万千商家帮你免费找货
0 人在求购买到急需产品
- 详细信息
- 技术资料
- 库存:
22
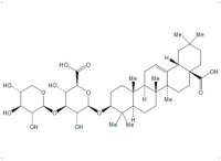
- 英文名:
Ophiopogonin B
- 保质期:
详见说明书
- 供应商:
上海谷研
- 保存条件:
低温冷藏
- 规格:
20mg/50mg/1g
对照品的管理:
(一)麦冬皂苷B规范记录:
建立标准物质台帐,定期更新台账,明确责任主体,以便做到可以追本溯源;
领用时,记录好领用时的名称、数量、时间、领用人、发放人等必要的信息;
标准物质应在有效期内使用,应定期检查标准物质的有效期,对于超限的标准物质要填写销毁登记表;建立标准物质档案。
(二)定期核查:
对于标准物质的种类、级别、介质、浓度含量、有效期、批号、环境条件、储存方法、帐物相符等等各参数,要定期核查。
定期检查实验室各检测项目所对应的标准物质是否相符。对新增检测项目所对应的标准物质应及时纳入规范管理。
存放环境条件和有效性。按标准物质证书上规定的环境条件,储存方法进行存放,及时检查是否过期。标准物质的储存环境应保证其特性完整不变。
标准物质所用介质和浓度是否满足检测方法对介质的要求。浓度是否合适,所用的介质对分析是否有影响。
(三)期间核查:
有效期短、使用频率高的标准物质,要经常性的核查;
不常使用的标准物质,在分析检测之前核查即可;
稳定性好,还未开封的标准物质,可延长核查周期;
产品名称 麦冬皂苷B
英文名称 Ophiopogonin B
分 子 量: 722.907
纯 度: ≥98%
分子式: C39H62O12
性状: 微黄色结晶粉末
规格: 20mg/50mg/1g,可按客户需求包装!
用途: 用于科研研究、鉴定、药理实验等
熔点: 补充中
溶解性: 可溶于甲醇、乙醇、DMSO等有机溶剂;
提取来源: 麦冬
药理药效: 麦冬皂苷B具有抗心肌缺血,心肌梗塞,免疫调节,降低血糖,抗肿瘤的作用
鉴别方法: NMR;Ms
检测方法: HPLC-ELSD:腈-水(50:50) (仅供参考)
贮存条件: 低温冷藏,避光,密封,干燥
注意事项: 补充中
有效期限: 2年
供货能力: 现货,可根据可以客户需求批量定制生产
我们关注产品的每一个细节,因为产品与产品最大的差异在于细节。我们拥有严格的生产工艺流程和完善的质量标准控制,保证产品的质量可控性及批量生产的稳定性;完善的库存及供应体系,所有产品均能现货供应。质量承诺:产品若有质量问题,无条件退货换货。
分类:
1.按来源:
(1)国际化学标准物质(WHO)
(2)美国药典标准物质(USPC,USP)
(3)欧式药典标准物质(EDQM,EP)
(4)日本药局标准物(PMRJ,JP)
(5)国家药品标准物质(NICPBP,CHP)
2.按测定方法和使用对象:
(1)生物标准物质
(2)化学标准物质(化学对照物质)
3.按使用要求:
(1)国际化学对照品
(2)国家化学对照品
(3)工作化学对照品
4.按用途:
(1)鉴别用化学对照品
(2)纯度或杂质检查用对照品
(3)含量测定用对照品
(4)标准仪器用对照品
5.按药品使用对象:
(1)化学对照品
(2)中药化学对照品
(3)抗生素化学对照品
(4)麻醉药品化学对照品
标准品、对照品的区别:
一)对照品
麦冬皂苷B是指用于鉴别、检查、含量测定和校正检定仪器性能的标准物质,采用化学方法来测定,即是一般仪器的都叫做对照品。分为官方标准品和工作对照品,试剂公司买的不能作为正常的对照品使用,必须经过标定之后才可使用。
二)标准品
标准品,即标准物品,是中药标准对照品研究中心代理的作为一种衡量标准。
三)内标物
能完全溶解于样品中,且不与待测组分发生化学作用;峰位尽可能与待测组分的峰位靠近,但能与待测组分完全分开(分离度R≥1.5)的纯物质,就叫做内标物。
