万千商家帮你免费找货
0 人在求购买到急需产品
- 详细信息
- 技术资料
- 库存:
20
- 英文名:
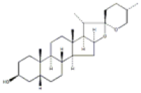
hydroxygenkwanin
- CAS号:
20243-59-8
- 保质期:
详见说明书
- 供应商:
上海邦景
- 保存条件:
低温冷藏
- 规格:
可根据客户要求大包装订制
产品名称 20243-59-8羟基芫花素说明书
英文名称 hydroxygenkwanin
分 子 量: 300.26
CAS NO.: 20243-59-8
纯 度: ≥98%
分子式: C16H12O6

性状: 黄色结晶粉末
规格: 20mg/50mg/1g,可按客户需求包装!
用途: 用于科研研究、鉴定、药理实验等
熔点:
溶解性: 可溶于甲醇、乙醇、DMSO等有机溶剂;
提取来源: 芫花
药理药效: 羟基芫花素具有镇咳,祛痰,平喘的作用
鉴别方法: NMR;Ms
检测方法: HPLC
贮存条件: 低温冷藏,避光,密封,干燥
注意事项:
特点:
①权威,准确——货源全部来自国家权威机构或国际公认标准品、对照品公司;
②快捷,方便——签订购销合同当天发货,全国各地三天到货,实现一对一、门对门送货;
③可靠、放心——有技术专人负责售前售中和售后服务
公司经营的所有产品仅用于科研,不可用于临床:
关于标准品、对照品的问题:
(一)来源:
20243-59-8羟基芫花素说明书依照有关规定,中国用于药品成品检验的标准品(对照品)来源有:一是中国药品生物制品检定所提供的标准品(对照品);二是其他国家的标准品(对照品);三是省级以上药品检验所标定,并经同级食 品药品监管局批准的标准品(对照品)。
(二)有效期和使用说明书:
中国药品生物制品检定所提供的标准品(对照品)大部分均无使用说明书和使用期限,大都沿用新的批号出现、旧的批号自动停止的管理方式。
(三)使用过程:
工作标准品(对照品)虽经有关部门认可,但要求有标化日期、复标日期、贮存条件、使用等相关文件规定,并做好相应记录。
(四)验证问题:
按标准品(对照品)管理要求,使用前应对其进行验证,确认无误后方可使用。
(五)开封问题:
对已开封的标准品(对照品)管理方面的问题应做严格的规定,不应同未开封的标准品(对照品)放在一起继续使用,包装上应做好相关标识,说明是否已开封过、何时开封的,内含多少量等相关信息。
IP6K1 Others Human 人 IHPK1 杆状病毒-昆虫细胞裂解液 (阳性对照) 颜料绿 7Pigment Green 7质量规格:
原代骨骼肌细胞特制无血清添加剂Many types of cells包装:1ml酞菁(II)(>95.0%(T))Lead(II) Phthalocyanine质量规格:>95.0%(T)
MN-h, 小鼠海马神经元 人肝上皮细胞,THLE-3细胞 EL4(瘤细胞)酞菁锌(>95.0%(T))Zinc Phthalocyanine质量规格:>95.0%(T)
人结直肠腺癌细胞;HT-29酞菁铁(II)(>95.0%(T))Iron(II) Phthalocyanine质量规格:>95.0%(T)
TGFBR1 Others Human 人 TGFBR1 / ALK-5 / SKR4 人细胞裂解液 (阳性对照) 酞菁二钠Disodium Phthalocyanine质量规格:
BACE2 Others Mouse 小鼠 BACE2 / Beta secretase 2 人细胞裂解液 (阳性对照) 苯硫(分析标准品,>99%(GC))Diphenyl sulfide质量规格:分析标准品,>99%(GC)
人主动脉平滑肌细胞完全培养基 100mL4,4'-二氨基二苯(ODA)(标准品)4,4′-Diaminodiphenyl ether质量规格:分析标准品
S-180细胞,小鼠肉瘤细胞 THP-1(单核细胞白血病) 人细胞;C-33A二十二烷(分析标准品,≥99.5%(GC))Docosane质量规格:分析标准品,≥99.5%(GC)
集落刺激因子4,4'-二氨基二苯硫(标准品)4,4'-Thiodianiline质量规格:分析标准品
SW579(人甲状腺鳞癌细胞 ) 5×106cells/瓶×2 甲型流感 H1N1 (A/USSR/90/1977) 神经氨酸酶 (Neuraminidase / NA) 人细胞裂解液 (阳性对照) 丙位十二内酯(分析标准品,≥98.5%(GC)) γ-Dodecalactone质量规格:分析标准品,≥98.5%(GC)
小鼠T瘤细胞(鸡OVA基因修饰);E.G7-OVA血纤肽B,人质量规格:>95%,BRFibrinopeptide B, human
