相关产品推荐更多 >
万千商家帮你免费找货
0 人在求购买到急需产品
- 详细信息
- 文献和实验
- 技术资料
- 库存:
37
- 保质期:
详见说明书
- 供应商:
上海一研
- 保存条件:
低温冷藏
- 规格:
20mg/50mg/1g
价格实惠,我们是有多年销售经验的生物试剂公司,对于同行业的市场,具有独到的判断力,欢迎广大客户与我司取得联系,并询问实时报价;
保质保量,我司严格按照国家关于标准品、对照品的标准和要求进行,操作规范,检测严格;
种类齐全,有植物标准品(对照品)、中药标准品(对照品)以及其他标准品,更多信息可以与我司销售客服联系;
服务周到,我们对售前和售后进行全程跟踪,如遇什么问题,我们都会尽力帮您解决。
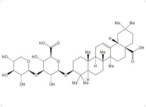
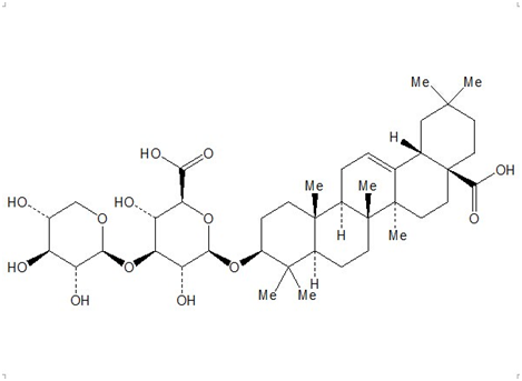
| 产品名称 | 紫杉肽 |
| 英文名称 | |
| 规格 | 20mg/50mg/1g |
纯 度: ≥98%
性状:
规格: 20mg/50mg/1g,可按客户需求包装!
用途: 用于科研研究、鉴定、药理实验等
溶解性: 可溶于甲醇、乙醇、DMSO等有机溶剂;
提取来源:
药理药效: 紫杉肽具有抗肿瘤的作用
鉴别方法: NMR;Ms
检测方法: HPLC
贮存条件: 低温冷藏,避光,密封,干燥
注意事项:
有效期限: 2年
供货能力: 现货,可根据可以客户需求批量定制
标准品或对照品的管理规范:
1.规范购入使用台账,严格表明购入时间、批号、来源、数量、使用期限等内容;申购的标准品或对照品的批号要与新颁布标准品或对照品批号相符;
2.严格按照规定条件进行储存,标准品或对照品的状极不稳定,对储存条件和方式非常苛刻;
3.规范管理和使用:
(1)严格按照说明书要求,由于标准品或对照品的不稳定性,若不安产品说明书的要求操作,极易造成较大的误差,从而影响检测结果;
(2)称量精密准确,标准品和对照品的含量测定要求不同,对精密性的要求很高;
(3)对于长期贮存的制备品,应充分考虑各方面的影响因素,规范操作;
(4)同时配制两份对照溶液以控制检验误差,由于现在药品的标准含量测定方法较多采用对照比较法,在测定过程中,仅配制一份对照溶液容易造成因配制对照溶液过程出现偏差;
(5)自行标定的标准品或对照品,严格规范操作,保证标准的可靠传递,并保证其可溯源性和准确性。
注意事项:
1、保存
请按照说明书的规定进行保存,一般放置于干燥阴凉处为宜;
注意产品的使用期限,过期变质的产品不宜使用。
2.使用
不同对照品性状不同,一般有以下几种使用形式:
(1)无需处理,直接使用;
(2)样品有引湿性,建议开封后一次性用完;
(3)热稳定样品,每支含水量不均匀,干燥三小时后再使用;
(4)热不稳定样品,每支含水量不均匀,减压干燥后使用;干燥温度若无特别说明,一般为室温(10-30℃)
(5)样品含水量较大,且每支含水量不均匀,临用前先自测水分。
以下是 紫杉肽的相关产品:
Radix glycyrrhizae preparata灸甘草LAMP鉴定试剂盒 质量规格:>98%,BR,USP可用于细胞培养 2934-97-6
Radix polygoni multiflori preparata制何首乌LAMP鉴定试剂盒 质量规格:HPLC>99%,标准品 1778-02-5
Radix astragali preparata炙黄芪LAMP鉴定试剂盒 质量规格:>99% 1778-02-5
Rhizoma anemarrhenae知母LAMP鉴定试剂盒 质量规格:HPLC>98%,标准品 9012-76-4
Fructus aurantii immaturus枳实LAMP鉴定试剂盒 质量规格:>97.0% 9012-76-4
那可丁规格:96T/48T试剂盒组装/原装
规格:96T/48T试剂盒组装/原装
2氨基2’氯5硝基二规格:96T/48T试剂盒组装/原装
