相关产品推荐更多 >
万千商家帮你免费找货
0 人在求购买到急需产品
- 详细信息
- 文献和实验
- 技术资料
- 库存:
100
- 供应商:
上海羽朵
- 英文名:
QS11
- 规格:
1g
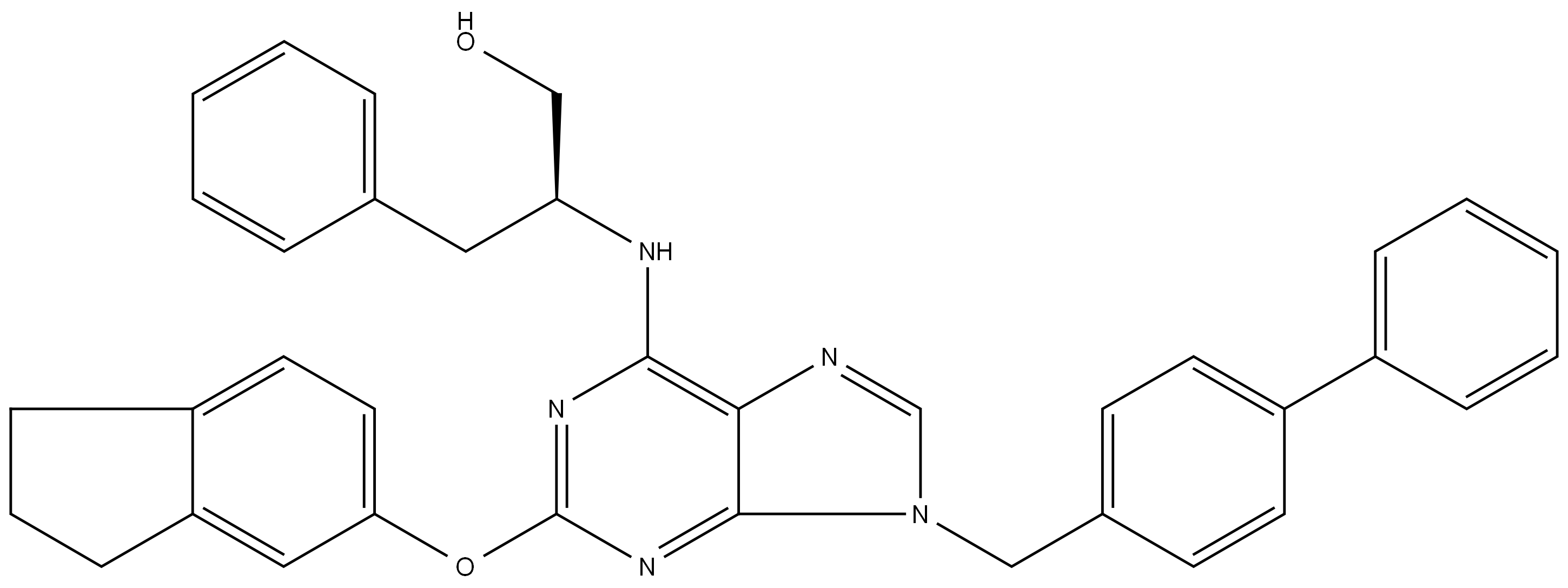
| 中文名称: | QS11 |
| 中文同义词: | (BETAS)-BETA-[[9-([1,1'-联-苯]-4-甲基)-2-[(2,3-二氢-1H-茚-5-基)氧基]-9H-嘌呤-6-基]氨基]苯丙醇;CS-346 |
| 英文名称: | QS11 |
| 英文同义词: | QS11;(2S)-2-[2-(Indan-5-yloxy)-9-(1,1'-biphenyl-4-yl)methyl)-9H-purin-6-ylamino]-3-phenyl-propan-1-ol;(betaS)-beta-[[9-([1,1'-Biphenyl]-4-ylmethyl)-2-[(2,3-dihydro-1H-inden-5-yl)oxy]-9H-purin-6-yl]amino]benzenepropanol;QS 11 (betaS)-beta-[[9-([1,1'-Biphenyl]-4-ylmethyl)-2-[(2,3-dihydro-1H-inden-5-yl)oxy]-9H-purin-6-yl]amino]benzenepropanol;(2S)-2-[2-(Indan-5-yloxy)-9-(1,1′-biphenyl-4-yl)methyl)-9H-purin-6-ylamino]-3-phenyl-propan-1-ol hydrate;QS11 hydrate;(S)-2-((9-([1,1'-Biphenyl]-4-ylmethyl)-2-((2,3-dihydro-1H-inden-5-yl)oxy)-9H-purin-6-yl)amino)-3-phenylpropan-1-ol;Wnt Synergist, QS11 - CAS 944328-88-5 - Calbiochem |
| CAS号: | 944328-88-5 |
| 分子式: | C36H33N5O2 |
| 分子量: | 567.7 |
| EINECS号: | |
| 相关类别: | 原料药标样 |
| Mol文件: | 944328-88-5.mol |
![]() |
|
| RX-518 | 1660963-42-7 |
| S63845 | 1799633-27-4 |
| N-[[(2S)-1-[5-(4-FLUOROPHENYL)-2-METHYL-1,3-THIAZOLE-4-CARBONYL]PIPERIDIN-2-YL]METHYL]-1-BENZOFURAN-4-CARBOXAMIDE | 380899-24-1 |
| SC 66 | 871361-88-5 |
| TFMO 2 | 1314891-22-9 |
| 洛普替尼 | 1802220-02-5 |
| Vadadustat | 1000025-07-9 |
| NBI-98854 | 1025504-45-3 |
| VH298 | 2097381-85-4 |
| WZB-117 | 1223397-11-2 |
| PVM/MA共聚物 | 1644545-52-7 |
风险提示:丁香通仅作为第三方平台,为商家信息发布提供平台空间。用户咨询产品时请注意保护个人信息及财产安全,合理判断,谨慎选购商品,商家和用户对交易行为负责。对于医疗器械类产品,请先查证核实企业经营资质和医疗器械产品注册证情况。
文献和实验萧湘 最近写论文,是关于GRPs和BAPTA的。哪位高人有关于BAPTA作用机制或与GRPs关系的图片,请赐教!急需!谢谢!(可以邮件形式发到我的邮箱:jiang-scorpio@163.com) kaige88 BAPTA是由Tsien博士发明的一种钙选择性螯合剂。(logKCa=6.97,logKMg=1.77)它基本的螯合单位和EDTA类似,只是两个脂肪氮被芳香氮所替代。因此,BAPTA在生理pH下不会被质子
最大波长,海萤为 460 毫微米,发光细菌为 490 毫微米,萤虫为 544-582 毫微米,萤虫的发光颜色有赖于荧光素酶。生物发光的一般特点是冷光(萤的发光效率为 88 %,光度 10 -5 烛),而不伴有热线辐射或产热。发光性物质多为细胞内的发光颗粒;夜光虫和萤虫是发光颗粒在细胞内发射的,称此为细胞内发光;而海萤是将分泌物放出体外后再发光,称为细胞外发光。发光通常是发光细胞或发光腺的细胞对刺激的反应,萤虫的发光器、海仙人掌的等受刺激发光时,伴有电的变化,可描记出电发光曲线
ELISPOT (Enzyme-linked ImmunoSPOT)
Polyclonal IL-2 88-7824 JES6-1A12 JES6-5H4 IL-4 88-7844 11B11 BVD6-24G2 IL-5 88-7825 TRFK5 TRFK4
技术资料暂无技术资料 索取技术资料








