相关产品推荐更多 >
万千商家帮你免费找货
0 人在求购买到急需产品
- 详细信息
- 询价记录
- 技术资料
- 库存:
33
- 英文名:
Kavain
- CAS号:
3155-48-4
- 保质期:
详见说明书
- 供应商:
上海博湖
- 保存条件:
低温冷藏
- 规格:
20mg/50mg/1g,可按客户需求包装!
订购须知:
1.优势:高效稳定的专业纯化技术,完善的库存及供应体系,高效的销售团队。
2.包装规格:常规包装,如有特殊需求,我们根据客户要求包装。
3.运输方式:默认顺丰快递。
4.质量保证:严格的质量控制,通过全面的检测,是产品质量保证的基础。如有异议经我司确认可无条件退换货。
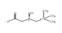
产品名称 醉椒素、DL-醉椒素3155-48-4
英文名称 Kavain
分 子 量: 230.26
CAS NO.: 3155-48-4
纯 度: ≥98%
分子式: C14H14O3

性状: 白色结晶粉末
规格: 20mg/50mg/1g,可按客户需求包装!
用途: 用于科研研究、鉴定、药理实验等
熔点: 补充中
溶解性: 可溶于甲醇、乙醇、DMSO等有机溶剂;
提取来源: 卡瓦胡椒
药理药效: 醉椒素具有抗真菌、抗炎、解痉剂、消肿、局部麻醉剂的作用
鉴别方法: NMR;Ms
检测方法: HPLC
贮存条件: 低温冷藏,避光,密封,干燥
注意事项: 无
有效期限: 2年
供货能力: 现货,可根据可以客户需求批量定制
分析纯(AR,红标签): 主成分含量很高、纯度较高,干扰杂质很低,适用于工业分析及化学实验。
化学纯(CP,蓝标签): 主成分含量高、纯度较高,存在干扰杂质,适用于化学实验和合成制备。
色谱纯(GC):气相色谱分析专用。 质量指标注重干扰气相色谱峰的杂质。主成分含量高。
光谱纯(SP):用于光谱分析。 分别适用于分光光度计标准品、原子吸收光谱标准品、原子发射光谱标准品
电子纯(MOS):适用于电子产品中,电性杂质含量极低。 当量试剂(3N、4N、5N):主成分含量分别为99.9%、99.99%、99.999%以上。
我司提供以下服务:
1.中药提取物的定制和,中药提取物代加工相关服务。
2.中药高含量提取物的工业化高效分离及分离纯化
3.天然产物原料药和中间体的,定制(包括合成,半合成)
GST融合蛋白谷胱甘肽树脂再生试剂盒20 蛋白酶VIII Protease type VIII 质量规格:美国原装进口7-15 units/mg,来源于地衣芽孢杆菌
MouseThyroidStimulatingHormone,TSHELISA试剂盒小鼠促甲状腺素(TSH)ELISA试剂盒规格:96T/48T 曲安奈德 Triamcinolone Acetonide 质量规格:>98%,BR
小鼠抗酸性0酸酶5b(ACP-5b)ELISA试剂盒 ,英文名: ACP-5b ELISA Kit 曲安奈德(标准品) Triamcinolone Acetonide 质量规格:>98%,标准品
大鼠神经肽Y(NP-Y)ELISA检测试剂盒RatneuropeptideY,NP-YELISAKit 96T/48T β-NADH;还原性辅酶I二钠盐 β-NADH.hydrate 质量规格:>90%,罗氏分包
人胆(CH)免疫试剂盒 Human cholesterol,CH ELISA Kit 苏拉明钠 Suramin sodium 质量规格:>98%,BR
RatProAialNaiureticPeptide,Pro-ANPELISAKit大鼠前心肽(Pro-ANP)ELISA试剂盒规格:96T/48T 弹性蛋白酶 Elastase, pancreatic from porcine pancreas 质量规格:30 units/mg
GST融合蛋白因子10α(FACTORXa)酶切试剂盒10 脂肪酶 Lipase 质量规格:20000U/g,BR
Mousetoxicshocksyndrometoxin,TSST-1ELISA试剂盒小鼠毒性休克综合征毒素1(TSST-1)ELISA试剂盒规格:96T/48T 木聚糖酶 Xylanase from Trichoderma viride 质量规格:BR,6万U/G
小鼠抗酸性0酸酶5b(ACP5b)ELISA试剂盒 ,英文名: ACP5b ELISA Kit 透明质酸,玻尿酸(分子量80万-150万) Hyaluronic Acid 质量规格:>95%,BR,M.W:80万-150万
