万千商家帮你免费找货
0 人在求购买到急需产品
- 详细信息
- 文献和实验
- 技术资料
- 库存:
23
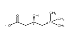
- 英文名:
Jioglutoside B
- 保质期:
详见说明书
- 供应商:
上海博湖
- 保存条件:
低温冷藏
- 规格:
20mg/50mg/1g,可按客户需求包装!
1.色谱(高效液相色谱:薄层层析;气相色谱)
2. 质谱(液-质联用)
3. 光谱(红外、紫外),原子吸收
4. 测定(物理常数测定;旋光测定;不挥发物测定;干燥失重测定;蒸发或灼烧残渣测定)
5. 分析(含量分析;元素分析)
6. 滴定(酸性滴定;碱性滴定;配位滴定;非水滴定;氧化还原滴定)
7. 试验(与水混合试验;澄清度试验;各项化学反应试验
| 产品名称 | 焦地黄苷B |
| CAS | |
| 规格 | 20mg/50mg/1g,可按客户需求包装 |
英文名称 Jioglutoside B
分 子 量: 518.52
纯 度: ≥98%
分子式: C23H34O13
规格: 20mg/50mg/1g,可按客户需求包装!

用途: 用于科研研究、鉴定、药理实验等
熔点:
溶解性: 可溶于甲醇、乙醇、DMSO等有机溶剂;
提取来源: 地黄
药理药效:
鉴别方法: NMR;Ms
检测方法: HPLC
贮存条件: 低温冷藏,避光,密封,干燥
注意事项:
有效期限: 2年
供货能力: 现货,可根据可以客户需求批量定制
化学药品标准物质的分类:
1.按来源:
(1) 国际化学标准物质(WHO)
(2)美国药典标准物质(USPC,USP)
(3)欧式药典标准物质(EDQM,EP)
(4)日本药局标准物(PMRJ,JP)
(5)国家药品标准物质(NICPBP,CHP)
2.按测定方法和使用对象:
(1)生物标准物质
(2)化学标准物质(化学对照物质)
3.按使用要求:
(1)国际化学对照品
(2)国家化学对照品
(3)工作化学对照品
4.按用途:
(1)鉴别用化学对照品
(2)纯度或杂质检查用对照品
(3)含量测定用对照品
(4)标准仪器用对照
5.按药品使用对象:
(1)化学对照品
(2)中药化学对照品
(3)抗生素化学对照品
(4)麻醉药品化学对照品
公司优势:
焦地黄苷B服务对象针对性强,我们的客户遍布各大高校、医院以及各科研单位,还包括性的企业;
服务体系完整,我们为客户提供周到的售前售后服务,以及相应的技术支持。
标准品或对照品的管理规范:
1.规范购入使用台账,严格表明购入时间、批号、来源、数量、使用期限等内容;申购的标准品或对照品的批号要与新颁布标准品或对照品批号相符;
2.严格按照规定条件进行储存,标准品或对照品的性状极不稳定,对储存条件和方式非常苛刻;
3.规范管理和使用:
(1)严格按照说明书要求,由于标准品或对照品的不稳定性,若不安产品说明书的要求操作,极易造成较大的误差,从而影响检测结果;
(2)称量精密准确,标准品和对照品的含量测定要求不同,对精密性的要求很高;
(3)对于长期贮存的制备品,应充分考虑各方面的影响因素,规范操作;
(4)同时配制两份对照溶液以控制检验误差,由于现在药品的标准含量测定方法较多采用对照比较法,在测定过程中,仅配制一份对照溶液容易造成因配制对照溶液过程出现偏差;
(5)自行标定的标准品或对照品,严格规范操作,保证标准的可靠传递,并保证其可溯源性和准确性。
我司经营范围:国家对照品标准物质、进口对照品、冶金标样、标准气体、药典对照品、标准菌种、实验室耗材、试剂盒等
RIPA完全裂解液含有蛋白酶和0酸酶抑制剂 2,3-脱氢辛伐他汀酸钠盐 2,3-Dehydro Simvastatin Acid Sodium Salt 质量规格:美国进口
RabbitCompleme4,C4ELISA试剂盒兔子补体蛋白4(C4)ELISA试剂盒规格:96T/48T 脱氢辛伐他汀 Dehydro Simvastatin 质量规格:美国进口
