万千商家帮你免费找货
0 人在求购买到急需产品
- 详细信息
- 技术资料
- 库存:
41
- 英文名:
Sibiricose A5
- CAS号:
107912-97-0
- 保质期:
详见说明书
- 供应商:
上海博湖
- 保存条件:
低温冷藏
- 规格:
20mg/50mg/1g,可按客户需求包装!
西伯利亚远志糖A5107912-97-0化学药品标准物质的分类:
1.按来源:
(1) 国际化学标准物质(WHO)
(2)美国药典标准物质(USPC,USP)
(3)欧式药典标准物质(EDQM,EP)
(4)日本药局标准物(PMRJ,JP)
(5)国家药品标准物质(NICPBP,CHP)
2.按测定方法和使用对象:
(1)生物标准物质
(2)化学标准物质(化学对照物质)
3.按使用要求:
(1)国际化学对照品
(2)国家化学对照品
(3)工作化学对照品
4.按用途:
(1)鉴别用化学对照品
(2)纯度或杂质检查用对照品
(3)含量测定用对照品
(4)标准仪器用对照
5.按药品使用对象:
(1)化学对照品
(2)中药化学对照品
(3)抗生素化学对照品
(4)麻醉药品化学对照品
我司经营范围:国家对照品标准物质、进口对照品、冶金标样、标准气体、药典对照品、标准菌种、实验室耗材、试剂盒等
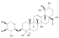
产品名称 西伯利亚远志糖A5107912-97-0
英文名称 Sibiricose A5
分 子 量: 518.47
CAS NO.: 107912-97-0
纯 度: ≥98%
分子式: C22H30O14

性状: 白色粉末
规格: 10mg/20mg/50mg,可按客户需求包装!
用途: 用于科研研究、鉴定、药理实验等
熔点: 补充中
溶解性: 易溶于甲醇
提取来源: 远志
药理药效: 具有益智,抗炎等作用
鉴别方法: NMR; MS
检测方法: 补充中
贮存条件: 低温冷藏,避光,密封,干燥
注意事项: 无
有效期限: 2年
供货能力: 现货,可根据可以客户需求批量定制
技术:
1.色谱(高效液相色谱:薄层层析;气相色谱)
2. 质谱(液-质联用)
3. 光谱(红外、紫外),原子吸收
4. 测定(物理常数测定;旋光测定;不挥发物测定;干燥失重测定;蒸发或灼烧残渣测定)
5. 分析(含量分析;元素分析)
6. 滴定(酸性滴定;碱性滴定;配位滴定;非水滴定;氧化还原滴定)
7. 试验(与水混合试验;澄清度试验;各项化学反应试验
公司优势:
西伯利亚远志糖A5107912-97-0服务对象针对性强,我们的客户遍布各大高校、医院以及各科研单位,还包括性的企业;
服务体系完整,我们为客户提供周到的售前售后服务,以及相应的技术支持。
标准品或对照品的管理规范:
1.规范购入使用台账,严格表明购入时间、批号、来源、数量、使用期限等内容;申购的标准品或对照品的批号要与新颁布标准品或对照品批号相符;
2.严格按照规定条件进行储存,标准品或对照品的性状极不稳定,对储存条件和方式非常苛刻;
3.规范管理和使用:
(1)严格按照说明书要求,由于标准品或对照品的不稳定性,若不安产品说明书的要求操作,极易造成较大的误差,从而影响检测结果;
(2)称量精密准确,标准品和对照品的含量测定要求不同,对精密性的要求很高;
(3)对于长期贮存的制备品,应充分考虑各方面的影响因素,规范操作;
(4)同时配制两份对照溶液以控制检验误差,由于现在药品的标准含量测定方法较多采用对照比较法,在测定过程中,仅配制一份对照溶液容易造成因配制对照溶液过程出现偏差;
(5)自行标定的标准品或对照品,严格规范操作,保证标准的可靠传递,并保证其可溯源性和准确性。
大鼠血管紧张素Ⅰ(Ang-Ⅰ)免疫试剂盒 Rat angiotension Ⅰ,Ang-Ⅰ ELISA Kit Boc-L-谷氨酰胺 Boc-Gln-OH 质量规格:>98.5%,BR