大鼠抗凝血酶Ⅲ抗体(AT-Ⅲ)ELISA检测试剂盒RatAi-ThrombinⅢ,AT-ⅢELISAKit 96T/48T 透明质酸,玻尿酸,醣醛酸(分子量3K) Hyaluronic Acid 质量规格:>95%,BR,M.W:3000
人胆囊收缩素/肠促胰酶肽(CCK)免疫试剂盒 Human cholecystokinin,CCK ELISA Kit 钴标准溶液(1000μg/ml) Cobalt standard 质量规格:1000μg/ml
人胆囊收缩素/缩胆囊素八肽(CCK-8)ELISA检测试剂盒Humancholecystokininoctapeptide,CCK-8ELISAKit 96T/48T 钴标准溶液(100(20℃)µg/mL,基体: 1%HNO3) Cobalt standard 质量规格:100(20℃)µg/mL,基体: 1%HNO3
人胆囊收缩素/缩胆囊素八肽(CCK-8)免疫试剂盒 Human cholecystokinin octapeptide,CCK-8 ELISA Kit 骨抑制素酰胺,人 Osteostatin amide (human) 质量规格:>95%,BR
人胆酸(Cholic acid)免疫试剂盒 Human Cholic acid ELISA Kit 骨抑制素,人 Osteostatin (human) 质量规格:>95%,BR
人胆酸(Cholicacid)ELISA检测试剂盒HumanCholicacidELISAKit 96T/48T 骨抑制素(1-5)酰胺,人,牛,狗,大鼠,小鼠,兔,马 Osteostatin (1-5) amide(human, bovine, dog, horse,mouse, rabbit, rat) 质量规格:>95%,BR
人弹性蛋白(Elastin)ELISA检测试剂盒HumanElastinELISAKit 96T/48T 骨化三醇 Calcitriol 质量规格:度≥98%,BR
人弹性蛋白(ELN)免疫试剂盒 Human Elastin,ELN ELISA Kit 骨化二醇 HPLC≥98% 20mg
人弹性蛋白酶(Elastase)ELISA检测试剂盒HumanElastaseELISAKit 96T/48T 骨化二醇 HPLC≥98% 10mg
人弹性蛋白酶(Elastase)免疫试剂盒 Human Elastase ELISA Kit 骨钙素(7-19),人 Osteocalcin (7-19) (human) 质量规格:>95%,BR
人弹性蛋白酶2,中性粒细胞(ELA2)免疫试剂盒 Human ELA2 ELISA KIT 谷胱甘肽(氧化型) Glutathione(Oxidized) 质量规格:度大于98%,BR
格列喹酮 Gliquidone 质量规格:>98%,BR 小鼠肌球蛋白重链4(MYH4)ELISA试剂盒 ,英文名: MYH4 ELISA Kit
格列喹酮(标准品) Gliquidone 质量规格:HPLC>98%,标准品 小鼠肌肉生长抑制素(MSTN)ELISA试剂盒 ,英文名: MSTN ELISA Kit
人参皂苷Rf(标准品) Ginsenoside Rf 质量规格:HPLC≥98%,标准品 小鼠肌肉生长抑制素/肌抑素(MSTN)ELISA试剂盒 96T/48T 试剂盒 组装/原装
人参皂苷Rg1(标准品) Ginsenoside Rg1 质量规格:HPLC≥98%,标准品 小鼠肌生成抑制素(MSTN)ELISA试剂盒 ,英文名: MSTN ELISA Kit
(R型)人参皂苷Rg2(标准品) 20(R)Ginsenoside Rg2 质量规格:HPLC≥98%,标准品 小鼠肌酸激酶(CK)ELISA试剂盒 ,英文名: CK ELISA Kit
人参皂苷Rg2(标准品) Ginsenoside Rg2 质量规格:HPLC≥98%,标准品 小鼠肌酸激酶MB同工酶(CKMB)ELISA试剂盒 ,英文名: CKMB ELISA Kit
(R型)人参皂苷Rg3(标准品) 20(R)Ginsenoside Rg3 质量规格:HPLC≥98%,标准品 小鼠肌酸激酶同工酶MB(CK-MB)ELISA试剂盒 ,英文名: CK-MB ELISA Kit
(S型)人参皂苷Rg3(标准品) Ginsenoside Rg3 质量规格:HPLC≥98%,标准品 小鼠肌酸激酶同工酶MM(CK-MM)ELISA试剂盒 ,英文名: CK-MM ELISA Kit