奥沙规格:96T/48T试剂盒组装/原装
盐爱康宁规格:96T/48T试剂盒组装/原装
盐甲基爱康宁规格:96T/48T试剂盒组装/原装
甲酰爱康宁规格:96T/48T试剂盒组装/原装
盐纳规格:96T/48T试剂盒组装/原装
()4,5α环氧基3,14二羟基喃6规格:96T/48T试剂盒组装/原装
盐规格:96T/48T试剂盒组装/原装
盐非西定规格:96T/48T试剂盒组装/原装
氯卓规格:96T/48T试剂盒组装/原装
盐纳曲规格:96T/48T试剂盒组装/原装
马来咪规格:96T/48T试剂盒组装/原装
盐二氢规格:96T/48T试剂盒组装/原装
紫杉肽马生长激素(GH)Elisa Kit(学发光免疫分析法)Sulfadimethoxine 100mg
马免疫球蛋白E(IgE)Elisa Kit(学发光免疫分析法)Sulfadiazine 1g
马β内啡肽(βEP)Elisa Kit(学发光免疫分析法)Sulfachlorpyridazine 1g
马β淀粉样蛋白140(Aβ140)Elisa Kit(学发光免疫分析法)Sulfacetamide Sodium 250mg
骆驼转生长因子β2(TGFβ2)Elisa Kit(学发光免疫分析法)Sulfacetamide 5mg
骆驼脂蛋白脂酶A2(LpPLA2)Elisa Kit(学发光免疫分析法)Sulfabenzamide 100mg
骆驼内皮素1(ET1)Elisa Kit(学发光免疫分析法)Sucrose Octaacetate 1g
骆驼β内啡肽(βEP)Elisa Kit(学发光免疫分析法)Sucrose 5g
风险提示:丁香通仅作为第三方平台,为商家信息发布提供平台空间。用户咨询产品时请注意保护个人信息及财产安全,合理判断,谨慎选购商品,商家和用户对交易行为负责。对于医疗器械类产品,请先查证核实企业经营资质和医疗器械产品注册证情况。
文献和实验当今,盐雾箱厂家的发展趋势无疑就三个字:自动化。面对科技水平,功能的不断提高,智能化日趋明显,仪器独立工作的能力也进入一个新的里程。 盐雾箱厂家与控制系统未来发展的关注点应当是: 1、功能安全 近年�功能安全的重要发展是,大量经过功能安全认证的仪表推向市场。为了争取竞争中有利地位,几乎所有盐雾箱厂家制造商都会开展功能安全的研究。 2、自动化仪表与企业的信息化 自动化仪表技术包括信息采集、处理和应用。“企业信息化”实际上是企业信息的集成和整合。这是
单层敞开式摇瓶机厂家报价? 产品说明: JY-25-54单层敞开式摇床是同类产品中技术较先进和质量完善可靠的产品,造型美观大方,数显测速,转速可任意设定,操作简便,实为生物工程、医药、卫生、微生物学等行业科研和生产使用的理想仪器. 主要特征: 1、精湛的制作工艺,确保机械运转更稳定更可靠。 2、单层敞开式摇床机芯采用优质铸铁和NSK进口轴承使机械更坚固耐用。 3、交流感应长寿命电机、款、宽调速、恒力矩、无碳刷、免保养。 4、独特的电机过热,温度失控自动断电
数显电热鼓风干燥箱 本仪器是厂矿,试验室科研单位用于烘干各种材料的必备仪器,前门带观察孔,内胆采用不锈钢焊接而成,温度数显自控,直观等优点。 主要技术参数: 1、温控范围:50-300℃ 2、温控精度:±1℃ 3、加热器两组(瓦数根据箱子大小而定) 4、工作压力:220V 380V 5、箱内尺寸:各种规格全部生产 北京中诺远东科技有限公司 全国销售热线:4006-828-938 销售传真:010-82893844
技术资料暂无技术资料 索取技术资料






![2005454-28-2N-[[[(1S)-1-[3-(2-Pyrazinyl)-1,2,4-oxadiazol-5-yl]-3-butyn-1-yl]amino]carbonyl]-L-threonin](https://img1.dxycdn.com/2020/0225/044/3398646512300346344-14.jpg!wh200)