英文名称RatacetylcholinereceptoraibodyELISAKit大鼠乙酰胆碱受体抗体(AChRab)规格:96T/48T Boc-L-丙氨酸 N-丁二酯 Boc-Ala-OSu 质量规格:BR
谷胱甘肽(氧化型)(Glathione;GSSH)1克 BOC-D-丙氨酸 Boc-D-Ala-OH 质量规格:>98.5%,BR
ELISAKitAD人呋同规格:48T/96T BOC-β-丙氨酸 Boc-ß-Ala-OH 质量规格:>98.5%,BR
小鼠胶质细胞系来源神经营养因子(GDNF)ELISA试剂盒 ,英文名: GDNF ELISA Kit (R)-N-BOC-3-代丙氨酸甲酯 Boc-ß-iodo-Ala-OMe 质量规格:>95%,BR
人β葡萄糖酸苷酶(βGD)ELISA检测试剂盒Humanβ-glucuronidase,βGDELISAKit 96T/48T BOC-D-精氨酸盐酸盐 Boc-Arg-OH·HCl·H2O 质量规格:BR
大鼠血管紧张素1-7(Ang1-7)免疫试剂盒 Rat angiotension 1-7,Ang1-7 ELISA kit Nα-BOC-D-精氨酸盐酸盐一水合物 Nalpha-BOC-D-Arginine hydrochloride hydrate 质量规格:BR
英文名称RatacetylcholineELISAKit大鼠乙酰胆碱(Ach)ELISA试剂盒规格:96T/48T Boc-Arg(Mts)-OH·CHA Boc-Arg(Mts)-OH·CHA 质量规格:BR
谷胱甘肽S转移酶(GSHST)活性比色法定量检测试剂盒20 BOC-硝基-L-精氨酸 Boc-Arg(NO2)-OH 质量规格:>99%,BR
ELISAKitPL人胰脂肪酶规格:48T/96T 叔丁氧羰基-N-beta-三苯甲基-L-天门冬酰胺 Boc-N-beta-Trityl-L-asparagine 质量规格:>98%,BR
人甲基化CpG结合蛋白2(MECP2)免疫试剂盒 Human methyl CpG binding protein 2,MECP2 ELISA Kit 反式茴香脑(标准品) cis-Anethol 质量规格:HPLC≥98%,标准品
人甲基化DNA[蛋白]半胱氨酸S甲基转移酶免疫试剂盒 Human methylated-DNA--protein-cysteine S-methylansferase ELISA Kit 反式茴香脑 GC≥98% 20mg
人甲肟前列腺素D2(PGD2-MOX)免疫试剂盒 human Prostaglandin D2-methoxime,PGD2-MOX ELISA KIT 反式丁烯醛(standard for GC) (E)-2-Butenal 质量规格:standard for GC
人甲酰甲硫氨酸(fMet)ELISA检测试剂盒Humanformylmethionine,fMetELISAKit 96T/48T 反式橙花叔醇 HPLC≥95% 20mg
人甲酰甲硫氨酸(fMet)免疫试剂盒 Human formylmethionine,fMet ELISA Kit 反式白藜芦醇-4'-硫酸盐 trans Resveratrol-4'-sulfate 质量规格:美国进口
人甲状旁腺激素(PTH)免疫试剂盒 human Parathyroid hormone,PTH ELISA Kit 反式白藜芦醇4'-O-β-D-葡萄糖苷酸 trans Resveratrol 4'-O-β-D-Glucuronide 质量规格:美国进口
人甲状旁腺激素1-34(PTH 1-34)抗体免疫试剂盒 Human PTH 1-34 aibody ELISA Kit 反式白藜芦醇3-O-β-D-葡萄糖苷酸 trans Resveratrol 3-O-β-D-Glucuronide 质量规格:美国进口
