相关产品推荐更多 >
万千商家帮你免费找货
0 人在求购买到急需产品
- 详细信息
- 技术资料
- 库存:
42
- 英文名:
Momordin Ic
- CAS号:
96990-18-0
- 保质期:
详见说明书
- 供应商:
上海谷研
- 保存条件:
低温冷藏
- 规格:
20mg/50mg/1g
我们关注产品的每一个细节,因为产品与产品最大的差异在于细节。我们拥有严格的生产工艺流程和完善的质量标准控制,保证产品的质量可控性及批量生产的稳定性;完善的库存及供应体系,所有产品均能现货供应。质量承诺:产品若有质量问题,无条件退货换货。
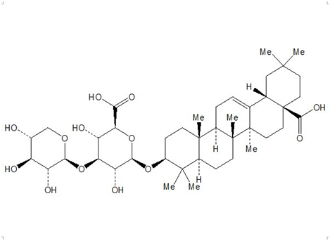
产品名称 96990-18-0地肤子皂苷Ic
英文名称 Momordin Ic
分 子 量: 764.944
CAS NO.: 96990-18-0
纯 度: ≥98%
分子式: C41H64O13
性状: 浅黄色结晶粉末
规格: 20mg/50mg/1g,可按客户需求包装!
用途: 用于科研研究、鉴定、药理实验等
熔点: 238-240℃
溶解性: 可溶于甲醇、乙醇、DMSO等有机溶剂;
提取来源: 地肤子
药理药效: 地肤子皂苷Ic 具有清热利湿、祛风止痒等功效,具有抗瘙痒,抗炎和抗过敏的作用
鉴别方法: NMR;Ms
检测方法: HPLC-ELSD 甲醇-水-(85:15:0.2)(仅供参考)
贮存条件: 低温冷藏,避光,密封,干燥
注意事项: 无
有效期限: 2年
供货能力: 现货,可根据可以客户需求批量定制生产
分类:
1.按来源:
(1)国际化学标准物质(WHO)
(2)美国药典标准物质(USPC,USP)
(3)欧式药典标准物质(EDQM,EP)
(4)日本药局标准物(PMRJ,JP)
(5)国家药品标准物质(NICPBP,CHP)
2.按测定方法和使用对象:
(1)生物标准物质
(2)化学标准物质(化学对照物质)
3.按使用要求:
(1)国际化学对照品
(2)国家化学对照品
(3)工作化学对照品
4.按用途:
(1)鉴别用化学对照品
(2)纯度或杂质检查用对照品
(3)含量测定用对照品
(4)标准仪器用对照品
5.按药品使用对象:
(1)化学对照品
(2)中药化学对照品
(3)抗生素化学对照品
(4)麻醉药品化学对照品
对照品的管理:
(一)96990-18-0地肤子皂苷Ic规范记录:
建立标准物质台帐,定期更新台账,明确责任主体,以便做到可以追本溯源;
领用时,记录好领用时的名称、数量、时间、领用人、发放人等必要的信息;
标准物质应在有效期内使用,应定期检查标准物质的有效期,对于超限的标准物质要填写销毁登记表;建立标准物质档案。
(二)定期核查:
对于标准物质的种类、级别、介质、浓度含量、有效期、批号、环境条件、储存方法、帐物相符等等各参数,要定期核查。
定期检查实验室各检测项目所对应的标准物质是否相符。对新增检测项目所对应的标准物质应及时纳入规范管理。
存放环境条件和有效性。按标准物质证书上规定的环境条件,储存方法进行存放,及时检查是否过期。标准物质的储存环境应保证其特性完整不变。
标准物质所用介质和浓度是否满足检测方法对介质的要求。浓度是否合适,所用的介质对分析是否有影响。
(三)期间核查:
有效期短、使用频率高的标准物质,要经常性的核查;
不常使用的标准物质,在分析检测之前核查即可;
稳定性好,还未开封的标准物质,可延长核查周期;
核糖霉素规格:96T/48T试剂盒组装/原装
霉素规格:96T/48T试剂盒组装/原装
罗红霉素规格:96T/48T试剂盒组装/原装
阿奇霉素规格:96T/48T试剂盒组装/原装
西梭米星规格:96T/48T试剂盒组装/原装
大观霉素规格:96T/48T试剂盒组装/原装
奈替米星规格:96T/48T试剂盒组装/原装
克拉霉素规格:96T/48T试剂盒组装/原装
吉它霉素规格:96T/48T试剂盒组装/原装
交沙霉素规格:96T/48T试剂盒组装/原装
万古霉素规格:96T/48T试剂盒组装/原装
丙交沙霉素规格:96T/48T试剂盒组装/原装
醋麦迪霉素规格:96T/48T试剂盒组装/原装
依替米星规格:96T/48T试剂盒组装/原装
巴龙霉素规格:96T/48T试剂盒组装/原装
96990-18-0地肤子皂苷Ic小鼠D乳脱氢酶(DLDH)Elisa Kit(学发光免疫分析法) histone H3like protein 组蛋白H3样蛋白(C端多肽 10mg