人参皂苷Rh1(标准品) Ginsenoside Rh1 质量规格:HPLC≥98%,标准品 小鼠肌肽合酶1(CARNS1)ELISA试剂盒 ,英文名: CARNS1 ELISA Kit
(S型)人参皂苷Rh2(标准品) Ginsenoside Rh2 质量规格:HPLC≥98%,标准品 小鼠肌微管素相关蛋白9(MTMR9)ELISA试剂盒 ,英文名: MTMR9 ELISA Kit
醉椒素、DL-醉椒素3155-48-4小鼠肌球蛋白重链(MHC)ELISA试剂盒 ,英文名: MHC ELISA Kit 人参皂苷Rb3(标准品) Ginsenoside Rb3 质量规格:HPLC≥98%,标准品
小鼠肌球蛋白重链1(MYH1)ELISA试剂盒 ,英文名: MYH1 ELISA Kit 人参皂苷Rc(标准品) Ginsenoside Rc 质量规格:HPLC≥98%,标准品
小鼠肌球蛋白重链2(MYH2)ELISA试剂盒 ,英文名: MYH2 ELISA Kit 人参皂苷Rd(标准品) Ginsenoside Rd 质量规格:HPLC≥98%,标准品
小鼠肌球蛋白重链4(MYH4)ELISA试剂盒 ,英文名: MYH4 ELISA Kit 格列喹酮 Gliquidone 质量规格:>98%,BR
小鼠肌肉生长抑制素(MSTN)ELISA试剂盒 ,英文名: MSTN ELISA Kit 格列喹酮(标准品) Gliquidone 质量规格:HPLC>98%,标准品
小鼠肌肉生长抑制素/肌抑素(MSTN)ELISA试剂盒 96T/48T 试剂盒 组装/原装 人参皂苷Rf(标准品) Ginsenoside Rf 质量规格:HPLC≥98%,标准品
小鼠肌生成抑制素(MSTN)ELISA试剂盒 ,英文名: MSTN ELISA Kit 人参皂苷Rg1(标准品) Ginsenoside Rg1 质量规格:HPLC≥98%,标准品
小鼠肌酸激酶(CK)ELISA试剂盒 ,英文名: CK ELISA Kit (R型)人参皂苷Rg2(标准品) 20(R)Ginsenoside Rg2 质量规格:HPLC≥98%,标准品
小鼠肌酸激酶MB同工酶(CKMB)ELISA试剂盒 ,英文名: CKMB ELISA Kit 人参皂苷Rg2(标准品) Ginsenoside Rg2 质量规格:HPLC≥98%,标准品
小鼠肌酸激酶同工酶MB(CK-MB)ELISA试剂盒 ,英文名: CK-MB ELISA Kit (R型)人参皂苷Rg3(标准品) 20(R)Ginsenoside Rg3 质量规格:HPLC≥98%,标准品
醉椒素、DL-醉椒素3155-48-4标准品、对照品的问题:
(一)来源:
依照有关规定,中国用于药品成品检验的标准品(对照品)来源有:一是中国药品生物制品检定所提供的标准品(对照品);二是其他国家的标准品(对照品);三是省级以上药品检验所标定,并经同级食 品药品监管局批准的标准品(对照品)。
(二)有效期和使用说明书:
中国药品生物制品检定所提供的标准品(对照品)大部分均无使用说明书和使用期限,大都沿用新的批号出现、旧的批号自动停止的管理方式。
(三)使用过程:
工作标准品(对照品)虽经有关部门认可,但要求有标化日期、复标日期、贮存条件、使用等相关文件规定,并做好相应记录。
(四)验证问题:
按标准品(对照品)管理要求,使用前应对其进行验证,确认无误后方可使用。
(五)开封问题:
对已开封的标准品(对照品)管理方面的问题应做严格的规定,不应同未开封的标准品(对照品)放在一起继续使用,包装上应做好相关标识,说明是否已开封过、何时开封的,内含多少量等相关信息。
1.优势:高效稳定的专业纯化技术,完善的库存及供应体系,高效的销售团队。
2.包装规格:常规包装,如有特殊需求,我们根据客户要求包装。
3.运输方式:默认顺丰快递。
4.质量保证:严格的质量控制,通过全面的检测,是产品质量保证的基础。如有异议经我司确认可无条件退换货。
| 产品名称 | CAS | 规格 |
| 醉椒素、DL-醉椒素3155-48-4 | 3155-48-4 | 可按客户需求包装 |
英文名称 Kavain
分 子 量: 230.26
CAS NO.: 3155-48-4
纯 度: ≥98%
分子式: C14H14O3

性状: 白色结晶粉末
规格: 20mg/50mg/1g,可按客户需求包装!
