相关产品推荐更多 >
万千商家帮你免费找货
0 人在求购买到急需产品
- 详细信息
- 文献和实验
- 技术资料
- 库存:
100
- 供应商:
上海羽朵
- 英文名:
AZD9496
- 规格:
1g
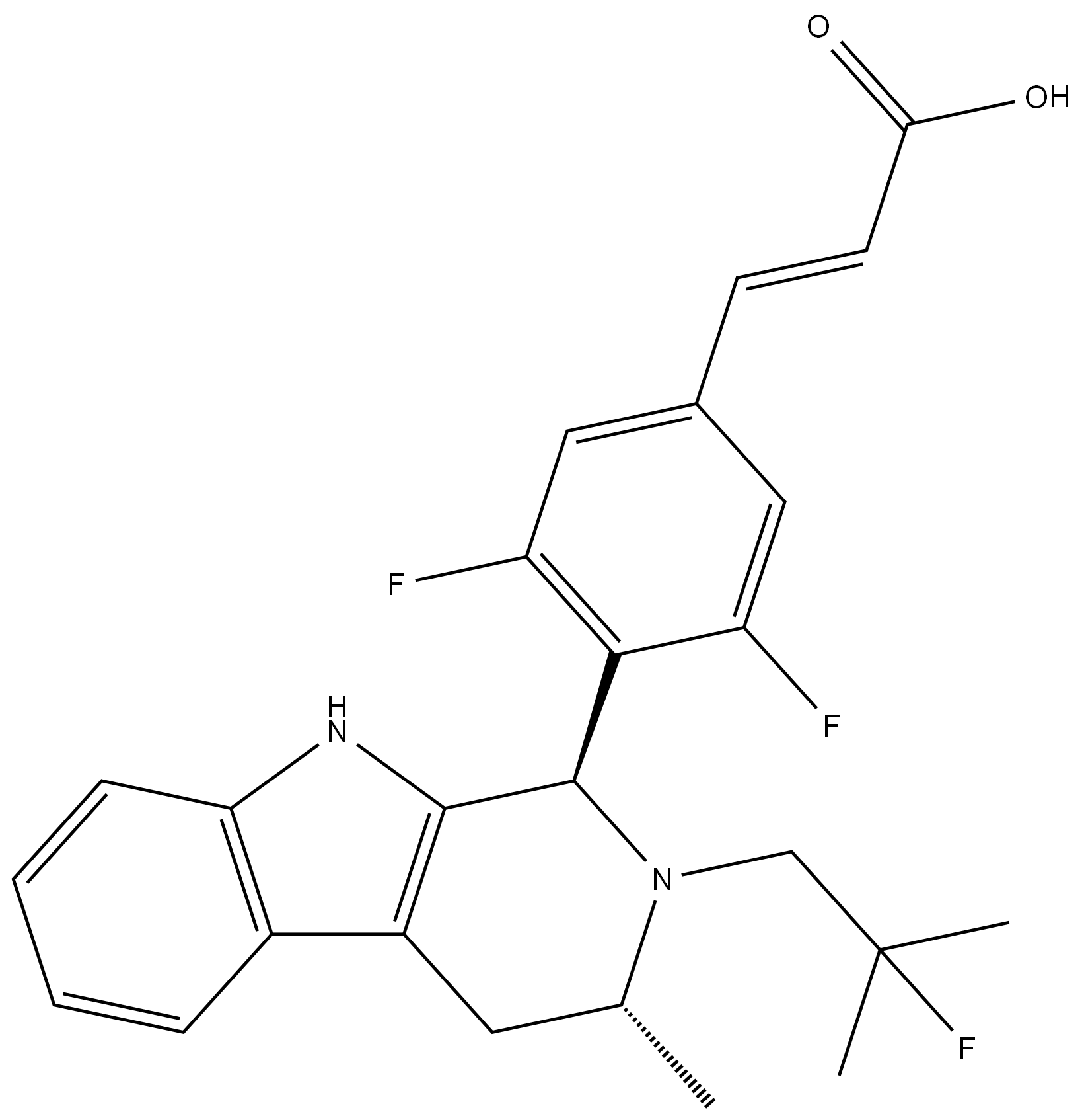
| 中文名称: | (E)-3-[3,5-二氟-4-[(1R,3R)-2-(2-氟-2-甲基丙基)-3-甲基-2,3,4,9-四氢-1H-吡啶并[3,4-B]吲哚-1-基]苯基]丙烯酸 |
| 中文同义词: | (E)-3-[3,5-二氟-4-[(1R,3R)-2-(2-氟-2-甲基丙基)-3-甲基-2,3,4,9-四氢-1H-吡啶并[3,4-B]吲哚-1-基]苯基]丙烯酸;AZD9496, 一种有效的选择性雌激素受体 (ERΑ)拮抗剂;CS-2107 |
| 英文名称: | AZD9496 |
| 英文同义词: | AZD9496;(E)-3-[3,5-Difluoro-4-[(1R,3R)-2-(2-fluoro-2-methylpropyl)-3-methyl-2,3,4,9-tetrahydro-1H-pyrido[3,4-b]indol-1-yl]phenyl]acrylic acid;3-[3,5-Difluoro-4-[(1r,3r)-2-(2-fluoro-2-methylpropyl)-2,3,4,9-tetrahydro-3-methyl-1h-pyrido[3,4-b]indol-1-yl]phenyl]-2-propenoic acid;AZD9496, 98%, a potent and selective estrogen receptor (ERα) antagonist |
| CAS号: | 1639042-08-2 |
| 分子式: | C25H25F3N2O2 |
| 分子量: | 442.4734096 |
| EINECS号: | |
| 相关类别: | 抑制剂;- |
| Mol文件: | 1639042-08-2.mol |
![]() |
|
| (2R)-2,3-二氢-2-甲基-6-硝基-2-[[4-[4-[4-(三氟甲氧基)苯氧基]-1-哌定基]苯氧基]甲基]咪唑并[2,1-B]恶唑 | 681492-22-8 |
| NULL | 1346547-00-9 |
| LYS05 | 1391426-22-4 |
| NULL | 1445605-23-1 |
| 米维布塞 | 1445993-26-9 |
