相关产品推荐更多 >
万千商家帮你免费找货
0 人在求购买到急需产品
- 详细信息
- 文献和实验
- 技术资料
- 库存:
大量
- 英文名:
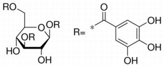
1,3,6-Tri-O-galloyl-β-D-glucose
- CAS号:
18483-17-5
- 保质期:
2年
- 供应商:
上海泽叶生物科技有限公司
- 保存条件:
2-8℃
- 规格:
5mg/10mg
| 分析标准品,HPLC≥90% |
- 英文名:
- 1,3,6-Tri-O-galloyl-β-D-glucose
- 别名:
- β-D-Glucopyranose 1,3,6-trigallate β-D-Glucopyranose-1,3,6-tris(3,4,5-trihydroxybenzoate 1,3,6-Tri-O-galloyl-β-D-glucopyranose NP 005114 NSC 69861
- CAS号:
- 18483-17-5
- 分子式:
- C27H24O18
- 分子量:
- 636.47
- MDL:
- MFCD06656305
- 沸点: 1103.6℃ at 760mmHg
- 储存条件: 2-8℃
- 闪点: 363℃
- 标准样品是按一定步骤,由被授权单位制造,作为标准的产品。对照品是用于对照的产品,作为对照品,其材质、含量都不是重要的,是其他东西与它相比。标准物质是作为标准的物质,不一定是实物。
对照品和标准品一样是指国家药品标准中用于鉴别、检查、含量测定、杂质和有关物质检查等标准物质,它是国家药品标准不可分割的组成部分。国家药品标准物质是国家药品标准的物质基础,它是用来检查药品质量的一种特殊的专用量具;是测量药品质量的基准;也是作为校正测试仪器与方法的物质标准。在药品检验中,它是确定药品真伪优劣的对照,是控制药品质量必不可少的工具。
对照品或标准品混用,即将对照品或标准品用于不是其标定方法的含量测定,是药品检验中经常出现但未引起重视的一个问题[3]。尽管同一批对照品不同标定方法的含量有很好的相关性,但并不完全相同,有时差别会很大。头孢呋肟酯对照品,HPLC标定为96.9%,供含量测定用;UV为98.8%,供溶出度测定。虽然中国药典凡例明确规定卫生部所发对照品仅用于正文中所规定的分析方法。但由于:
(1)卫生部提供的对照品使用说明书不够详尽,大多无对照品质量要求及标定方法;
(2)对对照品或标准品的正确使用缺乏认识;
(3)日常科研中极难找到相应的对照品;
(4)中国药典正文中也常存在对照品混用的问题,如常将含量测定用的标准品或对照品用于溶出度检查,而含量测定方法与溶出度分析方法又不同,故极易引起混用。
风险提示:丁香通仅作为第三方平台,为商家信息发布提供平台空间。用户咨询产品时请注意保护个人信息及财产安全,合理判断,谨慎选购商品,商家和用户对交易行为负责。对于医疗器械类产品,请先查证核实企业经营资质和医疗器械产品注册证情况。
文献和实验为具有 O-β -D-葡萄糖醛酸基( 1→ 3) -N-乙酰基 -β -D-氨基葡萄糖基( 1→ 4)为单位的双糖重复结构的一种粘多糖。除见之于动物的关节液和眼球玻璃体等的分泌液、脐带、真皮表层等的结缔组织和 Rous肉瘤等某种肿瘤外,它还包括 A型、 C型链球菌属( Strepto-coceus)在内的某些细菌的荚膜成分。细菌透明质酸不与蛋白质结合,但动物组织中的透明质酸或多或少含有一些蛋白质,似乎以蛋白多糖和肽多糖的形态存在。不过与蛋白质部分结合的方式还不清楚。链
很容易获得,在自然界中几乎是无处不在的。常见的富含鞣花酸和鞣花单宁的食物包括石榴、树莓、蓝莓、核桃等。 UA 也已被证明在衰老和疾病的临床前模型中具有诱导损伤线粒体自噬功能。另外,从临床转化的角度来看,久坐的老年人口服 UA 4 周后,能显著增强骨骼肌中线粒体基因的表达,从而达到改善细胞健康的目标。 2022 年 5 月 17 日,来自瑞士的一个科研团队在 Cell Reports Medicine 发表了题为 Urolithin A improves muscle strength
颜宁团队 2021 首秀+ 2020 年度文章赏析,看大牛如何玩转结构生物学!
的偏好,并提供对 MBOAT 家族中酶催化机制的见解。 图片来自:Nature 3. 揭示人源二酰甘油酰基转移酶 (DGAT1) 三维结构及催化机制同期,2020 年 5 月 13 日,颜宁及周鸣团队在 Nature 在线发表题为 Structure and mechanism of human diacylglycerol O-acyltransferase 1 的研究论文,该工作利用单颗粒冷冻电镜技术, 首次解析了分辨率为 3.1Å 人源 DGAT1 的同源二聚体结构,并结合酶活性实验,确定
技术资料暂无技术资料 索取技术资料