用途: 用于科研研究、鉴定、药理实验等
熔点: 补充中
溶解性: 可溶于甲醇、乙醇、DMSO等有机溶剂;
提取来源: 卡瓦胡椒
药理药效: 醉椒素具有抗真菌、抗炎、解痉剂、消肿、局部麻醉剂的作用
鉴别方法: NMR;Ms
检测方法: HPLC
贮存条件: 低温冷藏,避光,密封,干燥
注意事项: 无
有效期限: 2年
供货能力: 现货,可根据可以客户需求批量定制
分析纯(AR,红标签): 主成分含量很高、纯度较高,干扰杂质很低,适用于工业分析及化学实验。
化学纯(CP,蓝标签): 主成分含量高、纯度较高,存在干扰杂质,适用于化学实验和合成制备。
色谱纯(GC):气相色谱分析专用。 质量指标注重干扰气相色谱峰的杂质。主成分含量高。
光谱纯(SP):用于光谱分析。 分别适用于分光光度计标准品、原子吸收光谱标准品、原子发射光谱标准品
电子纯(MOS):适用于电子产品中,电性杂质含量极低。 当量试剂(3N、4N、5N):主成分含量分别为99.9%、99.99%、99.999%以上。
我司提供以下服务:
1.中药提取物的定制和,中药提取物代加工相关服务。
2.中药高含量提取物的工业化高效分离及分离纯化
3.天然产物原料药和中间体的,定制(包括合成,半合成)
GST融合蛋白谷胱甘肽树脂再生试剂盒20 蛋白酶VIII Protease type VIII 质量规格:美国原装进口7-15 units/mg,来源于地衣芽孢杆菌
MouseThyroidStimulatingHormone,TSHELISA试剂盒小鼠促甲状腺素(TSH)ELISA试剂盒规格:96T/48T 曲安奈德 Triamcinolone Acetonide 质量规格:>98%,BR
小鼠抗酸性0酸酶5b(ACP-5b)ELISA试剂盒 ,英文名: ACP-5b ELISA Kit 曲安奈德(标准品) Triamcinolone Acetonide 质量规格:>98%,标准品
大鼠神经肽Y(NP-Y)ELISA检测试剂盒RatneuropeptideY,NP-YELISAKit 96T/48T β-NADH;还原性辅酶I二钠盐 β-NADH.hydrate 质量规格:>90%,罗氏分包
人胆(CH)免疫试剂盒 Human cholesterol,CH ELISA Kit 苏拉明钠 Suramin sodium 质量规格:>98%,BR
RatProAialNaiureticPeptide,Pro-ANPELISAKit大鼠前心肽(Pro-ANP)ELISA试剂盒规格:96T/48T 弹性蛋白酶 Elastase, pancreatic from porcine pancreas 质量规格:30 units/mg
GST融合蛋白因子10α(FACTORXa)酶切试剂盒10 脂肪酶 Lipase 质量规格:20000U/g,BR
Mousetoxicshocksyndrometoxin,TSST-1ELISA试剂盒小鼠毒性休克综合征毒素1(TSST-1)ELISA试剂盒规格:96T/48T 木聚糖酶 Xylanase from Trichoderma viride 质量规格:BR,6万U/G
小鼠抗酸性0酸酶5b(ACP5b)ELISA试剂盒 ,英文名: ACP5b ELISA Kit 透明质酸,玻尿酸(分子量80万-150万) Hyaluronic Acid 质量规格:>95%,BR,M.W:80万-150万
大鼠抗凝血酶Ⅲ抗体(AT-Ⅲ)ELISA检测试剂盒RatAi-ThrombinⅢ,AT-ⅢELISAKit 96T/48T 透明质酸,玻尿酸,醣醛酸(分子量3K) Hyaluronic Acid 质量规格:>95%,BR,M.W:3000
人胆囊收缩素/肠促胰酶肽(CCK)免疫试剂盒 Human cholecystokinin,CCK ELISA Kit 钴标准溶液(1000μg/ml) Cobalt standard 质量规格:1000μg/ml