| SELONSERTIB | 1448428-04-3 |
| CS-2361 | 1554458-53-5 |
| CS-2374 | 1621175-65-2 |
| 1628076-74-3 | |
| NULL | 1801787-56-3 |
| 依来曲普坦 | 181183-52-8 |
风险提示:丁香通仅作为第三方平台,为商家信息发布提供平台空间。用户咨询产品时请注意保护个人信息及财产安全,合理判断,谨慎选购商品,商家和用户对交易行为负责。对于医疗器械类产品,请先查证核实企业经营资质和医疗器械产品注册证情况。
文献和实验【共享】08新书:Protein Engineering (Nucleic Acids and Molecular Biology).pdf
08新书:Protein Engineering (Nucleic Acids and Molecular Biology).pdf by Caroline Koehrer, Uttam L. RajBhandary Springer | 2008-10-21 | ISBN: 3540709371 | 347 pages | PDF | 7,5 MB Site-specific mutagenesis of DNA, developed some thirty years ago
PCR Protocol(per Adam 08/12/04) 【University of Chicago】
The Preuss Lab,The Division of Biological Sciences,The University of Chicago PCR.html">http://preuss.bsd.uchicago.edu/protocols/PCR.html 上一篇:TAIL PCR Protocol 下一篇:RT-PCR Protocol
Shorty DNA Prep (per Adam 08/12/04)【University of Chicago】
There are several ways to prepare DNA
技术资料暂无技术资料 索取技术资料






![(E)-3-[3,5-二氟-4-[(1R,3R)-2-(2-氟-2-甲基丙基)-3-甲基-2,3,4,9-四氢-1H-吡啶并[3,4-B]吲哚-1-基]苯基]丙烯酸](https://img1.dxycdn.com/p/s14/2024/0422/872/4205627280046632871.gif)

