-[(4R,5R)-4,5-二羟基-L-鸟氨酸]棘白菌素 B 盐酸盐 |
| 中文同义词: | 1-[(4R,5R)-4,5-二羟基-L-鸟氨酸]棘白菌素 B 盐酸盐;阿尼芬净前体;棘白菌素B盐酸盐;盐酸棘白霉素B;棘白菌素B母核盐酸盐;ECBN (阿尼芬净前体);棘白菌素盐酸盐;CS-2380 |
| 英文名称: | 1-[(4R,5R)-4,5-Dihydroxy-L-ornithine]echinocandin B hydrochloride (1:1) |
| 英文同义词: | 1-[(4R,5R)-4,5-Dihydroxy-L-ornithine]echinocandin B hydrochloride (1:1);Echinocandin B nucleus hydrochloride;ECBN;ECBN HCL;1-[(4R,5R)-4,5-Dihydroxy-L-ornithine]echinocandin B hydrochloride;1-[(4R,5R)-4,5-Dihydroxy-L-ornithine]echinocandin B hydrochloride (1;Anidulafungin Nucleus |
| CAS号: | 1029890-89-8 |
| 分子式: | C34H52ClN7O15 |
| 分子量: | 834.26758 |
| EINECS号: | |
| 相关类别: | 医药原料药 |
| Mol文件: | 1029890-89-8.mol |
![]() |
|
| 6-青基-N-[(1,2-二氢-4,6-二甲基-2-氧代-3-吡啶基)甲基]-1-(1-乙基丙基)-1H-吲哚-4-甲酰胺 | 1418308-27-6 |
| CS-2343 | 1708971-72-5 |
| H-89二盐-酸盐 | 127243-85-0 |
| CS-2388 | 1642300-52-4 |
| 5-[4-[2-(4-吗啉基)乙氧基]苯基]-N-(苯基甲基)-2-吡啶乙酰胺 | 897016-82-9 |
| N-(6-氯-7-甲氧基-9H-吡啶并[3,4-B]吲哚-8-基)-2-甲基-3-吡啶甲酰胺 | 783348-36-7 |
| MT-1303游离 | 942399-20-4 |
| NQDI 1 | 175026-96-7 |
| OZANIMOD | 1306760-87-1 |
| 2-(仲丁基二硫基)-1H-咪唑 | 141400-58-0 |
| 3-[(3-氯-4-羟苯基)氨基]-4-(2-硝苯基)-1H-吡-咯-2,5-二酮 | 264218-23-7 |
风险提示:丁香通仅作为第三方平台,为商家信息发布提供平台空间。用户咨询产品时请注意保护个人信息及财产安全,合理判断,谨慎选购商品,商家和用户对交易行为负责。对于医疗器械类产品,请先查证核实企业经营资质和医疗器械产品注册证情况。
文献和实验实验89 酶的提取、分离、纯化及其活性测定 原理 酶是植物体内具有催化作用的蛋白质,植物体内的生化反应,一般都是在酶的作用下进行的,没有酶的催化反应,植物的生命也就停止了,因此对酶的研究是阐明生命现象本质中十分重要的部分。 为要研究酶首先要将酶从组织中提取出来,加以分离、纯化,不同的研究目的对酶制剂的纯度要求也不相同,有些工作只需要粗的酶制剂即可,而有些工作则要求较纯的酶制剂,需根据不同
made after temperature and concentration adjustment. Also good buffers, e.g., Tris and Phosphate, are stable for a long time period. 10X TE (10:2) 1X 1L 10X 10mM Tris-HCl 8.9 g Tris-HCl 5.3 g Tris-Base 2 mM Na3EDTA 7.4 g pH 8 at 25 C. Mix and store
Nucleotide Composition of RNA LEVEL II Materials RNA sample 1 N and 0.1 N HCl Boiling water bath Whatman #1 filter paper (for chromatography) Chromatography tank 20
技术资料暂无技术资料 索取技术资料







![1-[(4R,5R)-4,5-二羟基-L-鸟氨酸]棘白菌素 B 盐酸盐](https://img1.dxycdn.com/p/s14/2024/0423/456/8860565281209852871.gif)