小鼠促黄体激素(LH)ELISA试剂盒 ,英文名: LH ELISA Kit 6'-羧基辛伐他汀 6'-Carboxy Simvastatin 质量规格:美国进口
大鼠细胞色素P450(CYP450)ELISA检测试剂盒RatcytochromeP450,CYP450ELISAKit 96T/48T 6'-羟甲基辛伐他汀 6'-Hydroxymethyl Simvastatin 质量规格:美国进口
人β葡萄糖酸苷酶(βGD)免疫试剂盒 Human β-glucuronidase,βGD ELISA Kit 辛伐他汀羟基酸铵盐 Simvastatin Hydroxy Acid, Ammonium Salt 质量规格:美国进口
英文名称MouseVascuolarcelladhesionmolecule1ELISAkit小鼠血管内皮细胞粘附分子1(VCAM-1)规格:96T/48T N-氧基索拉菲尼 Sorafenib N-Oxide 质量规格:美国进口
RIPA完全裂解液含有蛋白酶和0酸酶抑制剂 甲基索拉菲尼-d3 Sorafenib-methyl-d3 质量规格:美国进口
RabbitComplemefragme3a,C3aELISA试剂盒兔子补体片断3a(C3a)ELISA试剂盒规格:96T/48T 硫康唑 Sulconazole 质量规格:美国进口
小鼠促红细胞生成素(EPO)ELISA试剂盒 ,英文名: EPO ELISA Kit N-去乙基舒尼替尼 N-Desethyl Sunitinib 质量规格:美国进口
大鼠热休克因子1(HSF1)ELISA检测试剂盒RatHeatShockFactor1,HSF1ELISAKit 96T/48T N,N-二去乙基舒尼替尼盐酸盐 N,N-Didesethyl Sunitinib Hydrochloride 质量规格:美国进口
英文名称MouseCINC-1ELISAKit小鼠CINC-1规格:96T/48T 4,7-二-2,1,3-苯并噻二唑(>98.0%(GC)) 4,7-Dibromo-2,1,3-benzothiadiazole 质量规格:>98.0%(GC)
英文名称MouseCINC-2a/bELISAKit小鼠CINC-2a/b规格:96T/48T 4,7-二羟基-1,10-菲啰啉(>98.0%(HPLC)) 4,7-Dihydroxy-1,10-phenanthroline 质量规格:>98.0%(HPLC)
英文名称MouseCINC-3ELISAKit小鼠CINC-3规格:96T/48T 4,7-二甲基-1,10-邻二氮杂菲(>98.0%(T)) 4,7-Dimethyl-1,10-phenanthroline 质量规格:>98.0%(T)
英文名称MouseCollageypeIELISAKit小鼠I型胶原(CollageypeI)ELISA试剂盒规格:96T/48T 4,7,13,21,24-六氧杂-1,10-二氮杂双环[8,8,8]-二十六烷(>98.0%(GC)(T)) 4,7,13,16,21,24-Hexaoxa-1,10-diazabicyclo[
英文名称MouseCollageypeIIELISAKit小鼠II型胶原(CollageypeII)规格:96T/48T 4,5-乙撑二硫代-1,3-二硫酚-2-酮(>98.0%(GC)) 4,5-Ethylenedithio-1,3-dithiol-2-one 质量规格:>98.0%(GC)
英文名称MouseCollageypeIIIELISAKIT小鼠III型胶原(Collagen)规格:96T/48T 4,5-亚乙基二硫代-1,3-二硫醇-2-硫酮(>98.0%(GC)) 4,5-Ethylenedithio-1,3-dithiole-2-thione 质量规格:>98.0%(GC)
英文名称MouseC-PeptideELISAKit小鼠C-肽(C-Peptide)规格:96T/48T 4,5-双(甲硫代)-1,3-二硫醇-2-酮(>98.0%(GC)) 4,5-Bis(methylthio)-1,3-dithiol-2-one 质量规格:>98.0%(GC)