对照品:用于鉴别、检查、含量测定和校正检定仪器性能的标准物质。对照品系指用于生物制品理化等方面测定的特定物质,由生产单位采用与制品生产工艺相同的方法制备。对照品应尽可能与制品原液配方一致,稳定性较差的,可加不含对测定有干扰物质的适宜的稳定剂。对照品由国家药品检定机构审查认可,其标准应不低于制品的质量标准。
标准品:用于生物检定、抗生素或生物药品中含量或效价测定的标准物质,以效价单位(U)表示。品及生物参考品系指用于鉴别、检查含量或效价测定的标准物质,其制备与标定应符合“生物制品物质制备和标定规程”要求,并由药品监督管理部门指定的机构分发。企业工作标准品或参考品必须经品或参考品标化后方能使用。
草质素苷 规格:96T/48T 试剂盒组装/原装
科罗索 规格:96T/48T 试剂盒组装/原装
羽扇 规格:96T/48T 试剂盒组装/原装
白桦脂醇 规格:96T/48T 试剂盒组装/原装
白桦脂醛 规格:96T/48T 试剂盒组装/原装
延龄草苷 规格:96T/48T 试剂盒组装/原装
异乌药内酯 规格:96T/48T 试剂盒组装/原装
高香草 规格:96T/48T 试剂盒组装/原装
(R型)原人参二醇 规格:96T/48T 试剂盒组装/原装
文多灵 规格:96T/48T 试剂盒组装/原装
长春质 规格:96T/48T 试剂盒组装/原装
异甘草素 规格:96T/48T 试剂盒组装/原装
川续断皂苷VI 规格:96T/48T 试剂盒组装/原装
芹菜素-7-O-β-D-喃葡萄糖苷 规格:96T/48T 试剂盒组装/原装
辽东楤木皂苷V 规格:96T/48T 试剂盒组装/原装
胰岛素样生长因子结合蛋白2(IGFBP2)检测试剂盒 Sciadopitysin纯度:98%
胰岛素样生长因子结合蛋白4(IGFBP4)检测试剂盒 Genipin纯度:≥95%
胰岛素样生长因子结合蛋白6(IGFBP6)检测试剂盒 Genipin纯度:95%
胰岛素样生长因子结合蛋白7(IGFBP7)检测试剂盒 Geniposidic acid纯度:95%
抑瘤素M(OSM)检测试剂盒 Genipin-1-b-D-gentiobioside纯度:≥98%
抑肽酶(AP)检测试剂盒 Platycodin D纯度:≥97%
吲哚乙(IAA)检测试剂盒 Platycodin D2纯度:≥97%
麦冬皂苷B英文名称:Mouse glucoprotein 130,gp130 ELISA Kit 小鼠糖蛋白130(gp130)ELISA试剂盒进口/分装规格:96T/48T常温,避光含量测定戊雌二醇规格: 100mg
英文名称:Mouse intercellular adhesion molecule 1,ICAM1 ELISA Kit 小鼠细胞间粘附分子1(ICAM1/CD54)ELISA试剂盒进口/原装规格:96T/48T常温,避光含量测定盐规格:100mg
英文名称:Mouse Interferon γ ,IFNγ ELISA KitKit小鼠γ干扰素(IFNγ)ELISA试剂盒特价促销规格:96T/48T常温,避光含量测定盐海拉明规格:100mg
英文名称:Mouse Insulinlike growth factor 2,IGF2 ELISA Kit 小鼠胰岛素样生长因子2(IGF2)ELISA试剂盒特价供应规格:96T/48T常温,避光含量测定盐海索规格:100mg
英文名称:Mouse Interleukin 13,IL13 ELISA Kit 小鼠白介素13(IL13)ELISA试剂盒进口/分装规格:96T/48T常温,避光含量测定盐多沙普仑规格:50mg
英文名称:Mouse Interleukin 18,IL18 ELISA Kit小鼠白介素18(IL18)ELISA试剂盒进口/原装规格:96T/48T常温,避光含量测定盐多塞平规格:100mg
(一)麦冬皂苷B规范记录:
建立标准物质台帐,定期更新台账,明确责任主体,以便做到可以追本溯源;
领用时,记录好领用时的名称、数量、时间、领用人、发放人等必要的信息;
标准物质应在有效期内使用,应定期检查标准物质的有效期,对于超限的标准物质要填写销毁登记表;建立标准物质档案。
(二)定期核查:
对于标准物质的种类、级别、介质、浓度含量、有效期、批号、环境条件、储存方法、帐物相符等等各参数,要定期核查。
定期检查实验室各检测项目所对应的标准物质是否相符。对新增检测项目所对应的标准物质应及时纳入规范管理。
存放环境条件和有效性。按标准物质证书上规定的环境条件,储存方法进行存放,及时检查是否过期。标准物质的储存环境应保证其特性完整不变。
标准物质所用介质和浓度是否满足检测方法对介质的要求。浓度是否合适,所用的介质对分析是否有影响。
(三)期间核查:
有效期短、使用频率高的标准物质,要经常性的核查;
不常使用的标准物质,在分析检测之前核查即可;
稳定性好,还未开封的标准物质,可延长核查周期;
| 产品名称 | 英文名称 | 规格 |
| 麦冬皂苷B | Ophiopogonin B | 可根据客户要求大包装订制 |
英文名称 Ophiopogonin B
分 子 量: 722.907
纯 度: ≥98%
分子式: C39H62O12
性状: 微黄色结晶粉末
规格: 20mg/50mg/1g,可按客户需求包装!
用途: 用于科研研究、鉴定、药理实验等
熔点: 补充中
溶解性: 可溶于甲醇、乙醇、DMSO等有机溶剂;
提取来源: 麦冬
药理药效: 麦冬皂苷B具有抗心肌缺血,心肌梗塞,免疫调节,降低血糖,抗肿瘤的作用
鉴别方法: NMR;Ms
检测方法: HPLC-ELSD:腈-水(50:50) (仅供参考)
贮存条件: 低温冷藏,避光,密封,干燥
注意事项: 补充中
有效期限: 2年
供货能力: 现货,可根据可以客户需求批量定制生产
我们关注产品的每一个细节,因为产品与产品最大的差异在于细节。我们拥有严格的生产工艺流程和完善的质量标准控制,保证产品的质量可控性及批量生产的稳定性;完善的库存及供应体系,所有产品均能现货供应。质量承诺:产品若有质量问题,无条件退货换货。
分类:
1.按来源:
(1)国际化学标准物质(WHO)
(2)美国药典标准物质(USPC,USP)
(3)欧式药典标准物质(EDQM,EP)
(4)日本药局标准物(PMRJ,JP)
(5)国家药品标准物质(NICPBP,CHP)
2.按测定方法和使用对象:
(1)生物标准物质
(2)化学标准物质(化学对照物质)
3.按使用要求:
(1)国际化学对照品
(2)国家化学对照品
(3)工作化学对照品
4.按用途:
(1)鉴别用化学对照品
(2)纯度或杂质检查用对照品
(3)含量测定用对照品
(4)标准仪器用对照品
5.按药品使用对象:
(1)化学对照品
(2)中药化学对照品
(3)抗生素化学对照品
(4)麻醉药品化学对照品
标准品、对照品的区别:
一)对照品
麦冬皂苷B是指用于鉴别、检查、含量测定和校正检定仪器性能的标准物质,采用化学方法来测定,即是一般仪器的都叫做对照品。分为官方标准品和工作对照品,试剂公司买的不能作为正常的对照品使用,必须经过标定之后才可使用。
二)标准品
标准品,即标准物品,是中药标准对照品研究中心代理的作为一种衡量标准。
三)内标物
能完全溶解于样品中,且不与待测组分发生化学作用;峰位尽可能与待测组分的峰位靠近,但能与待测组分完全分开(分离度R≥1.5)的纯物质,就叫做内标物。
对照品:用于鉴别、检查、含量测定和校正检定仪器性能的标准物质。对照品系指用于生物制品理化等方面测定的特定物质,由生产单位采用与制品生产工艺相同的方法制备。对照品应尽可能与制品原液配方一致,稳定性较差的,可加不含对测定有干扰物质的适宜的稳定剂。对照品由国家药品检定机构审查认可,其标准应不低于制品的质量标准。
