相关产品推荐更多 >
万千商家帮你免费找货
0 人在求购买到急需产品
- 详细信息
- 文献和实验
- 技术资料
- 库存:
52
- 英文名:
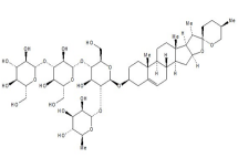
b-D-Glucopyranoside, (3b,25R)-spirost-5-en-3-yl O-b-D-glucopyranosyl-(1®3)-O-b-D-glucopyranosyl-(1®4)-O-[6-deoxy-a-L-mannopyranosyl-(1®2)]-
- CAS号:
91653-50-8
- 保质期:
详见说明书
- 供应商:
上海一研
- 保存条件:
低温冷藏
- 规格:
20mg/50mg/1g
产品名称 91653-50-8盾叶新苷、盾叶薯蓣皂苷I
英文名称 b-D-Glucopyranoside, (3b,25R)-spirost-5-en-3-yl O-b-D-glucopyranosyl-(1®3)-O-b-D-glucopyranosyl-(1®4)-O-[6-deoxy-a-L-mannopyranosyl-(1®2)]-
分 子 量: 1047.18
CAS NO.: 91653-50-8
纯 度: ≥98%
分子式: C51H82O22
性状: 白色结晶粉末
规格: 20mg/50mg/1g,可按客户需求包装!
用途: 用于科研研究、鉴定、药理实验等
熔点: 285-287 °C
溶解性: 可溶于甲醇、乙醇、DMSO等有机溶剂
提取来源: 中药葫芦巴种子、重楼、穿龙薯蓣、盾叶薯蓣根茎
药理药效: 补充中......
鉴别方法: NMR;Ms
检测方法: 采用Welchrom C18(250 mm×4.6mm,5μm)色谱柱;流动相:腈(A)-水(B),梯度洗脱(0~5 min,25%A→30%A;5-20 min,30%A;20→35 min,30%A→35%A;35→45 min,35%A→47%A;45→47 min,47%A→60%A;47→60 min,60%A);体积流速:1.0 mL.min-1;柱温:23℃;蒸发光散射检测器(漂移管温度:90.0℃,气体流速:2.8 L.min-1)
贮存条件: 低温冷藏,避光,密封,干燥
注意事项: 无
有效期限: 2年
供货能力: 现货,可根据可以客户需求批量定制
标准品或对照品的管理规范:
1.规范购入使用台账,严格表明购入时间、批号、来源、数量、使用期限等内容;申购的标准品或对照品的批号要与新颁布标准品或对照品批号相符;
2.严格按照规定条件进行储存,标准品或对照品的状极不稳定,对储存条件和方式非常苛刻;
3.规范管理和使用:
(1)严格按照说明书要求,由于标准品或对照品的不稳定性,若不安产品说明书的要求操作,极易造成较大的误差,从而影响检测结果;
(2)称量精密准确,标准品和对照品的含量测定要求不同,对精密性的要求很高;
(3)对于长期贮存的制备品,应充分考虑各方面的影响因素,规范操作;
(4)同时配制两份对照溶液以控制检验误差,由于现在药品的标准含量测定方法较多采用对照比较法,在测定过程中,仅配制一份对照溶液容易造成因配制对照溶液过程出现偏差;
(5)自行标定的标准品或对照品,严格规范操作,保证标准的可靠传递,并保证其可溯源性和准确性。
产品优势:
价格实惠,我们是有多年销售经验的生物试剂公司,对于同行业的市场,具有独到的判断力,欢迎广大客户与我司取得联系,并询问实时报价;
保质保量,我司严格按照国家关于标准品、对照品的标准和要求进行,操作规范,检测严格;
种类齐全,有植物标准品(对照品)、中药标准品(对照品)以及其他标准品,更多信息可以与我司销售客服联系;
服务周到,我们对售前和售后进行全程跟踪,如遇什么问题,我们都会尽力帮您解决。
以下是 91653-50-8盾叶新苷、盾叶薯蓣皂苷I的相关产品:
RaddeaninA89412-79-3 分子量:C47H76O16 纯度:>=98%
Vindoline2182-14-1 分子量:C25H32N2O6 纯度:>=98%
HederasaponinB36284-77-2 分子量:C59H96O25 纯度:>=98%
SaikosaponinC20736-08-7 分子量:C48H72O17 纯度:>=98%
Indigo482-89-3 分子量:C16H10N2O2 纯度:>=98%
Ranaconitine大型多功能肽酶7Elisa检测试剂盒英文缩写:LMP7分子式:C28H40O6性状:Yellow powder纯度:97.5%
PrimOglucosylcimifugin素受体1Elisa检测试剂盒英文缩写:CNR1分子式:C15H18O3性状:Powder纯度:95.0%
alphaBoswellic acid存活素Elisa检测试剂盒英文缩写:Surv分子式:性状:Powder纯度:98.0%