人胆囊收缩素/缩胆囊素八肽(CCK-8)ELISA检测试剂盒Humancholecystokininoctapeptide,CCK-8ELISAKit 96T/48T 钴标准溶液(100(20℃)µg/mL,基体: 1%HNO3) Cobalt standard 质量规格:100(20℃)µg/mL,基体: 1%HNO3
人胆囊收缩素/缩胆囊素八肽(CCK-8)免疫试剂盒 Human cholecystokinin octapeptide,CCK-8 ELISA Kit 骨抑制素酰胺,人 Osteostatin amide (human) 质量规格:>95%,BR
人胆酸(Cholic acid)免疫试剂盒 Human Cholic acid ELISA Kit 骨抑制素,人 Osteostatin (human) 质量规格:>95%,BR
人胆酸(Cholicacid)ELISA检测试剂盒HumanCholicacidELISAKit 96T/48T 骨抑制素(1-5)酰胺,人,牛,狗,大鼠,小鼠,兔,马 Osteostatin (1-5) amide(human, bovine, dog, horse,mouse, rabbit, rat) 质量规格:>95%,BR
人弹性蛋白(Elastin)ELISA检测试剂盒HumanElastinELISAKit 96T/48T 骨化三醇 Calcitriol 质量规格:度≥98%,BR
人弹性蛋白(ELN)免疫试剂盒 Human Elastin,ELN ELISA Kit 骨化二醇 HPLC≥98% 20mg
人弹性蛋白酶(Elastase)ELISA检测试剂盒HumanElastaseELISAKit 96T/48T 骨化二醇 HPLC≥98% 10mg
人弹性蛋白酶(Elastase)免疫试剂盒 Human Elastase ELISA Kit 骨钙素(7-19),人 Osteocalcin (7-19) (human) 质量规格:>95%,BR
人弹性蛋白酶2,中性粒细胞(ELA2)免疫试剂盒 Human ELA2 ELISA KIT 谷胱甘肽(氧化型) Glutathione(Oxidized) 质量规格:度大于98%,BR
格列喹酮 Gliquidone 质量规格:>98%,BR 小鼠肌球蛋白重链4(MYH4)ELISA试剂盒 ,英文名: MYH4 ELISA Kit
格列喹酮(标准品) Gliquidone 质量规格:HPLC>98%,标准品 小鼠肌肉生长抑制素(MSTN)ELISA试剂盒 ,英文名: MSTN ELISA Kit
人参皂苷Rf(标准品) Ginsenoside Rf 质量规格:HPLC≥98%,标准品 小鼠肌肉生长抑制素/肌抑素(MSTN)ELISA试剂盒 96T/48T 试剂盒 组装/原装
人参皂苷Rg1(标准品) Ginsenoside Rg1 质量规格:HPLC≥98%,标准品 小鼠肌生成抑制素(MSTN)ELISA试剂盒 ,英文名: MSTN ELISA Kit
(R型)人参皂苷Rg2(标准品) 20(R)Ginsenoside Rg2 质量规格:HPLC≥98%,标准品 小鼠肌酸激酶(CK)ELISA试剂盒 ,英文名: CK ELISA Kit
人参皂苷Rg2(标准品) Ginsenoside Rg2 质量规格:HPLC≥98%,标准品 小鼠肌酸激酶MB同工酶(CKMB)ELISA试剂盒 ,英文名: CKMB ELISA Kit
(R型)人参皂苷Rg3(标准品) 20(R)Ginsenoside Rg3 质量规格:HPLC≥98%,标准品 小鼠肌酸激酶同工酶MB(CK-MB)ELISA试剂盒 ,英文名: CK-MB ELISA Kit
(S型)人参皂苷Rg3(标准品) Ginsenoside Rg3 质量规格:HPLC≥98%,标准品 小鼠肌酸激酶同工酶MM(CK-MM)ELISA试剂盒 ,英文名: CK-MM ELISA Kit