人甲状旁腺激素1-34(PTH 1-34)免疫试剂盒 Human Parathyroid hormone1-34,PTH 1-34 ELISA Kit 反式白藜芦醇-3,5-硫酸氢盐 trans Resveratrol-3,5-disulfate 质量规格:美国进口
人甲状旁腺激素1受体(PTH1R)免疫试剂盒 Human Parathyroid Pormone 1 Receptor,PTH1R ELISA Kit 反式-9-十八烯酸甲酯(标准品) trans-9-Octadecenoic methyl ester 质量规格:分析标准品
人甲状旁腺激素相关蛋白(PTHrP)免疫试剂盒 Human Parathyroid Hormone Related Protein,PTHrP ELISA Kit 反式(2,3)-二氢丁苯那嗪 trans (2,3)-Dihydro Tetrabenazine 质量规格:美国进口
二乙基锡(标准品) Diethyltin-dichloride 质量规格:分析标准品,10ng/μl溶于环己烷 牛亚硫酸盐氧化酶(sulfite oxidase,SO)免疫试剂盒 Bovine Sulfite Oxidase(sulfite oxidase,SO)ELISA Kit
草萘胺(标准品) Napropamid 质量规格:分析标准品 牛氧化酶(aldehyde oxidases,AO)免疫试剂盒 Bovine aldehyde oxidase I(aldehyde oxidases,AO)ELISA Kit
除虫脲标准溶液(10μg/ml,u=3%) Diflubenzuron solution 质量规格:10μg/ml,u=3% 牛氧杂蒽氧化酶免疫试剂盒 Bovine xahene oxidase ELISA Kit
二噻农(标准品) Dithianon 质量规格:分析标准品 牛叶酸(FA)免疫试剂盒 Bovine folic acid,FA ELISA Kit
棉隆(标准品) Dazomet 质量规格:分析标准品,97% 牛胰岛素(Insulin)免疫试剂盒 Bovine Insulin ELISA kit
双氯酚(标准品) Dichlorophene 质量规格:分析标准品 牛胰岛素样生长因子1(IGF-1)ELISA检测试剂盒BovineInsulin-likegrowthfactor1,IGF-1ELISAKit 96T/48T
异丙净(标准品) Dipropetryn 质量规格:分析标准品 牛胰岛素样生长因子1(IGF-1)免疫试剂盒 Bovine Insulin-like growth factor 1,IGF-1 ELISA Kit
异菌脲标准溶液(100μg/ml,u=4%) [3-(3,5-Dichlorophenyl)-2,4-dioxoimidazolidinyl]-N-(methylethyl)carboxamide standard solution 质量规格:100μg/ml,u=4% 牛胰岛素样生长因子结合蛋白1(IGFBP-1)免疫试剂盒 Bovine insulin-like growth factor binding protein 1,IGFBP-1 ELISA Kit
异氯磷(标准品) Dicapthon 质量规格:分析标准品 牛胰岛素样生长因子结合蛋白2(IGFBP-2)免疫试剂盒 Bovine Insulin-like growth factor binding protein 2,IGFBP-2 ELISA kit
4,4'-滴滴滴(标准品) p, p’-DDD 质量规格:分析标准品 牛胰岛素样生长因子结合蛋白3(IGFBP-3)免疫试剂盒 bovine Insulin-like growth factor binding protein 3,IGFBP-3 ELISA kit
牛血小板生成素(TPO)免疫试剂盒 Bovine Thrombopoietin,TPO ELISA kit 分散橙37(标准品) Disperse Orange 37 质量规格:分析标准品