GPHA2 Others Human 人 GPHA2 / Glycoprotein hormone alpha 2 人细胞裂解液 (阳性对照) 纤维结合素样神经肽;分裂FLRF酰胺质量规格:>95%,BRFMRF-like Neuropeptide;Schisto FLRF amide
CM-M045小鼠小肠粘膜上皮细胞完全培养基100mLG-R-G-D-T-P质量规格:>95%,BRG-R-G-D-T-P
TE-1细胞,人食管癌细胞 人脑瘤细胞,SF17细胞 豚鼠皮肤细胞;GP-S3甘丙肽,猪质量规格:>95%,BRGalanin, porcine
Caki-1(人肾透明细胞癌细胞) 5×106cells/瓶×2豆甾醇(标准品)质量规格:95%,标准品,大豆来源Stigmasterol
20243-59-8羟基芫花素说明书Deoxycholic acid 中文名:去氧胆酸 分子式:C24H40O4 猪戊型肝炎病毒(HEV)核酸检测试剂盒(-PCR法) 48T
Dehydro-α-lapachone 中文名: 分子式:C15H12O3 猪传染性胃肠炎病毒(TGEV)核酸检测试剂盒(PCR-荧光探针法) 48T
Dehydrotolvaptan 中文名: 分子式:C26H23ClN2O3 猪传染性胃肠炎病毒(TGEV)核酸检测试剂盒(-PCR法) 48T
Dehydroherbarin 中文名: 分子式:C16H14O5 猪流行性腹泻病毒(PEDV)核酸检测试剂盒(PCR-荧光探针法) 48T
Dehydroepiandrosterone enanthate 中文名:普拉雄酮庚酸酯 分子式:C26H40O3 猪细胞间粘附分子1elisa试剂盒 猪细胞间粘附分子1试剂盒 规格型号:96T/48T
标准品和对照品定义和区分:
对照品系指用于鉴别、检查、含量测定和校正检定仪器性能的标准物质.
标准品系指用于生物检定、抗生素或生物药品中含量或效价测定的标准物质,以效价单位(U)表示。
对照品系指用于生物制品理化等方面测定的特定物质,由生产单位采用与制品生产工艺相同的方法制备。对照品应尽可能与制品原液配方一致,稳定性较差的,可加不含对测定有干扰物质的适宜的稳定剂。对照品由国家药品检定机构审查认可,其标准应不低于制品的质量标准。
标准品:是指用于鉴别、检查、含量测定的标准物质,均由国务院药品监督管理部门指定的单位制备、标定和供应。标准品系指用于生物测定、抗生素或生化药品中含量或效价测定的标准物质,一国际标准品进行标定;对照品出另有规定外,按干燥进行计算后使用。
英文名称 hydroxygenkwanin
分 子 量: 300.26
CAS NO.: 20243-59-8
纯 度: ≥98%
分子式: C16H12O6

性状: 黄色结晶粉末
规格: 20mg/50mg/1g,可按客户需求包装!
用途: 用于科研研究、鉴定、药理实验等
熔点:
溶解性: 可溶于甲醇、乙醇、DMSO等有机溶剂;
提取来源: 芫花
药理药效: 羟基芫花素具有镇咳,祛痰,平喘的作用
鉴别方法: NMR;Ms
检测方法: HPLC
贮存条件: 低温冷藏,避光,密封,干燥
注意事项:
特点:
①权威,准确——货源全部来自国家权威机构或国际公认标准品、对照品公司;
②快捷,方便——签订购销合同当天发货,全国各地三天到货,实现一对一、门对门送货;
③可靠、放心——有技术专人负责售前售中和售后服务
| 产品名称 | 英文名称 | 规格 |
| 20243-59-8羟基芫花素说明书 | hydroxygenkwanin | 可根据客户要求订制 |
关于标准品、对照品的问题:
(一)来源:
20243-59-8羟基芫花素说明书依照有关规定,中国用于药品成品检验的标准品(对照品)来源有:一是中国药品生物制品检定所提供的标准品(对照品);二是其他国家的标准品(对照品);三是省级以上药品检验所标定,并经同级食 品药品监管局批准的标准品(对照品)。
(二)有效期和使用说明书:
中国药品生物制品检定所提供的标准品(对照品)大部分均无使用说明书和使用期限,大都沿用新的批号出现、旧的批号自动停止的管理方式。
(三)使用过程:
工作标准品(对照品)虽经有关部门认可,但要求有标化日期、复标日期、贮存条件、使用等相关文件规定,并做好相应记录。
(四)验证问题:
按标准品(对照品)管理要求,使用前应对其进行验证,确认无误后方可使用。
(五)开封问题:
对已开封的标准品(对照品)管理方面的问题应做严格的规定,不应同未开封的标准品(对照品)放在一起继续使用,包装上应做好相关标识,说明是否已开封过、何时开封的,内含多少量等相关信息。
IP6K1 Others Human 人 IHPK1 杆状病毒-昆虫细胞裂解液 (阳性对照) 颜料绿 7Pigment Green 7质量规格:
原代骨骼肌细胞特制无血清添加剂Many types of cells包装:1ml酞菁(II)(>95.0%(T))Lead(II) Phthalocyanine质量规格:>95.0%(T)