小鼠C肽(CPeptide)Elisa Kit(学发光免疫分析法) histone H3like protein 组蛋白H3样蛋白(N端多肽 100mg
小鼠CXC趋因子受体3(CXCR3)Elisa Kit(学发光免疫分析法)histone H3like protein 组蛋白H3样蛋白多肽 50mg
小鼠CXC趋因子配体16(CXCL16)Elisa Kit(学发光免疫分析法)HisX6 聚组氨标签蛋白 10mg
小鼠cjun Elisa Kit(学发光免疫分析法) HIV gp120 艾滋病病毒(抗原 25ML
小鼠cfos Elisa Kit(学发光免疫分析法) HIV1(human immunodeficiency virus type 1 250ML
小鼠CD3分子(CD3)Elisa Kit(学发光免疫分析法) HIV1(human immunodeficiency virus type 1 25ML
小鼠CD30分子(CD30)Elisa Kit(学发光免疫分析法)HLADR(human leukoyte Antigen DR 250mg
标准品、对照品的区别:
一)对照品
96990-18-0地肤子皂苷Ic是指用于鉴别、检查、含量测定和校正检定仪器性能的标准物质,采用化学方法来测定,即是一般仪器的都叫做对照品。分为官方标准品和工作对照品,试剂公司买的不能作为正常的对照品使用,必须经过标定之后才可使用。
二)标准品
标准品,即标准物品,是中药标准对照品研究中心代理的作为一种衡量标准。
三)内标物
能完全溶解于样品中,且不与待测组分发生化学作用;峰位尽可能与待测组分的峰位靠近,但能与待测组分完全分开(分离度R≥1.5)的纯物质,就叫做内标物。
对照品:用于鉴别、检查、含量测定和校正检定仪器性能的标准物质。对照品系指用于生物制品理化等方面测定的特定物质,由生产单位采用与制品生产工艺相同的方法制备。对照品应尽可能与制品原液配方一致,稳定性较差的,可加不含对测定有干扰物质的适宜的稳定剂。对照品由国家药品检定机构审查认可,其标准应不低于制品的质量标准。
标准品:用于生物检定、抗生素或生物药品中含量或效价测定的标准物质,以效价单位(U)表示。品及生物参考品系指用于鉴别、检查含量或效价测定的标准物质,其制备与标定应符合“生物制品物质制备和标定规程”要求,并由药品监督管理部门指定的机构分发。企业工作标准品或参考品必须经品或参考品标化后方能使用。
| 产品名称 | 英文名称 | 规格 |
| 96990-18-0地肤子皂苷Ic | Momordin Ic | 可根据客户要求大包装订制 |
英文名称 Momordin Ic
分 子 量: 764.944
CAS NO.: 96990-18-0
纯 度: ≥98%
分子式: C41H64O13
性状: 浅黄色结晶粉末
规格: 20mg/50mg/1g,可按客户需求包装!
用途: 用于科研研究、鉴定、药理实验等
熔点: 238-240℃
溶解性: 可溶于甲醇、乙醇、DMSO等有机溶剂;
提取来源: 地肤子
药理药效: 地肤子皂苷Ic 具有清热利湿、祛风止痒等功效,具有抗瘙痒,抗炎和抗过敏的作用
鉴别方法: NMR;Ms
检测方法: HPLC-ELSD 甲醇-水-(85:15:0.2)(仅供参考)
贮存条件: 低温冷藏,避光,密封,干燥
注意事项: 无
有效期限: 2年
供货能力: 现货,可根据可以客户需求批量定制生产
分类:
1.按来源:
(1)国际化学标准物质(WHO)
(2)美国药典标准物质(USPC,USP)
(3)欧式药典标准物质(EDQM,EP)
(4)日本药局标准物(PMRJ,JP)
(5)国家药品标准物质(NICPBP,CHP)
2.按测定方法和使用对象:
(1)生物标准物质
(2)化学标准物质(化学对照物质)
3.按使用要求:
(1)国际化学对照品
(2)国家化学对照品
(3)工作化学对照品
4.按用途:
(1)鉴别用化学对照品
(2)纯度或杂质检查用对照品
(3)含量测定用对照品
(4)标准仪器用对照品
5.按药品使用对象:
(1)化学对照品
(2)中药化学对照品
(3)抗生素化学对照品
(4)麻醉药品化学对照品
对照品的管理:
(一)96990-18-0地肤子皂苷Ic规范记录:
建立标准物质台帐,定期更新台账,明确责任主体,以便做到可以追本溯源;
领用时,记录好领用时的名称、数量、时间、领用人、发放人等必要的信息;
标准物质应在有效期内使用,应定期检查标准物质的有效期,对于超限的标准物质要填写销毁登记表;建立标准物质档案。
(二)定期核查:
对于标准物质的种类、级别、介质、浓度含量、有效期、批号、环境条件、储存方法、帐物相符等等各参数,要定期核查。
定期检查实验室各检测项目所对应的标准物质是否相符。对新增检测项目所对应的标准物质应及时纳入规范管理。
存放环境条件和有效性。按标准物质证书上规定的环境条件,储存方法进行存放,及时检查是否过期。标准物质的储存环境应保证其特性完整不变。
标准物质所用介质和浓度是否满足检测方法对介质的要求。浓度是否合适,所用的介质对分析是否有影响。
(三)期间核查:
有效期短、使用频率高的标准物质,要经常性的核查;
不常使用的标准物质,在分析检测之前核查即可;
稳定性好,还未开封的标准物质,可延长核查周期;
核糖霉素规格:96T/48T试剂盒组装/原装
霉素规格:96T/48T试剂盒组装/原装
罗红霉素规格:96T/48T试剂盒组装/原装
阿奇霉素规格:96T/48T试剂盒组装/原装
西梭米星规格:96T/48T试剂盒组装/原装
大观霉素规格:96T/48T试剂盒组装/原装
奈替米星规格:96T/48T试剂盒组装/原装
克拉霉素规格:96T/48T试剂盒组装/原装
吉它霉素规格:96T/48T试剂盒组装/原装
交沙霉素规格:96T/48T试剂盒组装/原装
万古霉素规格:96T/48T试剂盒组装/原装
丙交沙霉素规格:96T/48T试剂盒组装/原装
醋麦迪霉素规格:96T/48T试剂盒组装/原装
依替米星规格:96T/48T试剂盒组装/原装
巴龙霉素规格:96T/48T试剂盒组装/原装
96990-18-0地肤子皂苷Ic小鼠D乳脱氢酶(DLDH)Elisa Kit(学发光免疫分析法) histone H3like protein 组蛋白H3样蛋白(C端多肽 10mg
小鼠C肽(CPeptide)Elisa Kit(学发光免疫分析法) histone H3like protein 组蛋白H3样蛋白(N端多肽 100mg
小鼠CXC趋因子受体3(CXCR3)Elisa Kit(学发光免疫分析法)histone H3like protein 组蛋白H3样蛋白多肽 50mg
小鼠CXC趋因子配体16(CXCL16)Elisa Kit(学发光免疫分析法)HisX6 聚组氨标签蛋白 10mg
小鼠cjun Elisa Kit(学发光免疫分析法) HIV gp120 艾滋病病毒(抗原 25ML
小鼠cfos Elisa Kit(学发光免疫分析法) HIV1(human immunodeficiency virus type 1 250ML
小鼠CD3分子(CD3)Elisa Kit(学发光免疫分析法) HIV1(human immunodeficiency virus type 1 25ML
小鼠CD30分子(CD30)Elisa Kit(学发光免疫分析法)HLADR(human leukoyte Antigen DR 250mg
标准品、对照品的区别:
一)对照品
96990-18-0地肤子皂苷Ic是指用于鉴别、检查、含量测定和校正检定仪器性能的标准物质,采用化学方法来测定,即是一般仪器的都叫做对照品。分为官方标准品和工作对照品,试剂公司买的不能作为正常的对照品使用,必须经过标定之后才可使用。
二)标准品
标准品,即标准物品,是中药标准对照品研究中心代理的作为一种衡量标准。
三)内标物
能完全溶解于样品中,且不与待测组分发生化学作用;峰位尽可能与待测组分的峰位靠近,但能与待测组分完全分开(分离度R≥1.5)的纯物质,就叫做内标物。
对照品:用于鉴别、检查、含量测定和校正检定仪器性能的标准物质。对照品系指用于生物制品理化等方面测定的特定物质,由生产单位采用与制品生产工艺相同的方法制备。对照品应尽可能与制品原液配方一致,稳定性较差的,可加不含对测定有干扰物质的适宜的稳定剂。对照品由国家药品检定机构审查认可,其标准应不低于制品的质量标准。
标准品:用于生物检定、抗生素或生物药品中含量或效价测定的标准物质,以效价单位(U)表示。品及生物参考品系指用于鉴别、检查含量或效价测定的标准物质,其制备与标定应符合“生物制品物质制备和标定规程”要求,并由药品监督管理部门指定的机构分发。企业工作标准品或参考品必须经品或参考品标化后方能使用。
风险提示:丁香通仅作为第三方平台,为商家信息发布提供平台空间。用户咨询产品时请注意保护个人信息及财产安全,合理判断,谨慎选购商品,商家和用户对交易行为负责。对于医疗器械类产品,请先查证核实企业经营资质和医疗器械产品注册证情况。
技术资料暂无技术资料 索取技术资料
96990-18-0地肤子皂苷Ic
询价










