相关产品推荐更多 >
万千商家帮你免费找货
0 人在求购买到急需产品
- 详细信息
- 技术资料
- 库存:
54
- 英文名:
8-Geranyloxypsoralen
- CAS号:
7437-55-0
- 保质期:
详见说明书
- 供应商:
上海一研
- 保存条件:
低温冷藏
- 规格:
20mg/50mg/1g
以下是7437-55-08-香叶草氧基补骨脂素说明书的相关产品:
人利什曼原虫(Leishimaria Ab) 质量规格:BR Dextrin
人利尿肽(KP) 质量规格:>98%,BR Benzidamine HCl
人冷球蛋白(CG) 质量规格:分类范围3×100000 Sephadex G-50
人类粘蛋白2(ORM2) 质量规格:分类范围3×100000 Sephadex G-50
人类粘蛋白(ORM) 质量规格:>99.0%,BR (S)-(+)-Mandelic acid
人类嗜T淋巴细胞Ⅰ型病毒(HTLV-Ⅰ) 质量规格:>99%,BR (R)-(−)-Mandelic acid
人类似RIKEN cDNA A630077B13 基因 质量规格:>98%,BR 1-Aminohydantoin Hydrochloride
人类似RIKEN cDNA 4933429F08 基因 质量规格:HPLC>98%,标准品 1-Aminohydantoin Hydrochloride
人类似RIKEN cDNA 4931408D14 基因 质量规格:>98%,BR ACTH (1-24), human
人类似RIKEN cDNA 3110050K21 基因 质量规格:>98% Bradykinin
人类似RIKEN cDNA 2610307008 基因 质量规格:>98% Bradykinin acetate
人类似RIKEN cDNA 2010109K09 基因 质量规格:>95% α-MSH
人类似cDNA顺序BC027382 质量规格:>95% Endothelin-1, human,porcine
人类似60S核糖体蛋白L21(LOC382344) 质量规格:>95% Bombesin
人类风湿因子(RF) 质量规格:>95% VIP, human, porcine, rat; VIP (28 amino acids)
产品名称 7437-55-08-香叶草氧基补骨脂素说明书
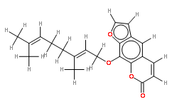
英文名称 8-Geranyloxypsoralen
分 子 量: 338.4
CAS NO.: 7437-55-0
纯 度: ≥98%
分子式: C21H22O4
性状:
规格: 20mg/50mg/1g,可按客户需求包装!
用途: 用于科研研究、鉴定、药理实验等
熔点:
溶解性:
提取来源:
药理药效:
鉴别方法: NMR;Ms
检测方法:
贮存条件: 低温冷藏,避光,密封,干燥
注意事项:
有效期限: 2年
供货能力: 现货,可根据可以客户需求批量定制
产品优势:
价格实惠,我们是有多年销售经验的生物试剂公司,对于同行业的市场,具有独到的判断力,欢迎广大客户与我司取得联系,并询问实时报价;
保质保量,我司严格按照国家关于标准品、对照品的标准和要求进行,操作规范,检测严格;
种类齐全,有植物标准品(对照品)、中药标准品(对照品)以及其他标准品,更多信息可以与我司销售客服联系;
服务周到,我们对售前和售后进行全程跟踪,如遇什么问题,我们都会尽力帮您解决。
注意事项:
1、保存
请按照说明书的规定进行保存,一般放置于干燥阴凉处为宜;
注意产品的使用期限,过期变质的产品不宜使用。
2.使用
不同对照品性状不同,一般有以下几种使用形式:
(1)无需处理,直接使用;
(2)样品有引湿性,建议开封后一次性用完;
(3)热稳定样品,每支含水量不均匀,干燥三小时后再使用;
(4)热不稳定样品,每支含水量不均匀,减压干燥后使用;干燥温度若无特别说明,一般为室温(10-30℃)
(5)样品含水量较大,且每支含水量不均匀,临用前先自测水分。
灰黄霉素 Griseofulvin;Fulcin 126-07-8 质量规格:>97%,BR
