相关产品推荐更多 >
万千商家帮你免费找货
0 人在求购买到急需产品
- 详细信息
- 技术资料
- 库存:
大量
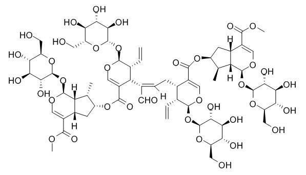
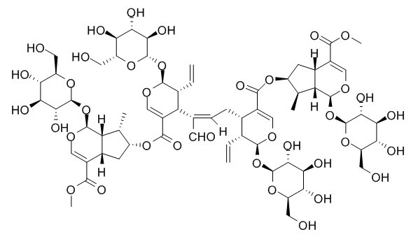
- 英文名:
Dipsanoside A
- CAS号:
889678-62-0
- 保质期:
2年
- 供应商:
上海泽叶生物科技有限公司
- 保存条件:
2-8℃
- 规格:
5mg
续断苷A889678-62-0
| 分析标准品,HPLC≥98% |
- 英文名:
- Dipsanoside A
- 别名:
- CAS号:
- 889678-62-0
- 分子式:
- C66H90O37
- 分子量:
- 1475.4
- 储存条件: 2-8℃
- 外观: Powder
- 敏感性: 易吸潮
- 标准样品是按一定步骤,由被授权单位制造,作为标准的产品。对照品是用于对照的产品,作为对照品,其材质、含量都不是重要的,是其他东西与它相比。标准物质是作为标准的物质,不一定是实物。
对照品和标准品一样是指国家药品标准中用于鉴别、检查、含量测定、杂质和有关物质检查等标准物质,它是国家药品标准不可分割的组成部分。国家药品标准物质是国家药品标准的物质基础,它是用来检查药品质量的一种特殊的专用量具;是测量药品质量的基准;也是作为校正测试仪器与方法的物质标准。在药品检验中,它是确定药品真伪优劣的对照,是控制药品质量必不可少的工具。
对照品或标准品混用,即将对照品或标准品用于不是其标定方法的含量测定,是药品检验中经常出现但未引起重视的一个问题[3]。尽管同一批对照品不同标定方法的含量有很好的相关性,但并不完全相同,有时差别会很大。头孢呋肟酯对照品,HPLC标定为96.9%,供含量测定用;UV为98.8%,供溶出度测定。虽然中国药典凡例明确规定卫生部所发对照品仅用于正文中所规定的分析方法。但由于:
(1)卫生部提供的对照品使用说明书不够详尽,大多无对照品质量要求及标定方法;
(2)对对照品或标准品的正确使用缺乏认识;
(3)日常科研中极难找到相应的对照品;
(4)中国药典正文中也常存在对照品混用的问题,如常将含量测定用的标准品或对照品用于溶出度检查,而含量测定方法与溶出度分析方法又不同,故极易引起混用。
风险提示:丁香通仅作为第三方平台,为商家信息发布提供平台空间。用户咨询产品时请注意保护个人信息及财产安全,合理判断,谨慎选购商品,商家和用户对交易行为负责。对于医疗器械类产品,请先查证核实企业经营资质和医疗器械产品注册证情况。
技术资料暂无技术资料 索取技术资料
续断苷A889678-62-0
¥3000