牛亚硫酸盐氧化酶(sulfite oxidase,SO)免疫试剂盒 Bovine Sulfite Oxidase(sulfite oxidase,SO)ELISA Kit 二乙基锡(标准品) Diethyltin-dichloride 质量规格:分析标准品,10ng/μl溶于环己烷
牛氧化酶(aldehyde oxidases,AO)免疫试剂盒 Bovine aldehyde oxidase I(aldehyde oxidases,AO)ELISA Kit 草萘胺(标准品) Napropamid 质量规格:分析标准品
牛氧杂蒽氧化酶免疫试剂盒 Bovine xahene oxidase ELISA Kit 除虫脲标准溶液(10μg/ml,u=3%) Diflubenzuron solution 质量规格:10μg/ml,u=3%
牛叶酸(FA)免疫试剂盒 Bovine folic acid,FA ELISA Kit 二噻农(标准品) Dithianon 质量规格:分析标准品
牛胰岛素(Insulin)免疫试剂盒 Bovine Insulin ELISA kit 棉隆(标准品) Dazomet 质量规格:分析标准品,97%
牛胰岛素样生长因子1(IGF-1)ELISA检测试剂盒BovineInsulin-likegrowthfactor1,IGF-1 96T/48T 双氯酚(标准品) Dichlorophene 质量规格:分析标准品
牛胰岛素样生长因子1(IGF-1)免疫试剂盒 Bovine Insulin-like growth factor 1,IGF-1 ELISA Kit 异丙净(标准品) Dipropetryn 质量规格:分析标准品
牛胰岛素样生长因子结合蛋白1(IGFBP-1)免疫试剂盒 Bovine insulin-like growth factor binding protein 1,IGFBP-1 ELISA Kit 异菌脲标准溶液(100μg/ml,u=4%) [3-(3,5-Dichlorophenyl)-2,4-dioxoimidazolidinyl]-N-(methylethyl)carboxamide standard solution 质量规格:100μg/ml,u=4%
牛胰岛素样生长因子结合蛋白2(IGFBP-2)免疫试剂盒 Bovine Insulin-like growth factor binding protein 2,IGFBP-2 ELISA kit 异氯磷(标准品) Dicapthon 质量规格:分析标准品
1.按来源:
(1) 国际化学标准物质(WHO)
(2)美国药典标准物质(USPC,USP)
(3)欧式药典标准物质(EDQM,EP)
(4)日本药局标准物(PMRJ,JP)
(5)国家药品标准物质(NICPBP,CHP)
2.按测定方法和使用对象:
(1)生物标准物质
(2)化学标准物质(化学对照物质)
3.按使用要求:
(1)国际化学对照品
(2)国家化学对照品
(3)工作化学对照品
4.按用途:
(1)鉴别用化学对照品
(2)纯度或杂质检查用对照品
(3)含量测定用对照品
(4)标准仪器用对照
5.按药品使用对象:
(1)化学对照品
(2)中药化学对照品
(3)抗生素化学对照品
(4)麻醉药品化学对照品
我司经营范围:国家对照品标准物质、进口对照品、冶金标样、标准气体、药典对照品、标准菌种、实验室耗材、试剂盒等
| 产品名称 | 西伯利亚远志糖A5107912-97-0 |
| CAS | 107912-97-0 |
| 规格 | 20mg/50mg/1g,可按客户需求包装 |
英文名称 Sibiricose A5
分 子 量: 518.47
CAS NO.: 107912-97-0
纯 度: ≥98%
分子式: C22H30O14

性状: 白色粉末
规格: 10mg/20mg/50mg,可按客户需求包装!
