相关产品推荐更多 >
万千商家帮你免费找货
0 人在求购买到急需产品
- 详细信息
- 技术资料
- 库存:
29
- 英文名:
Lysionotin
- CAS号:
152743-19-6
- 保质期:
详见说明书
- 供应商:
上海博湖
- 保存条件:
低温冷藏
- 规格:
20mg/50mg/1g,可按客户需求包装!
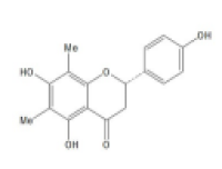
产品名称 石吊兰甲素152743-19-6
英文名称 Lysionotin
分 子 量: 344
CAS NO.: 152743-19-6
纯 度: ≥98%
分子式: C18H16O7

性状: 黄色晶体
规格: 10mg/20mg/50mg,可按客户需求包装!
用途: 用于科研研究、鉴定、药理实验等
熔点: 195~196℃
溶解性: 溶于5%Na2CO3,KOH或NaOH溶液.略溶于氯仿,微溶于甲醇、乙醇及乙酯,极微溶于,不溶于水。
提取来源: 唇形科植物罗勒(Ocimum basilicumL.)
药理药效: 淋巴结核、肺结核、骨结核的辅助治疗,也可用于支气管炎。
鉴别方法: NMR; MS
检测方法: Microsorb-M V 100-5C18(4.6mm×250mm,5μm)色谱柱,甲醇:1%=86:14(V/V)为流动相,流速为0.5mL/min,检测波长为335nm。
贮存条件: 低温冷藏,避光,密封,干燥
注意事项: 无
有效期限: 2年
产品仅用于科研供货能力: 现货,可根据可以客户需求批量定制
分析纯(AR,红标签): 主成分含量很高、纯度较高,干扰杂质很低,适用于工业分析及化学实验。
化学纯(CP,蓝标签): 主成分含量高、纯度较高,存在干扰杂质,适用于化学实验和合成制备。
色谱纯(GC):气相色谱分析专用。 质量指标注重干扰气相色谱峰的杂质。主成分含量高。
光谱纯(SP):用于光谱分析。 分别适用于分光光度计标准品、原子吸收光谱标准品、原子发射光谱标准品
电子纯(MOS):适用于电子产品中,电性杂质含量极低。 当量试剂(3N、4N、5N):主成分含量分别为99.9%、99.99%、99.999%以上。
我司提供以下服务:
1.中药提取物的定制和,中药提取物代加工相关服务。
2.中药高含量提取物的工业化高效分离及分离纯化
3.天然产物原料药和中间体的,定制(包括合成,半合成)
石吊兰甲素152743-19-6产品仅用于科研标准品、对照品的问题:
(一)来源:
依照有关规定,中国用于药品成品检验的标准品(对照品)来源有:一是中国药品生物制品检定所提供的标准品(对照品);二是其他国家的标准品(对照品);三是省级以上药品检验所标定,并经同级食 品药品监管局批准的标准品(对照品)。
(二)有效期和使用说明书:
中国药品生物制品检定所提供的标准品(对照品)大部分均无使用说明书和使用期限,大都沿用新的批号出现、旧的批号自动停止的管理方式。
(三)使用过程:
工作标准品(对照品)虽经有关部门认可,但要求有标化日期、复标日期、贮存条件、使用等相关文件规定,并做好相应记录。
(四)验证问题:
按标准品(对照品)管理要求,使用前应对其进行验证,确认无误后方可使用。
(五)开封问题:
对已开封的标准品(对照品)管理方面的问题应做严格的规定,不应同未开封的标准品(对照品)放在一起继续使用,包装上应做好相关标识,说明是否已开封过、何时开封的,内含多少量等相关信息。
订购须知:
1.优势:高效稳定的专业纯化技术,完善的库存及供应体系,高效的销售团队。
2.包装规格:常规包装,如有特殊需求,我们根据客户要求包装。
3.运输方式:默认顺丰快递。
4.质量保证:严格的质量控制,通过全面的检测,是产品质量保证的基础。产品仅用于科研如有异议经我司确认可无条件退换货。
犬窖蛋白Caveolin-1(CAV1)试剂盒 Dog Caveolin-1,CAV1 ELISA kit 88664-08-811-羟基柳杉酚规格 11-hydroxy-sugiol
英文名称Humanhemeoxygenase-2ELISAKit人血红素氧合酶2(HO-2)规格:96T/48T 1352001-09-23β-乙酰氧基-7,25-甘遂二烯-24(R)-醇 3β-acetoxy-eupha- 7,25-dien-24(R)-ol
化线粒体呼吸控制率(RCR)定量检测试剂盒20 26791-73-1苍耳亭说明书 Xanthatin
RatInsulin-likegrowthfactorbindingprotein2,IGFBP-2ELISA试剂盒大鼠胰岛素样生长因子结合蛋白2(IGFBP-2)ELISA试剂盒规格:96T/48T 140670-84-4Levatin品牌 Levatin
小鼠载脂蛋白C4(APOC4)ELISA试剂盒 ,英文名: APOC4 ELISA Kit 76475-17-7Croverin规格 Croverin
331-39-5咖啡酸品牌 Caffeic acid 杂交清洗液500毫升