(+)Usniacin脆性X智力迟钝蛋白1Elisa检测试剂盒英文缩写:FMR1分子式:C28H40O6性状:Yellow powder纯度:98.0%
Kaempferol催乳素受体Elisa检测试剂盒英文缩写:PRLR分子式:C15H24O性状:Powder纯度:%
7Ethyl10HydroxyCamptothecin簇集蛋白Elisa检测试剂盒英文缩写:CLU分子式:C15H24O性状:Oil纯度:%
pHydroxycinnamic acid促胰液素受体Elisa检测试剂盒英文缩写:SCTR分子式:C15H24O性状:Oil纯度:%
Phenethyl caffeate促胰液素Elisa检测试剂盒英文缩写:SCT分子式:C28H40O6性状:Yellow powder纯度:93.0%
Borneol促微管蛋白聚合蛋白Elisa检测试剂盒英文缩写:TPPP分子式:C15H28O2性状:Powder纯度:98.0%
Picroside III促肾上腺皮质素释放激素结合蛋白Elisa检测试剂盒英文缩写:CRHBP分子式:C15H20O3性状:Oil纯度:70.0%
DGlucosamine sulfate促肾上腺皮质激素样中叶肽Elisa检测试剂盒英文缩写:CLIP分子式:C15H24O性状:Oil纯度:%
Liraglutide促泌素Elisa检测试剂盒英文缩写:SCGN分子式:C28H38O7性状:Yellow powder纯度:97.5%
Stachydrine促凋亡蛋白1Elisa检测试剂盒英文缩写:APOPT1分子式:C28H40O6性状:Yellow powder纯度:93.0%
Sudan II丛状蛋白D1Elisa检测试剂盒英文缩写:PLXND1分子式:C14H22O2性状:Oil纯度:90.0%
Eriodictyol丛状蛋白C1Elisa检测试剂盒英文缩写:PLXNC1分子式:C15H24O性状:Oil纯度:93.0%
91653-50-8盾叶新苷、盾叶薯蓣皂苷IChicken basic fibroblast growth factor,bFGF ELISA Kit 鸡性成纤维细胞生长因子(bFGF)ELISA试剂盒 进口/分装规格:96T/48T130335200204效价测定阿米卡星规格:200mg
Chicken Soluble Intercellular Adhesion Molecule1,sICAM1 ELISA Kit 鸡可溶性细胞间粘附分子1(sICAM1)ELISA试剂盒进口/原装规格:96T/48T1303379803效价测定麦迪霉素规格:200mg
Chicken soluble Eselectin,sEselectin ELISA Kit 鸡可溶性E选择素(sEselectin)ELISA试剂盒 特价促销规格:96T/48T130338200303效价测定去万古霉素规格:150mg
Chicken Epidermal growth factor,EGF ELISA Kit 鸡表皮生长因子(EGF)ELISA试剂盒 特价供应规格:96T/48T1303399802效价测定卷曲霉素规格:200mg
Chicken Insulinlike growth factors 1,IGF1 ELISA Kit 鸡胰岛素样生长因子1(IGF1)ELISA试剂盒 进口/分装规格:96T/48T130340200002效价测定妥布霉素规格:200mg
Chicken growth hormone,GH ELISA Kit 鸡生长激素(GH)ELISA试剂盒 进口/原装规格:96T/48T1303419402效价测定麦白霉素规格:400mg
注意事项:
1、保存
请按照说明书的规定进行保存,一般放置于干燥阴凉处为宜;
注意产品的使用期限,过期变质的产品不宜使用。
2.使用
不同对照品性状不同,一般有以下几种使用形式:
(1)无需处理,直接使用;
(2)样品有引湿性,建议开封后一次性用完;
(3)热稳定样品,每支含水量不均匀,干燥三小时后再使用;
(4)热不稳定样品,每支含水量不均匀,减压干燥后使用;干燥温度若无特别说明,一般为室温(10-30℃)
(5)样品含水量较大,且每支含水量不均匀,临用前先自测水分。
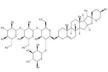
英文名称 b-D-Glucopyranoside, (3b,25R)-spirost-5-en-3-yl O-b-D-glucopyranosyl-(1®3)-O-b-D-glucopyranosyl-(1®4)-O-[6-deoxy-a-L-mannopyranosyl-(1®2)]-
分 子 量: 1047.18
CAS NO.: 91653-50-8
纯 度: ≥98%
分子式: C51H82O22
性状: 白色结晶粉末
规格: 20mg/50mg/1g,可按客户需求包装!