用途: 用于科研研究、鉴定、药理实验等
熔点: 补充中
溶解性: 易溶于甲醇
提取来源: 远志
药理药效: 具有益智,抗炎等作用
鉴别方法: NMR; MS
检测方法: 补充中
贮存条件: 低温冷藏,避光,密封,干燥
注意事项: 无
有效期限: 2年
供货能力: 现货,可根据可以客户需求批量定制
技术:
1.色谱(高效液相色谱:薄层层析;气相色谱)
2. 质谱(液-质联用)
3. 光谱(红外、紫外),原子吸收
4. 测定(物理常数测定;旋光测定;不挥发物测定;干燥失重测定;蒸发或灼烧残渣测定)
5. 分析(含量分析;元素分析)
6. 滴定(酸性滴定;碱性滴定;配位滴定;非水滴定;氧化还原滴定)
7. 试验(与水混合试验;澄清度试验;各项化学反应试验
公司优势:
西伯利亚远志糖A5107912-97-0服务对象针对性强,我们的客户遍布各大高校、医院以及各科研单位,还包括性的企业;
服务体系完整,我们为客户提供周到的售前售后服务,以及相应的技术支持。
标准品或对照品的管理规范:
1.规范购入使用台账,严格表明购入时间、批号、来源、数量、使用期限等内容;申购的标准品或对照品的批号要与新颁布标准品或对照品批号相符;
2.严格按照规定条件进行储存,标准品或对照品的性状极不稳定,对储存条件和方式非常苛刻;
3.规范管理和使用:
(1)严格按照说明书要求,由于标准品或对照品的不稳定性,若不安产品说明书的要求操作,极易造成较大的误差,从而影响检测结果;
(2)称量精密准确,标准品和对照品的含量测定要求不同,对精密性的要求很高;
(3)对于长期贮存的制备品,应充分考虑各方面的影响因素,规范操作;
(4)同时配制两份对照溶液以控制检验误差,由于现在药品的标准含量测定方法较多采用对照比较法,在测定过程中,仅配制一份对照溶液容易造成因配制对照溶液过程出现偏差;
(5)自行标定的标准品或对照品,严格规范操作,保证标准的可靠传递,并保证其可溯源性和准确性。
大鼠血管紧张素Ⅰ(Ang-Ⅰ)免疫试剂盒 Rat angiotension Ⅰ,Ang-Ⅰ ELISA Kit Boc-L-谷氨酰胺 Boc-Gln-OH 质量规格:>98.5%,BR
英文名称RatacetylcholinereceptoraibodyELISAKit大鼠乙酰胆碱受体抗体(AChRab)规格:96T/48T Boc-L-丙氨酸 N-丁二酯 Boc-Ala-OSu 质量规格:BR
谷胱甘肽(氧化型)(Glathione;GSSH)1克 BOC-D-丙氨酸 Boc-D-Ala-OH 质量规格:>98.5%,BR
ELISAKitAD人呋同规格:48T/96T BOC-β-丙氨酸 Boc-ß-Ala-OH 质量规格:>98.5%,BR
小鼠胶质细胞系来源神经营养因子(GDNF)ELISA试剂盒 ,英文名: GDNF ELISA Kit (R)-N-BOC-3-代丙氨酸甲酯 Boc-ß-iodo-Ala-OMe 质量规格:>95%,BR
人β葡萄糖酸苷酶(βGD)ELISA检测试剂盒Humanβ-glucuronidase,βGDELISAKit 96T/48T BOC-D-精氨酸盐酸盐 Boc-Arg-OH·HCl·H2O 质量规格:BR
大鼠血管紧张素1-7(Ang1-7)免疫试剂盒 Rat angiotension 1-7,Ang1-7 ELISA kit Nα-BOC-D-精氨酸盐酸盐一水合物 Nalpha-BOC-D-Arginine hydrochloride hydrate 质量规格:BR
英文名称RatacetylcholineELISAKit大鼠乙酰胆碱(Ach)ELISA试剂盒规格:96T/48T Boc-Arg(Mts)-OH·CHA Boc-Arg(Mts)-OH·CHA 质量规格:BR
谷胱甘肽S转移酶(GSHST)活性比色法定量检测试剂盒20 BOC-硝基-L-精氨酸 Boc-Arg(NO2)-OH 质量规格:>99%,BR
ELISAKitPL人胰脂肪酶规格:48T/96T 叔丁氧羰基-N-beta-三苯甲基-L-天门冬酰胺 Boc-N-beta-Trityl-L-asparagine 质量规格:>98%,BR
人甲基化CpG结合蛋白2(MECP2)免疫试剂盒 Human methyl CpG binding protein 2,MECP2 ELISA Kit 反式茴香脑(标准品) cis-Anethol 质量规格:HPLC≥98%,标准品