英文名称MouseCRPELISAKit小鼠C反应蛋白(CRP)规格:96T/48T 4,5-去亚异丙基托吡酯 4,5-Desisopropylidene Topiramate 质量规格:美国进口
英文名称MouseCTX-IELISAKit小鼠I型胶原C端肽规格:96T/48T 4,5-甲二硫基-1,3-二硫醇-2-酮(>95.0%(HPLC)) 4,5-Methylenedithio-1,3-dithiol-2-one 质量规格:>95.0%(HPLC)
英文名称MouseCXCL10ELISAKit小鼠B-淋巴细胞趋化因子10(CXCL11)规格:96T/48T 4,5-二氯荧光素(>98%,BR) 4,5-Dichlorofluorescein 质量规格:>98%,BR
焦地黄苷B4,5-二氟酞腈(>95.0%(GC)) 4,5-Difluorophthalonitrile 质量规格:>95.0%(GC) 小鼠转化受体电位阳离子通道亚家族M成员4(PM4)ELISA试剂盒 ,英文名: PM4 ELISA Kit
4-己氧基苯二甲腈(>95.0%(GC)) 4-Hexyloxyphthalonitrile 质量规格:>95.0%(GC) 小鼠转化受体电位阳离子通道亚家族V成员1(PV1)ELISA试剂盒 ,英文名: PV1 ELISA Kit
4-羟基邻苯二甲腈(>97.0%(GC)) 4-Hydroxyphthalonitrile 质量规格:>97.0%(GC) 小鼠转化受体电位阳离子通道亚家族V成员2(PV2)ELISA试剂盒 ,英文名: PV2 ELISA Kit
4-硝基邻苯二甲腈(>98.0%(GC)) 4-Nitrophthalonitrile 质量规格:>98.0%(GC) 小鼠转甲状腺素蛋白(T)ELISA试剂盒 ,英文名: T ELISA Kit
3-硝基邻苯二甲腈(>98.0%(GC)) 3-Nitrophthalonitrile 质量规格:>98.0%(GC) 小鼠转录激活因子3(ATF3)ELISA试剂盒 ,英文名: ATF3 ELISA Kit
邻苯二甲腈(>99.0%(GC)) Phthalonitrile 质量规格:>99.0%(GC) 小鼠转录激活因子5(ATF5)ELISA试剂盒 ,英文名: ATF5 ELISA Kit
4-丙氧基苯二甲腈(>95.0%(GC)) 4-Propoxyphthalonitrile 质量规格:>95.0%(GC) 小鼠转录激活因子6(ATF6)ELISA试剂盒 ,英文名: ATF6 ELISA Kit
4-戊氧基苯二甲腈(>98.0%(GC)) 4-Pentyloxyphthalonitrile 质量规格:>98.0%(GC) 小鼠转录因子20(TCF20)ELISA试剂盒 ,英文名: TCF20 ELISA Kit
四氟邻苯二甲腈(>98.0%(GC)) Tetrafluorophthalonitrile 质量规格:>98.0%(GC) 小鼠转酶(ALT)ELISA试剂盒 ,英文名: ALT ELISA Kit
1,2-萘二甲腈(>98.0%(GC)) 1,2-Naphthalenedicarbonitrile 质量规格:>98.0%(GC) 小鼠转酶/谷转酶(ALT/GPT)ELISA试剂盒 ,英文名: ALT/GPT ELISA Kit
小鼠转化生长因子β受体Ⅰ(TGFβR1)ELISA试剂盒 ,英文名: TGFβR1 ELISA Kit 1,3-二亚氨基异吲哚啉(>98.0%(T)) 1,3-Diiminoisoindoline 质量规格:>98.0%(T)
小鼠转化生长因子β受体Ⅱ(TGFβR2)ELISA试剂盒 ,英文名: TGFβR2 ELISA Kit 4,5-二氯邻苯二甲腈(>98.0%(GC)(N)) 4,5-Dichlorophthalonitrile 质量规格:>98.0%(GC)(N)