磺溴酞钠(>98%,BR) Sulfobromophthalein disodium salt hydrate 123359-42-2 质量规格:>98%,BR
磺酰荧光素(>75.0%(HPLC)(T)) Sulfonfluorescein 921940 质量规格:>75.0%(HPLC)(T)
磺基水杨酸钠 Sodium sulfosalicylate 1300-64-1 质量规格:AR
磺基罗丹明101 Sulforhodamine 101; Sulforhodamine 640 60311-02-6 质量规格:>97%
磺丁基-β-环糊精;磺丁基醚倍他环糊精钠 Captisol( beta-Cyclodextrin, sulfobutyl ethers, sodium salts) 182410-00-0 质量规格:>99%,USP
磺草灵(标准品) Asulam 3337-71-1 质量规格:HPLC>98%,标准品
磺草灵 Asulam 3337-71-1 质量规格:>95%
磺苄西林(标准品) SULBENICILLIN 41744-40-5 质量规格:效价测定
磺胺异噁唑(标准品) Sulfisoxazole 127-69-5 质量规格:分析标准品
磺胺噻唑钠盐 Sulfathiazole sodium salt 144-74-1 质量规格:美国进口
磺胺噻唑(标准品) Sulfathiazole 72-14-0 质量规格:含量测定
磺胺噻唑 Sulfathiazole 72-14-0 质量规格:>99%,BR
磺胺嘧啶银(标准品) Silver Sulfadiazine 22199-08-2 质量规格:>98%,标准品
磺胺嘧啶银 Silver Sulfadiazine 22199-08-2 质量规格:>98%,USP31,BR
磺胺嘧啶钠(标准品) Sodium sulfadiazine(SD-Na) 547-32-0 质量规格:HPLC>98%,标准品
磺胺嘧啶钠 Sodium sulfadiazine(SD-Na) 547-32-0 质量规格:>98%,BR
磺胺嘧啶-d4 Sulfadiazine-d4 1020719-78-1 质量规格:美国进口
磺胺嘧啶(标准品) Sulfadiazine 68-35-9 质量规格:含量测定
7437-55-08-香叶草氧基补骨脂素说明书小鼠铜蓝蛋白(CP/CER)ELISA试剂盒Astilbin纯度:>95%
小鼠铁蛋白(FE)ELISA试剂盒Shikimic acid纯度:>95%
小鼠糖原酶同工酶MM(GPMM)ELISA试剂盒Xylitol纯度:>95%
小鼠糖原酶同工酶II(GPII)ELISA试剂盒Cynaroside纯度:>95%
小鼠糖原酶同工酶BB(GPBB)ELISA试剂盒Luteolin纯度:>95%
小鼠糖原合成酶激酶(GSK)ELISA试剂盒Luteolin5Oglucoside纯度:>95%
小鼠糖皮质类固醇受体(GR)ELISA试剂盒Loganin纯度:>95%
标准品或对照品的管理规范:
1.规范购入使用台账,严格表明购入时间、批号、来源、数量、使用期限等内容;申购的标准品或对照品的批号要与新颁布标准品或对照品批号相符;
2.严格按照规定条件进行储存,标准品或对照品的状极不稳定,对储存条件和方式非常苛刻;
3.规范管理和使用:
(1)严格按照说明书要求,由于标准品或对照品的不稳定性,若不安产品说明书的要求操作,极易造成较大的误差,从而影响检测结果;
(2)称量精密准确,标准品和对照品的含量测定要求不同,对精密性的要求很高;
(3)对于长期贮存的制备品,应充分考虑各方面的影响因素,规范操作;
(4)同时配制两份对照溶液以控制检验误差,由于现在药品的标准含量测定方法较多采用对照比较法,在测定过程中,仅配制一份对照溶液容易造成因配制对照溶液过程出现偏差;
(5)自行标定的标准品或对照品,严格规范操作,保证标准的可靠传递,并保证其可溯源性和准确性。
人利什曼原虫(Leishimaria Ab) 质量规格:BR Dextrin
人利尿肽(KP) 质量规格:>98%,BR Benzidamine HCl