人甲基化DNA[蛋白]半胱氨酸S甲基转移酶免疫试剂盒 Human methylated-DNA--protein-cysteine S-methylansferase ELISA Kit 反式茴香脑 GC≥98% 20mg
人甲肟前列腺素D2(PGD2-MOX)免疫试剂盒 human Prostaglandin D2-methoxime,PGD2-MOX ELISA KIT 反式丁烯醛(standard for GC) (E)-2-Butenal 质量规格:standard for GC
人甲酰甲硫氨酸(fMet)ELISA检测试剂盒Humanformylmethionine,fMetELISAKit 96T/48T 反式橙花叔醇 HPLC≥95% 20mg
人甲酰甲硫氨酸(fMet)免疫试剂盒 Human formylmethionine,fMet ELISA Kit 反式白藜芦醇-4'-硫酸盐 trans Resveratrol-4'-sulfate 质量规格:美国进口
人甲状旁腺激素(PTH)免疫试剂盒 human Parathyroid hormone,PTH ELISA Kit 反式白藜芦醇4'-O-β-D-葡萄糖苷酸 trans Resveratrol 4'-O-β-D-Glucuronide 质量规格:美国进口
人甲状旁腺激素1-34(PTH 1-34)抗体免疫试剂盒 Human PTH 1-34 aibody ELISA Kit 反式白藜芦醇3-O-β-D-葡萄糖苷酸 trans Resveratrol 3-O-β-D-Glucuronide 质量规格:美国进口
人甲状旁腺激素1-34(PTH 1-34)免疫试剂盒 Human Parathyroid hormone1-34,PTH 1-34 ELISA Kit 反式白藜芦醇-3,5-硫酸氢盐 trans Resveratrol-3,5-disulfate 质量规格:美国进口
人甲状旁腺激素1受体(PTH1R)免疫试剂盒 Human Parathyroid Pormone 1 Receptor,PTH1R ELISA Kit 反式-9-十八烯酸甲酯(标准品) trans-9-Octadecenoic methyl ester 质量规格:分析标准品
人甲状旁腺激素相关蛋白(PTHrP)免疫试剂盒 Human Parathyroid Hormone Related Protein,PTHrP ELISA Kit 反式(2,3)-二氢丁苯那嗪 trans (2,3)-Dihydro Tetrabenazine 质量规格:美国进口
二乙基锡(标准品) Diethyltin-dichloride 质量规格:分析标准品,10ng/μl溶于环己烷 牛亚硫酸盐氧化酶(sulfite oxidase,SO)免疫试剂盒 Bovine Sulfite Oxidase(sulfite oxidase,SO)ELISA Kit
草萘胺(标准品) Napropamid 质量规格:分析标准品 牛氧化酶(aldehyde oxidases,AO)免疫试剂盒 Bovine aldehyde oxidase I(aldehyde oxidases,AO)ELISA Kit
除虫脲标准溶液(10μg/ml,u=3%) Diflubenzuron solution 质量规格:10μg/ml,u=3% 牛氧杂蒽氧化酶免疫试剂盒 Bovine xahene oxidase ELISA Kit
二噻农(标准品) Dithianon 质量规格:分析标准品 牛叶酸(FA)免疫试剂盒 Bovine folic acid,FA ELISA Kit
棉隆(标准品) Dazomet 质量规格:分析标准品,97% 牛胰岛素(Insulin)免疫试剂盒 Bovine Insulin ELISA kit
双氯酚(标准品) Dichlorophene 质量规格:分析标准品 牛胰岛素样生长因子1(IGF-1)ELISA检测试剂盒BovineInsulin-likegrowthfactor1,IGF-1ELISAKit 96T/48T
异丙净(标准品) Dipropetryn 质量规格:分析标准品 牛胰岛素样生长因子1(IGF-1)免疫试剂盒 Bovine Insulin-like growth factor 1,IGF-1 ELISA Kit