小鼠转化生长因子β诱导蛋白(TGFβI)ELISA试剂盒 ,英文名: TGFβI ELISA Kit 4-十二烷氧基邻苯二甲腈(>99.0%(GC)) 4-Dodecyloxyphthalonitrile 质量规格:>99.0%(GC)
小鼠转化受体电位阳离子通道亚家族M成员4(PM4)ELISA试剂盒 ,英文名: PM4 ELISA Kit 4,5-二氟酞腈(>95.0%(GC)) 4,5-Difluorophthalonitrile 质量规格:>95.0%(GC)
小鼠转化受体电位阳离子通道亚家族V成员1(PV1)ELISA试剂盒 ,英文名: PV1 ELISA Kit 4-己氧基苯二甲腈(>95.0%(GC)) 4-Hexyloxyphthalonitrile 质量规格:>95.0%(GC)
小鼠转化受体电位阳离子通道亚家族V成员2(PV2)ELISA试剂盒 ,英文名: PV2 ELISA Kit 4-羟基邻苯二甲腈(>97.0%(GC)) 4-Hydroxyphthalonitrile 质量规格:>97.0%(GC)
小鼠转甲状腺素蛋白(T)ELISA试剂盒 ,英文名: T ELISA Kit 4-硝基邻苯二甲腈(>98.0%(GC)) 4-Nitrophthalonitrile 质量规格:>98.0%(GC)
小鼠转录激活因子3(ATF3)ELISA试剂盒 ,英文名: ATF3 ELISA Kit 3-硝基邻苯二甲腈(>98.0%(GC)) 3-Nitrophthalonitrile 质量规格:>98.0%(GC)
小鼠转录激活因子5(ATF5)ELISA试剂盒 ,英文名: ATF5 ELISA Kit 邻苯二甲腈(>99.0%(GC)) Phthalonitrile 质量规格:>99.0%(GC)
小鼠转录激活因子6(ATF6)ELISA试剂盒 ,英文名: ATF6 ELISA Kit 4-丙氧基苯二甲腈(>95.0%(GC)) 4-Propoxyphthalonitrile 质量规格:>95.0%(GC)
风险提示:丁香通仅作为第三方平台,为商家信息发布提供平台空间。用户咨询产品时请注意保护个人信息及财产安全,合理判断,谨慎选购商品,商家和用户对交易行为负责。对于医疗器械类产品,请先查证核实企业经营资质和医疗器械产品注册证情况。
文献和实验不必再处理。 处理的步骤如下: 1.在玻璃烧杯中注入去离子水,加入 DEPC 使其终浓度为 0.05%~0.1%(DEPC-H2O)。(DEPC 二乙基焦碳酸酯为活性很强的剧毒物,须在通风橱中小心使用) 2.将待处理的塑料制品放入一个可以高温灭菌的容器中,注入 DEPC-H2O,使塑料制品的所有部分都浸泡到溶液中,在通风柜中 37℃ 或室温下处理过夜。 3.将 DEPC-H2O 小心倒入废液瓶中,将装有 DEPC- H2O 处理过的塑料制品的容器以铝箔封口,高温高压蒸汽灭菌至少
,可通过进行科勒照明让聚光镜在高度和/或中心处对齐。若要查找有关通过科勒照明进行聚光镜对准的信息,可访问奥林巴斯在线显微镜资源中心。 图 5.聚光镜对准程序:(a)关闭视场光圈,(b)将视场光栏的像中心居中,(c)确认精确中心,让视场光栏的像内切到视场边缘,(d)然后让视场光栏的像外切。 文件大小: 显微镜文件可能会很大。但文件的大小可以通过某些方式缩减。比如,如果不需要数据,“以防万一”对一切进行成像的想法实际上会让问题变得更复杂。 利用所需要的分辨率、位深和视场对所需要的部位进行成像。由于文
性由两个人工合成的引物序列决定。反应分三步: A.变性:通过加热使 DNA 双螺旋的氢键断裂,形成单链 DNA; B.退火:将反应混合液冷却至某一温度,使引物与模板结合。 C.延伸:在 DNA 聚合酶和 dNTPs 及 Mg2+存在下,退火引物沿 5‘ —— 3’ 方向延伸。 以上三步为一个循环,如此反复。 3. 逆转录酶和 RT-PCR 逆转录酶(reverse transcriptase)是存在于 RNA 病毒体内的依赖 RNA 的 DNA 聚合酶,至少具有以下三种活性: (1)依赖 RNA
技术资料暂无技术资料 索取技术资料