人参皂苷Rh1(标准品) Ginsenoside Rh1 质量规格:HPLC≥98%,标准品 小鼠肌肽合酶1(CARNS1)ELISA试剂盒 ,英文名: CARNS1 ELISA Kit
(S型)人参皂苷Rh2(标准品) Ginsenoside Rh2 质量规格:HPLC≥98%,标准品 小鼠肌微管素相关蛋白9(MTMR9)ELISA试剂盒 ,英文名: MTMR9 ELISA Kit
醉椒素、DL-醉椒素3155-48-4小鼠肌球蛋白重链(MHC)ELISA试剂盒 ,英文名: MHC ELISA Kit 人参皂苷Rb3(标准品) Ginsenoside Rb3 质量规格:HPLC≥98%,标准品
小鼠肌球蛋白重链1(MYH1)ELISA试剂盒 ,英文名: MYH1 ELISA Kit 人参皂苷Rc(标准品) Ginsenoside Rc 质量规格:HPLC≥98%,标准品
小鼠肌球蛋白重链2(MYH2)ELISA试剂盒 ,英文名: MYH2 ELISA Kit 人参皂苷Rd(标准品) Ginsenoside Rd 质量规格:HPLC≥98%,标准品
小鼠肌球蛋白重链4(MYH4)ELISA试剂盒 ,英文名: MYH4 ELISA Kit 格列喹酮 Gliquidone 质量规格:>98%,BR
小鼠肌肉生长抑制素(MSTN)ELISA试剂盒 ,英文名: MSTN ELISA Kit 格列喹酮(标准品) Gliquidone 质量规格:HPLC>98%,标准品
小鼠肌肉生长抑制素/肌抑素(MSTN)ELISA试剂盒 96T/48T 试剂盒 组装/原装 人参皂苷Rf(标准品) Ginsenoside Rf 质量规格:HPLC≥98%,标准品
小鼠肌生成抑制素(MSTN)ELISA试剂盒 ,英文名: MSTN ELISA Kit 人参皂苷Rg1(标准品) Ginsenoside Rg1 质量规格:HPLC≥98%,标准品
小鼠肌酸激酶(CK)ELISA试剂盒 ,英文名: CK ELISA Kit (R型)人参皂苷Rg2(标准品) 20(R)Ginsenoside Rg2 质量规格:HPLC≥98%,标准品
小鼠肌酸激酶MB同工酶(CKMB)ELISA试剂盒 ,英文名: CKMB ELISA Kit 人参皂苷Rg2(标准品) Ginsenoside Rg2 质量规格:HPLC≥98%,标准品
小鼠肌酸激酶同工酶MB(CK-MB)ELISA试剂盒 ,英文名: CK-MB ELISA Kit (R型)人参皂苷Rg3(标准品) 20(R)Ginsenoside Rg3 质量规格:HPLC≥98%,标准品
醉椒素、DL-醉椒素3155-48-4标准品、对照品的问题:
(一)来源:
依照有关规定,中国用于药品成品检验的标准品(对照品)来源有:一是中国药品生物制品检定所提供的标准品(对照品);二是其他国家的标准品(对照品);三是省级以上药品检验所标定,并经同级食 品药品监管局批准的标准品(对照品)。
(二)有效期和使用说明书:
中国药品生物制品检定所提供的标准品(对照品)大部分均无使用说明书和使用期限,大都沿用新的批号出现、旧的批号自动停止的管理方式。
(三)使用过程:
工作标准品(对照品)虽经有关部门认可,但要求有标化日期、复标日期、贮存条件、使用等相关文件规定,并做好相应记录。
(四)验证问题:
按标准品(对照品)管理要求,使用前应对其进行验证,确认无误后方可使用。
(五)开封问题:
对已开封的标准品(对照品)管理方面的问题应做严格的规定,不应同未开封的标准品(对照品)放在一起继续使用,包装上应做好相关标识,说明是否已开封过、何时开封的,内含多少量等相关信息。
风险提示:丁香通仅作为第三方平台,为商家信息发布提供平台空间。用户咨询产品时请注意保护个人信息及财产安全,合理判断,谨慎选购商品,商家和用户对交易行为负责。对于医疗器械类产品,请先查证核实企业经营资质和医疗器械产品注册证情况。
- 作者
- 内容
- 询问日期
技术资料暂无技术资料 索取技术资料
醉椒素、DL-醉椒素3155-48-4
询价