33069-62-4紫杉醇规格 Taxol 远西方杂交(FARWESTERNBLOT)印迹消除试剂盒20
32981-86-510-脱乙酰基巴卡丁III Deacetylbaccatin III 原生质酵母细胞转化试剂盒20
327-97-9绿原酸说明书 Chlorogenic acid 元素检测样品处理试剂盒20
32791-84-7人参三醇品牌 Panaxatriol 玉米样品处理试剂盒20
英文名称HumaumornecrosisfactorsolublereceptorⅡELISAKIT人肿瘤坏死因子可溶性受体Ⅱ(TNFsRⅡ)规格:96T/48T 104012-37-5款冬酮品牌 Tussilagone
超氧化物歧化酶(SOD)活性酶动力比色法定量检测试剂盒(含标准样)50 404-86-4辣椒碱规格 Capsaicin
RatgranzymesA,Gzms-AELISA试剂盒大鼠颗粒酶A(Gzms-A)ELISA试剂盒规格:96T/48T 58543-16-1莱苞迪苷A Rebaudioside A
小鼠周期素依赖性激酶抑制因子2A(CDKN2A)ELISA试剂盒 ,英文名: CDKN2A ELISA Kit 79498-31-0蓝萼甲素说明书 glaucocalyxin A
犬双氢睾酮(DHT)ELISA检测试剂盒CanineDihydrotestosterone,DHTELISAKit 96T/48T 1
1088-09-8
CAS号:1
1088-09-8
品牌 wilforine
石吊兰甲素152743-19-653956-04-0甘草酸单铵盐 Glycyrrhizic acid ammonium salt 猪透明质酸(HA)ELISA检测试剂盒PorcineHyaluronicacid,HAELISAKit 96T/48T
53947-92-5补骨脂宁品牌 corylin 猪铁蛋白(FE)试剂盒 Pig ferritin,FE ELISA Kit
539-15-1大麦芽碱说明书 Hordenine 猪糖化血红蛋白A1c(GHbA1c)试剂盒 Pig Glycated hemoglobin A1c,GHbA1c ELISA Kit
537-73-5异阿魏酸说明书 3-Hydroxy-4-methoxycinnamic acid 猪胎球蛋白A 试剂盒 Pig Fetuin A ELISA Kit
535-83-1葫芦巴碱 Trigonelline 猪胎盘生长因子(PGF)试剂盒 Pig Placea growth factor,PGF ELISA kit
英文名称 Lysionotin
分 子 量: 344
CAS NO.: 152743-19-6
纯 度: ≥98%
分子式: C18H16O7

性状: 黄色晶体
规格: 10mg/20mg/50mg,可按客户需求包装!
用途: 用于科研研究、鉴定、药理实验等
熔点: 195~196℃
溶解性: 溶于5%Na2CO3,KOH或NaOH溶液.略溶于氯仿,微溶于甲醇、乙醇及乙酯,极微溶于,不溶于水。
提取来源: 唇形科植物罗勒(Ocimum basilicumL.)
药理药效: 淋巴结核、肺结核、骨结核的辅助治疗,也可用于支气管炎。
鉴别方法: NMR; MS
检测方法: Microsorb-M V 100-5C18(4.6mm×250mm,5μm)色谱柱,甲醇:1%=86:14(V/V)为流动相,流速为0.5mL/min,检测波长为335nm。
贮存条件: 低温冷藏,避光,密封,干燥
注意事项: 无
有效期限: 2年
产品仅用于科研供货能力: 现货,可根据可以客户需求批量定制
| 产品名称 | CAS | 规格 |
| 石吊兰甲素152743-19-6 | 152743-19-6 | 可按客户需求包装 |
化学纯(CP,蓝标签): 主成分含量高、纯度较高,存在干扰杂质,适用于化学实验和合成制备。
色谱纯(GC):气相色谱分析专用。 质量指标注重干扰气相色谱峰的杂质。主成分含量高。
光谱纯(SP):用于光谱分析。 分别适用于分光光度计标准品、原子吸收光谱标准品、原子发射光谱标准品
电子纯(MOS):适用于电子产品中,电性杂质含量极低。 当量试剂(3N、4N、5N):主成分含量分别为99.9%、99.99%、99.999%以上。
我司提供以下服务:
1.中药提取物的定制和,中药提取物代加工相关服务。
2.中药高含量提取物的工业化高效分离及分离纯化
3.天然产物原料药和中间体的,定制(包括合成,半合成)
石吊兰甲素152743-19-6产品仅用于科研标准品、对照品的问题:
(一)来源:
依照有关规定,中国用于药品成品检验的标准品(对照品)来源有:一是中国药品生物制品检定所提供的标准品(对照品);二是其他国家的标准品(对照品);三是省级以上药品检验所标定,并经同级食 品药品监管局批准的标准品(对照品)。
(二)有效期和使用说明书:
中国药品生物制品检定所提供的标准品(对照品)大部分均无使用说明书和使用期限,大都沿用新的批号出现、旧的批号自动停止的管理方式。