标准品:用于生物检定、抗生素或生物药品中含量或效价测定的标准物质,以效价单位(U)表示。品及生物参考品系指用于鉴别、检查含量或效价测定的标准物质,其制备与标定应符合“生物制品物质制备和标定规程”要求,并由药品监督管理部门指定的机构分发。企业工作标准品或参考品必须经品或参考品标化后方能使用。
草质素苷 规格:96T/48T 试剂盒组装/原装
科罗索 规格:96T/48T 试剂盒组装/原装
羽扇 规格:96T/48T 试剂盒组装/原装
白桦脂醇 规格:96T/48T 试剂盒组装/原装
白桦脂醛 规格:96T/48T 试剂盒组装/原装
延龄草苷 规格:96T/48T 试剂盒组装/原装
异乌药内酯 规格:96T/48T 试剂盒组装/原装
高香草 规格:96T/48T 试剂盒组装/原装
(R型)原人参二醇 规格:96T/48T 试剂盒组装/原装
文多灵 规格:96T/48T 试剂盒组装/原装
长春质 规格:96T/48T 试剂盒组装/原装
异甘草素 规格:96T/48T 试剂盒组装/原装
川续断皂苷VI 规格:96T/48T 试剂盒组装/原装
芹菜素-7-O-β-D-喃葡萄糖苷 规格:96T/48T 试剂盒组装/原装
辽东楤木皂苷V 规格:96T/48T 试剂盒组装/原装
胰岛素样生长因子结合蛋白2(IGFBP2)检测试剂盒 Sciadopitysin纯度:98%
胰岛素样生长因子结合蛋白4(IGFBP4)检测试剂盒 Genipin纯度:≥95%
胰岛素样生长因子结合蛋白6(IGFBP6)检测试剂盒 Genipin纯度:95%
胰岛素样生长因子结合蛋白7(IGFBP7)检测试剂盒 Geniposidic acid纯度:95%
抑瘤素M(OSM)检测试剂盒 Genipin-1-b-D-gentiobioside纯度:≥98%
抑肽酶(AP)检测试剂盒 Platycodin D纯度:≥97%
吲哚乙(IAA)检测试剂盒 Platycodin D2纯度:≥97%
麦冬皂苷B英文名称:Mouse glucoprotein 130,gp130 ELISA Kit 小鼠糖蛋白130(gp130)ELISA试剂盒进口/分装规格:96T/48T常温,避光含量测定戊雌二醇规格: 100mg
英文名称:Mouse intercellular adhesion molecule 1,ICAM1 ELISA Kit 小鼠细胞间粘附分子1(ICAM1/CD54)ELISA试剂盒进口/原装规格:96T/48T常温,避光含量测定盐规格:100mg
英文名称:Mouse Interferon γ ,IFNγ ELISA KitKit小鼠γ干扰素(IFNγ)ELISA试剂盒特价促销规格:96T/48T常温,避光含量测定盐海拉明规格:100mg
英文名称:Mouse Insulinlike growth factor 2,IGF2 ELISA Kit 小鼠胰岛素样生长因子2(IGF2)ELISA试剂盒特价供应规格:96T/48T常温,避光含量测定盐海索规格:100mg
英文名称:Mouse Interleukin 13,IL13 ELISA Kit 小鼠白介素13(IL13)ELISA试剂盒进口/分装规格:96T/48T常温,避光含量测定盐多沙普仑规格:50mg
英文名称:Mouse Interleukin 18,IL18 ELISA Kit小鼠白介素18(IL18)ELISA试剂盒进口/原装规格:96T/48T常温,避光含量测定盐多塞平规格:100mg
风险提示:丁香通仅作为第三方平台,为商家信息发布提供平台空间。用户咨询产品时请注意保护个人信息及财产安全,合理判断,谨慎选购商品,商家和用户对交易行为负责。对于医疗器械类产品,请先查证核实企业经营资质和医疗器械产品注册证情况。
技术资料暂无技术资料 索取技术资料
麦冬皂苷B
询价









