相关产品推荐更多 >
万千商家帮你免费找货
0 人在求购买到急需产品
- 详细信息
- 文献和实验
- 技术资料
- 库存:
100
- 供应商:
上海羽朵
- 英文名:
CL-387785 (EKI-785)
- 规格:
1g
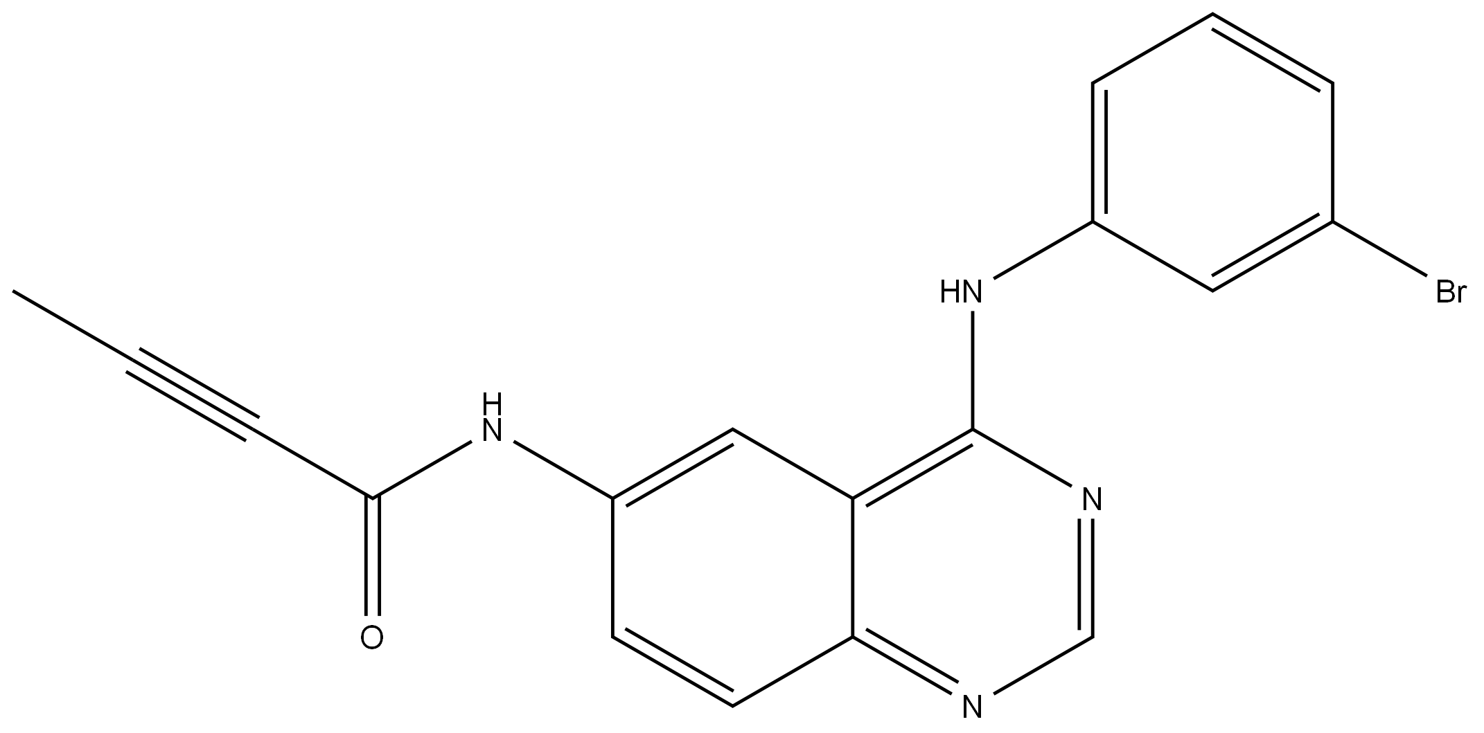
| 中文名称: | CL-387785 |
| 中文同义词: | CS-1630;N-[4-[(3-溴苯基)氨基]-6-喹唑啉基]-2-丁炔酰胺 |
| 英文名称: | 2-ButynaMide, N-[4-[(3-broMophenyl)aMino]-6-quinazolinyl]- |
| 英文同义词: | CL-38875;EKB 785;WAY-EKI 785;EKI-785 CL-38875;CL-387;N-[4-(3-bromoanilino)quinazolin-6-yl]but-2-ynamide;2-ButynaMide, N-[4-[(3-broMophenyl)aMino]-6-quinazolinyl]-;CL-387785 (EKI-785) |
| CAS号: | 194423-06-8 |
| 分子式: | C18H13BrN4O |
| 分子量: | 381.22602 |
| EINECS号: | |
| 相关类别: | 抑制剂;小分子抑制剂;小分子抑制剂,天然产物;Inhibitors |
| Mol文件: | 194423-06-8.mol |
![]() |
|
| N/A | 956590-23-1 |
| LCZ696 | 936623-90-4 |
| N/A | 180977-34-8 |
| E3330 | 136164-66-4 |
| ERASTIN | 571203-78-6 |
| N/A | 1423715-09-6 |
| N/A | 1234708-04-3 |
| 辛波莫德 | 1230487-00-9 |
| LY-2584702 | 1082949-67-4 |
| LY 2090314 | 603288-22-8 |
| REMODELIN | 1622921-15-6 |
风险提示:丁香通仅作为第三方平台,为商家信息发布提供平台空间。用户咨询产品时请注意保护个人信息及财产安全,合理判断,谨慎选购商品,商家和用户对交易行为负责。对于医疗器械类产品,请先查证核实企业经营资质和医疗器械产品注册证情况。
文献和实验buffer用 125μl IPG buffer,浓度为 2%则用 500μl。 D.平衡液(SDS equlibration buffer)(50mM Tris-cl pH8.8, 6M Urea, 30% glycerol, 2% SDS, bromophenol blue, 200ml) Final concentrationAmount1.5M Tris-cl,pH8.8(see solution F)50mM50mM 6.7mlUrea(Fw 60.06)6M
up to 150ml 4. Anode (Lower) buffer 阳极缓冲液 (0.2M Tris/cl, PH8.9) Tris 12.11g Water make up to 500ml PH to 8.9 with HCL 5. Cathode (Upper) buffer 阴极缓冲液 (0.1M Tris/cl, 0.1M Tricine, 0.1% SDS, PH 8.25) Tris 6.06g Tricine 8.96g SDS 0.5g
日本东日(TOHNICHI) 扭力扳手 CSP50N3×12D
日本东日(TOHNICHI) 扭力扳手 SP19N×14 日本东日(TOHNICHI) 扭力扳手 SP38N×14 日本东日(TOHNICHI) 扭力扳手 RSP38N×14 日本东日(TOHNICHI) 扭力扳手 SP67N×14 日本东日(TOHNICHI) 扭力扳手 RSP67N×14 日本东日(TOHNICHI) 扭力扳手 60CL 日本东日(TOHNICHI) 扭力扳手 120CL 日本东日
技术资料暂无技术资料 索取技术资料