(三)使用过程:
工作标准品(对照品)虽经有关部门认可,但要求有标化日期、复标日期、贮存条件、使用等相关文件规定,并做好相应记录。
(四)验证问题:
按标准品(对照品)管理要求,使用前应对其进行验证,确认无误后方可使用。
(五)开封问题:
对已开封的标准品(对照品)管理方面的问题应做严格的规定,不应同未开封的标准品(对照品)放在一起继续使用,包装上应做好相关标识,说明是否已开封过、何时开封的,内含多少量等相关信息。
订购须知:
1.优势:高效稳定的专业纯化技术,完善的库存及供应体系,高效的销售团队。
2.包装规格:常规包装,如有特殊需求,我们根据客户要求包装。
3.运输方式:默认顺丰快递。
4.质量保证:严格的质量控制,通过全面的检测,是产品质量保证的基础。产品仅用于科研如有异议经我司确认可无条件退换货。
犬窖蛋白Caveolin-1(CAV1)试剂盒 Dog Caveolin-1,CAV1 ELISA kit 88664-08-811-羟基柳杉酚规格 11-hydroxy-sugiol
英文名称Humanhemeoxygenase-2ELISAKit人血红素氧合酶2(HO-2)规格:96T/48T 1352001-09-23β-乙酰氧基-7,25-甘遂二烯-24(R)-醇 3β-acetoxy-eupha- 7,25-dien-24(R)-ol
化线粒体呼吸控制率(RCR)定量检测试剂盒20 26791-73-1苍耳亭说明书 Xanthatin
RatInsulin-likegrowthfactorbindingprotein2,IGFBP-2ELISA试剂盒大鼠胰岛素样生长因子结合蛋白2(IGFBP-2)ELISA试剂盒规格:96T/48T 140670-84-4Levatin品牌 Levatin
小鼠载脂蛋白C4(APOC4)ELISA试剂盒 ,英文名: APOC4 ELISA Kit 76475-17-7Croverin规格 Croverin
331-39-5咖啡酸品牌 Caffeic acid 杂交清洗液500毫升
33069-62-4紫杉醇规格 Taxol 远西方杂交(FARWESTERNBLOT)印迹消除试剂盒20
32981-86-510-脱乙酰基巴卡丁III Deacetylbaccatin III 原生质酵母细胞转化试剂盒20
327-97-9绿原酸说明书 Chlorogenic acid 元素检测样品处理试剂盒20
32791-84-7人参三醇品牌 Panaxatriol 玉米样品处理试剂盒20
英文名称HumaumornecrosisfactorsolublereceptorⅡELISAKIT人肿瘤坏死因子可溶性受体Ⅱ(TNFsRⅡ)规格:96T/48T 104012-37-5款冬酮品牌 Tussilagone
超氧化物歧化酶(SOD)活性酶动力比色法定量检测试剂盒(含标准样)50 404-86-4辣椒碱规格 Capsaicin
RatgranzymesA,Gzms-AELISA试剂盒大鼠颗粒酶A(Gzms-A)ELISA试剂盒规格:96T/48T 58543-16-1莱苞迪苷A Rebaudioside A
小鼠周期素依赖性激酶抑制因子2A(CDKN2A)ELISA试剂盒 ,英文名: CDKN2A ELISA Kit 79498-31-0蓝萼甲素说明书 glaucocalyxin A
犬双氢睾酮(DHT)ELISA检测试剂盒CanineDihydrotestosterone,DHTELISAKit 96T/48T 1
石吊兰甲素152743-19-653956-04-0甘草酸单铵盐 Glycyrrhizic acid ammonium salt 猪透明质酸(HA)ELISA检测试剂盒PorcineHyaluronicacid,HAELISAKit 96T/48T
53947-92-5补骨脂宁品牌 corylin 猪铁蛋白(FE)试剂盒 Pig ferritin,FE ELISA Kit
539-15-1大麦芽碱说明书 Hordenine 猪糖化血红蛋白A1c(GHbA1c)试剂盒 Pig Glycated hemoglobin A1c,GHbA1c ELISA Kit
537-73-5异阿魏酸说明书 3-Hydroxy-4-methoxycinnamic acid 猪胎球蛋白A 试剂盒 Pig Fetuin A ELISA Kit
535-83-1葫芦巴碱 Trigonelline 猪胎盘生长因子(PGF)试剂盒 Pig Placea growth factor,PGF ELISA kit
风险提示:丁香通仅作为第三方平台,为商家信息发布提供平台空间。用户咨询产品时请注意保护个人信息及财产安全,合理判断,谨慎选购商品,商家和用户对交易行为负责。对于医疗器械类产品,请先查证核实企业经营资质和医疗器械产品注册证情况。
技术资料暂无技术资料 索取技术资料
石吊兰甲素152743-19-6
询价