MN-h, 小鼠海马神经元 人肝上皮细胞,THLE-3细胞 EL4(瘤细胞)酞菁锌(>95.0%(T))Zinc Phthalocyanine质量规格:>95.0%(T)
人结直肠腺癌细胞;HT-29酞菁铁(II)(>95.0%(T))Iron(II) Phthalocyanine质量规格:>95.0%(T)
TGFBR1 Others Human 人 TGFBR1 / ALK-5 / SKR4 人细胞裂解液 (阳性对照) 酞菁二钠Disodium Phthalocyanine质量规格:
BACE2 Others Mouse 小鼠 BACE2 / Beta secretase 2 人细胞裂解液 (阳性对照) 苯硫(分析标准品,>99%(GC))Diphenyl sulfide质量规格:分析标准品,>99%(GC)
人主动脉平滑肌细胞完全培养基 100mL4,4'-二氨基二苯(ODA)(标准品)4,4′-Diaminodiphenyl ether质量规格:分析标准品
S-180细胞,小鼠肉瘤细胞 THP-1(单核细胞白血病) 人细胞;C-33A二十二烷(分析标准品,≥99.5%(GC))Docosane质量规格:分析标准品,≥99.5%(GC)
集落刺激因子4,4'-二氨基二苯硫(标准品)4,4'-Thiodianiline质量规格:分析标准品
SW579(人甲状腺鳞癌细胞 ) 5×106cells/瓶×2 甲型流感 H1N1 (A/USSR/90/1977) 神经氨酸酶 (Neuraminidase / NA) 人细胞裂解液 (阳性对照) 丙位十二内酯(分析标准品,≥98.5%(GC)) γ-Dodecalactone质量规格:分析标准品,≥98.5%(GC)
小鼠T瘤细胞(鸡OVA基因修饰);E.G7-OVA血纤肽B,人质量规格:>95%,BRFibrinopeptide B, human
GPHA2 Others Human 人 GPHA2 / Glycoprotein hormone alpha 2 人细胞裂解液 (阳性对照) 纤维结合素样神经肽;分裂FLRF酰胺质量规格:>95%,BRFMRF-like Neuropeptide;Schisto FLRF amide
CM-M045小鼠小肠粘膜上皮细胞完全培养基100mLG-R-G-D-T-P质量规格:>95%,BRG-R-G-D-T-P
TE-1细胞,人食管癌细胞 人脑瘤细胞,SF17细胞 豚鼠皮肤细胞;GP-S3甘丙肽,猪质量规格:>95%,BRGalanin, porcine
Caki-1(人肾透明细胞癌细胞) 5×106cells/瓶×2豆甾醇(标准品)质量规格:95%,标准品,大豆来源Stigmasterol
20243-59-8羟基芫花素说明书Deoxycholic acid 中文名:去氧胆酸 分子式:C24H40O4 猪戊型肝炎病毒(HEV)核酸检测试剂盒(-PCR法) 48T
Dehydro-α-lapachone 中文名: 分子式:C15H12O3 猪传染性胃肠炎病毒(TGEV)核酸检测试剂盒(PCR-荧光探针法) 48T
Dehydrotolvaptan 中文名: 分子式:C26H23ClN2O3 猪传染性胃肠炎病毒(TGEV)核酸检测试剂盒(-PCR法) 48T
Dehydroherbarin 中文名: 分子式:C16H14O5 猪流行性腹泻病毒(PEDV)核酸检测试剂盒(PCR-荧光探针法) 48T
Dehydroepiandrosterone enanthate 中文名:普拉雄酮庚酸酯 分子式:C26H40O3 猪细胞间粘附分子1elisa试剂盒 猪细胞间粘附分子1试剂盒 规格型号:96T/48T
标准品和对照品定义和区分:
对照品系指用于鉴别、检查、含量测定和校正检定仪器性能的标准物质.
标准品系指用于生物检定、抗生素或生物药品中含量或效价测定的标准物质,以效价单位(U)表示。
对照品系指用于生物制品理化等方面测定的特定物质,由生产单位采用与制品生产工艺相同的方法制备。对照品应尽可能与制品原液配方一致,稳定性较差的,可加不含对测定有干扰物质的适宜的稳定剂。对照品由国家药品检定机构审查认可,其标准应不低于制品的质量标准。
标准品:是指用于鉴别、检查、含量测定的标准物质,均由国务院药品监督管理部门指定的单位制备、标定和供应。标准品系指用于生物测定、抗生素或生化药品中含量或效价测定的标准物质,一国际标准品进行标定;对照品出另有规定外,按干燥进行计算后使用。
风险提示:丁香通仅作为第三方平台,为商家信息发布提供平台空间。用户咨询产品时请注意保护个人信息及财产安全,合理判断,谨慎选购商品,商家和用户对交易行为负责。对于医疗器械类产品,请先查证核实企业经营资质和医疗器械产品注册证情况。
技术资料暂无技术资料 索取技术资料
20243-59-8羟基芫花素说明书
询价