人冷球蛋白(CG) 质量规格:分类范围3×100000 Sephadex G-50
人类粘蛋白2(ORM2) 质量规格:分类范围3×100000 Sephadex G-50
人类粘蛋白(ORM) 质量规格:>99.0%,BR (S)-(+)-Mandelic acid
人类嗜T淋巴细胞Ⅰ型病毒(HTLV-Ⅰ) 质量规格:>99%,BR (R)-(−)-Mandelic acid
人类似RIKEN cDNA A630077B13 基因 质量规格:>98%,BR 1-Aminohydantoin Hydrochloride
人类似RIKEN cDNA 4933429F08 基因 质量规格:HPLC>98%,标准品 1-Aminohydantoin Hydrochloride
人类似RIKEN cDNA 4931408D14 基因 质量规格:>98%,BR ACTH (1-24), human
人类似RIKEN cDNA 3110050K21 基因 质量规格:>98% Bradykinin
人类似RIKEN cDNA 2610307008 基因 质量规格:>98% Bradykinin acetate
人类似RIKEN cDNA 2010109K09 基因 质量规格:>95% α-MSH
人类似cDNA顺序BC027382 质量规格:>95% Endothelin-1, human,porcine
人类似60S核糖体蛋白L21(LOC382344) 质量规格:>95% Bombesin
人类风湿因子(RF) 质量规格:>95% VIP, human, porcine, rat; VIP (28 amino acids)
| 产品名称 | 7437-55-08-香叶草氧基补骨脂素说明书 |
| 英文名称 | 8-Geranyloxypsoralen |
| 规格 | 20mg/50mg/1g |
英文名称 8-Geranyloxypsoralen
分 子 量: 338.4
CAS NO.: 7437-55-0
纯 度: ≥98%
分子式: C21H22O4
性状:
规格: 20mg/50mg/1g,可按客户需求包装!
用途: 用于科研研究、鉴定、药理实验等
熔点:
溶解性:
提取来源:
药理药效:
鉴别方法: NMR;Ms
检测方法:
贮存条件: 低温冷藏,避光,密封,干燥
注意事项:
有效期限: 2年
供货能力: 现货,可根据可以客户需求批量定制
产品优势:
价格实惠,我们是有多年销售经验的生物试剂公司,对于同行业的市场,具有独到的判断力,欢迎广大客户与我司取得联系,并询问实时报价;
保质保量,我司严格按照国家关于标准品、对照品的标准和要求进行,操作规范,检测严格;
种类齐全,有植物标准品(对照品)、中药标准品(对照品)以及其他标准品,更多信息可以与我司销售客服联系;
服务周到,我们对售前和售后进行全程跟踪,如遇什么问题,我们都会尽力帮您解决。
注意事项:
1、保存
请按照说明书的规定进行保存,一般放置于干燥阴凉处为宜;
注意产品的使用期限,过期变质的产品不宜使用。
2.使用
不同对照品性状不同,一般有以下几种使用形式:
(1)无需处理,直接使用;
(2)样品有引湿性,建议开封后一次性用完;
(3)热稳定样品,每支含水量不均匀,干燥三小时后再使用;
(4)热不稳定样品,每支含水量不均匀,减压干燥后使用;干燥温度若无特别说明,一般为室温(10-30℃)
(5)样品含水量较大,且每支含水量不均匀,临用前先自测水分。
灰黄霉素 Griseofulvin;Fulcin 126-07-8 质量规格:>97%,BR
磺溴酞钠(>98%,BR) Sulfobromophthalein disodium salt hydrate 123359-42-2 质量规格:>98%,BR
磺酰荧光素(>75.0%(HPLC)(T)) Sulfonfluorescein 921940 质量规格:>75.0%(HPLC)(T)
磺基水杨酸钠 Sodium sulfosalicylate 1300-64-1 质量规格:AR
磺基罗丹明101 Sulforhodamine 101; Sulforhodamine 640 60311-02-6 质量规格:>97%