异菌脲标准溶液(100μg/ml,u=4%) [3-(3,5-Dichlorophenyl)-2,4-dioxoimidazolidinyl]-N-(methylethyl)carboxamide standard solution 质量规格:100μg/ml,u=4% 牛胰岛素样生长因子结合蛋白1(IGFBP-1)免疫试剂盒 Bovine insulin-like growth factor binding protein 1,IGFBP-1 ELISA Kit
异氯磷(标准品) Dicapthon 质量规格:分析标准品 牛胰岛素样生长因子结合蛋白2(IGFBP-2)免疫试剂盒 Bovine Insulin-like growth factor binding protein 2,IGFBP-2 ELISA kit
4,4'-滴滴滴(标准品) p, p’-DDD 质量规格:分析标准品 牛胰岛素样生长因子结合蛋白3(IGFBP-3)免疫试剂盒 bovine Insulin-like growth factor binding protein 3,IGFBP-3 ELISA kit
牛血小板生成素(TPO)免疫试剂盒 Bovine Thrombopoietin,TPO ELISA kit 分散橙37(标准品) Disperse Orange 37 质量规格:分析标准品
牛亚硫酸盐氧化酶(sulfite oxidase,SO)免疫试剂盒 Bovine Sulfite Oxidase(sulfite oxidase,SO)ELISA Kit 二乙基锡(标准品) Diethyltin-dichloride 质量规格:分析标准品,10ng/μl溶于环己烷
牛氧化酶(aldehyde oxidases,AO)免疫试剂盒 Bovine aldehyde oxidase I(aldehyde oxidases,AO)ELISA Kit 草萘胺(标准品) Napropamid 质量规格:分析标准品
牛氧杂蒽氧化酶免疫试剂盒 Bovine xahene oxidase ELISA Kit 除虫脲标准溶液(10μg/ml,u=3%) Diflubenzuron solution 质量规格:10μg/ml,u=3%
牛叶酸(FA)免疫试剂盒 Bovine folic acid,FA ELISA Kit 二噻农(标准品) Dithianon 质量规格:分析标准品
牛胰岛素(Insulin)免疫试剂盒 Bovine Insulin ELISA kit 棉隆(标准品) Dazomet 质量规格:分析标准品,97%
牛胰岛素样生长因子1(IGF-1)ELISA检测试剂盒BovineInsulin-likegrowthfactor1,IGF-1 96T/48T 双氯酚(标准品) Dichlorophene 质量规格:分析标准品
牛胰岛素样生长因子1(IGF-1)免疫试剂盒 Bovine Insulin-like growth factor 1,IGF-1 ELISA Kit 异丙净(标准品) Dipropetryn 质量规格:分析标准品
牛胰岛素样生长因子结合蛋白1(IGFBP-1)免疫试剂盒 Bovine insulin-like growth factor binding protein 1,IGFBP-1 ELISA Kit 异菌脲标准溶液(100μg/ml,u=4%) [3-(3,5-Dichlorophenyl)-2,4-dioxoimidazolidinyl]-N-(methylethyl)carboxamide standard solution 质量规格:100μg/ml,u=4%
牛胰岛素样生长因子结合蛋白2(IGFBP-2)免疫试剂盒 Bovine Insulin-like growth factor binding protein 2,IGFBP-2 ELISA kit 异氯磷(标准品) Dicapthon 质量规格:分析标准品
风险提示:丁香通仅作为第三方平台,为商家信息发布提供平台空间。用户咨询产品时请注意保护个人信息及财产安全,合理判断,谨慎选购商品,商家和用户对交易行为负责。对于医疗器械类产品,请先查证核实企业经营资质和医疗器械产品注册证情况。
技术资料暂无技术资料 索取技术资料
西伯利亚远志糖A5107912-97-0
询价