用途: 用于科研研究、鉴定、药理实验等
熔点: 285-287 °C
溶解性: 可溶于甲醇、乙醇、DMSO等有机溶剂
提取来源: 中药葫芦巴种子、重楼、穿龙薯蓣、盾叶薯蓣根茎
药理药效: 补充中......
鉴别方法: NMR;Ms
检测方法: 采用Welchrom C18(250 mm×4.6mm,5μm)色谱柱;流动相:腈(A)-水(B),梯度洗脱(0~5 min,25%A→30%A;5-20 min,30%A;20→35 min,30%A→35%A;35→45 min,35%A→47%A;45→47 min,47%A→60%A;47→60 min,60%A);体积流速:1.0 mL.min-1;柱温:23℃;蒸发光散射检测器(漂移管温度:90.0℃,气体流速:2.8 L.min-1)
贮存条件: 低温冷藏,避光,密封,干燥
注意事项: 无
有效期限: 2年
供货能力: 现货,可根据可以客户需求批量定制
| 产品名称 | 91653-50-8盾叶新苷、盾叶薯蓣皂苷I |
| 英文名称 | b-D-Glucopyranoside, (3b,25R)-spirost-5-en-3-yl O-b-D-glucopyranosyl-(1®3)-O-b-D-glucopyranosyl-(1®4)-O-[6-deoxy-a-L-mannopyranosyl-(1®2)]- |
| 规格 | 20mg/50mg/1g |
标准品或对照品的管理规范:
1.规范购入使用台账,严格表明购入时间、批号、来源、数量、使用期限等内容;申购的标准品或对照品的批号要与新颁布标准品或对照品批号相符;
2.严格按照规定条件进行储存,标准品或对照品的状极不稳定,对储存条件和方式非常苛刻;
3.规范管理和使用:
(1)严格按照说明书要求,由于标准品或对照品的不稳定性,若不安产品说明书的要求操作,极易造成较大的误差,从而影响检测结果;
(2)称量精密准确,标准品和对照品的含量测定要求不同,对精密性的要求很高;
(3)对于长期贮存的制备品,应充分考虑各方面的影响因素,规范操作;
(4)同时配制两份对照溶液以控制检验误差,由于现在药品的标准含量测定方法较多采用对照比较法,在测定过程中,仅配制一份对照溶液容易造成因配制对照溶液过程出现偏差;
(5)自行标定的标准品或对照品,严格规范操作,保证标准的可靠传递,并保证其可溯源性和准确性。
产品优势:
价格实惠,我们是有多年销售经验的生物试剂公司,对于同行业的市场,具有独到的判断力,欢迎广大客户与我司取得联系,并询问实时报价;
保质保量,我司严格按照国家关于标准品、对照品的标准和要求进行,操作规范,检测严格;
种类齐全,有植物标准品(对照品)、中药标准品(对照品)以及其他标准品,更多信息可以与我司销售客服联系;
服务周到,我们对售前和售后进行全程跟踪,如遇什么问题,我们都会尽力帮您解决。
以下是 91653-50-8盾叶新苷、盾叶薯蓣皂苷I的相关产品:
RaddeaninA89412-79-3 分子量:C47H76O16 纯度:>=98%
Vindoline2182-14-1 分子量:C25H32N2O6 纯度:>=98%
HederasaponinB36284-77-2 分子量:C59H96O25 纯度:>=98%
SaikosaponinC20736-08-7 分子量:C48H72O17 纯度:>=98%
Indigo482-89-3 分子量:C16H10N2O2 纯度:>=98%
Ranaconitine大型多功能肽酶7Elisa检测试剂盒英文缩写:LMP7分子式:C28H40O6性状:Yellow powder纯度:97.5%
PrimOglucosylcimifugin素受体1Elisa检测试剂盒英文缩写:CNR1分子式:C15H18O3性状:Powder纯度:95.0%
alphaBoswellic acid存活素Elisa检测试剂盒英文缩写:Surv分子式:性状:Powder纯度:98.0%
(+)Usniacin脆性X智力迟钝蛋白1Elisa检测试剂盒英文缩写:FMR1分子式:C28H40O6性状:Yellow powder纯度:98.0%
Kaempferol催乳素受体Elisa检测试剂盒英文缩写:PRLR分子式:C15H24O性状:Powder纯度:%
7Ethyl10HydroxyCamptothecin簇集蛋白Elisa检测试剂盒英文缩写:CLU分子式:C15H24O性状:Oil纯度:%
pHydroxycinnamic acid促胰液素受体Elisa检测试剂盒英文缩写:SCTR分子式:C15H24O性状:Oil纯度:%