磺丁基-β-环糊精;磺丁基醚倍他环糊精钠 Captisol( beta-Cyclodextrin, sulfobutyl ethers, sodium salts) 182410-00-0 质量规格:>99%,USP
磺草灵(标准品) Asulam 3337-71-1 质量规格:HPLC>98%,标准品
磺草灵 Asulam 3337-71-1 质量规格:>95%
磺苄西林(标准品) SULBENICILLIN 41744-40-5 质量规格:效价测定
磺胺异噁唑(标准品) Sulfisoxazole 127-69-5 质量规格:分析标准品
磺胺噻唑钠盐 Sulfathiazole sodium salt 144-74-1 质量规格:美国进口
磺胺噻唑(标准品) Sulfathiazole 72-14-0 质量规格:含量测定
磺胺噻唑 Sulfathiazole 72-14-0 质量规格:>99%,BR
磺胺嘧啶银(标准品) Silver Sulfadiazine 22199-08-2 质量规格:>98%,标准品
磺胺嘧啶银 Silver Sulfadiazine 22199-08-2 质量规格:>98%,USP31,BR
磺胺嘧啶钠(标准品) Sodium sulfadiazine(SD-Na) 547-32-0 质量规格:HPLC>98%,标准品
磺胺嘧啶钠 Sodium sulfadiazine(SD-Na) 547-32-0 质量规格:>98%,BR
磺胺嘧啶-d4 Sulfadiazine-d4 1020719-78-1 质量规格:美国进口
磺胺嘧啶(标准品) Sulfadiazine 68-35-9 质量规格:含量测定
7437-55-08-香叶草氧基补骨脂素说明书小鼠铜蓝蛋白(CP/CER)ELISA试剂盒Astilbin纯度:>95%
小鼠铁蛋白(FE)ELISA试剂盒Shikimic acid纯度:>95%
小鼠糖原酶同工酶MM(GPMM)ELISA试剂盒Xylitol纯度:>95%
小鼠糖原酶同工酶II(GPII)ELISA试剂盒Cynaroside纯度:>95%
小鼠糖原酶同工酶BB(GPBB)ELISA试剂盒Luteolin纯度:>95%
小鼠糖原合成酶激酶(GSK)ELISA试剂盒Luteolin5Oglucoside纯度:>95%
小鼠糖皮质类固醇受体(GR)ELISA试剂盒Loganin纯度:>95%
标准品或对照品的管理规范:
1.规范购入使用台账,严格表明购入时间、批号、来源、数量、使用期限等内容;申购的标准品或对照品的批号要与新颁布标准品或对照品批号相符;
2.严格按照规定条件进行储存,标准品或对照品的状极不稳定,对储存条件和方式非常苛刻;
3.规范管理和使用:
(1)严格按照说明书要求,由于标准品或对照品的不稳定性,若不安产品说明书的要求操作,极易造成较大的误差,从而影响检测结果;
(2)称量精密准确,标准品和对照品的含量测定要求不同,对精密性的要求很高;
(3)对于长期贮存的制备品,应充分考虑各方面的影响因素,规范操作;
(4)同时配制两份对照溶液以控制检验误差,由于现在药品的标准含量测定方法较多采用对照比较法,在测定过程中,仅配制一份对照溶液容易造成因配制对照溶液过程出现偏差;
(5)自行标定的标准品或对照品,严格规范操作,保证标准的可靠传递,并保证其可溯源性和准确性。
风险提示:丁香通仅作为第三方平台,为商家信息发布提供平台空间。用户咨询产品时请注意保护个人信息及财产安全,合理判断,谨慎选购商品,商家和用户对交易行为负责。对于医疗器械类产品,请先查证核实企业经营资质和医疗器械产品注册证情况。
技术资料暂无技术资料 索取技术资料
7437-55-08-香叶草氧基补骨脂素说明书
询价






![29280-23-73,3,12,12-Tetramethyl-1,5,10,14-tetraoxadispiro[5.2.5.2]hexadecane](https://img1.dxycdn.com/2020/0208/060/3395542395554130930-14.jpg!wh200)