Phenethyl caffeate促胰液素Elisa检测试剂盒英文缩写:SCT分子式:C28H40O6性状:Yellow powder纯度:93.0%
Borneol促微管蛋白聚合蛋白Elisa检测试剂盒英文缩写:TPPP分子式:C15H28O2性状:Powder纯度:98.0%
Picroside III促肾上腺皮质素释放激素结合蛋白Elisa检测试剂盒英文缩写:CRHBP分子式:C15H20O3性状:Oil纯度:70.0%
DGlucosamine sulfate促肾上腺皮质激素样中叶肽Elisa检测试剂盒英文缩写:CLIP分子式:C15H24O性状:Oil纯度:%
Liraglutide促泌素Elisa检测试剂盒英文缩写:SCGN分子式:C28H38O7性状:Yellow powder纯度:97.5%
Stachydrine促凋亡蛋白1Elisa检测试剂盒英文缩写:APOPT1分子式:C28H40O6性状:Yellow powder纯度:93.0%
Sudan II丛状蛋白D1Elisa检测试剂盒英文缩写:PLXND1分子式:C14H22O2性状:Oil纯度:90.0%
Eriodictyol丛状蛋白C1Elisa检测试剂盒英文缩写:PLXNC1分子式:C15H24O性状:Oil纯度:93.0%
91653-50-8盾叶新苷、盾叶薯蓣皂苷IChicken basic fibroblast growth factor,bFGF ELISA Kit 鸡性成纤维细胞生长因子(bFGF)ELISA试剂盒 进口/分装规格:96T/48T130335200204效价测定阿米卡星规格:200mg
Chicken Soluble Intercellular Adhesion Molecule1,sICAM1 ELISA Kit 鸡可溶性细胞间粘附分子1(sICAM1)ELISA试剂盒进口/原装规格:96T/48T1303379803效价测定麦迪霉素规格:200mg
Chicken soluble Eselectin,sEselectin ELISA Kit 鸡可溶性E选择素(sEselectin)ELISA试剂盒 特价促销规格:96T/48T130338200303效价测定去万古霉素规格:150mg
Chicken Epidermal growth factor,EGF ELISA Kit 鸡表皮生长因子(EGF)ELISA试剂盒 特价供应规格:96T/48T1303399802效价测定卷曲霉素规格:200mg
Chicken Insulinlike growth factors 1,IGF1 ELISA Kit 鸡胰岛素样生长因子1(IGF1)ELISA试剂盒 进口/分装规格:96T/48T130340200002效价测定妥布霉素规格:200mg
Chicken growth hormone,GH ELISA Kit 鸡生长激素(GH)ELISA试剂盒 进口/原装规格:96T/48T1303419402效价测定麦白霉素规格:400mg
注意事项:
1、保存
请按照说明书的规定进行保存,一般放置于干燥阴凉处为宜;
注意产品的使用期限,过期变质的产品不宜使用。
2.使用
不同对照品性状不同,一般有以下几种使用形式:
(1)无需处理,直接使用;
(2)样品有引湿性,建议开封后一次性用完;
(3)热稳定样品,每支含水量不均匀,干燥三小时后再使用;
(4)热不稳定样品,每支含水量不均匀,减压干燥后使用;干燥温度若无特别说明,一般为室温(10-30℃)
(5)样品含水量较大,且每支含水量不均匀,临用前先自测水分。
风险提示:丁香通仅作为第三方平台,为商家信息发布提供平台空间。用户咨询产品时请注意保护个人信息及财产安全,合理判断,谨慎选购商品,商家和用户对交易行为负责。对于医疗器械类产品,请先查证核实企业经营资质和医疗器械产品注册证情况。
文献和实验相关实验
发展历史 1976年德国马普生物物理化学研究所Neher和Sakmann首次在青蛙肌细胞上用双电极钳制膜电位的同时,记录到ACh激活的单通道离子电流,从而产生了膜片钳技术。 1980年Sigworth等在记录电极内施加5-50 cmH2O的负压吸引,得到10-100GW10-100G?的高阻封接 (Giga-seal),大大降低了记录时的噪声实现了单根电极既钳制膜片电位又记录单通道电流的突破。 1981年Hamill和Neher等对该技术进行了改进,引进了膜片游离技术和全细胞记录技术,从而使该技术更趋完善
技术资料暂无技术资料 索取技术资料
91653-50-8盾叶新苷、盾叶薯蓣皂苷I厂家
询价










