相关产品推荐更多 >
万千商家帮你免费找货
0 人在求购买到急需产品
- 详细信息
- 文献和实验
- 技术资料
- 库存:
12
- 英文名:
(+)2-Aminobutanol
- CAS号:
5856-63-3
- 供应商:
上海晅科生物科技有限公司
- 保存条件:
常温遮光
- 规格:
100mg/支
(+)2-氨基丁醇5856-63-3售前了解:
【类别】化学对照品
【货号】XK-BZP-1003
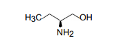
【结构式】

【分子式】C4H11NO
【分子量】89.14
【CAS 号】5856-63-3
【用途】本品为(+)2-氨基丁醇5856-63-3。供中国药典 2010 年版二部盐酸乙 胺丁醇品种(+)2-氨基丁醇项下 TLC 法检查用。
【包装】棕色安瓿
【规格】100mg/支
【贮藏】置常温遮光保存。
【有效期】详询
(+)2-氨基丁醇5856-63-3订购须知:
1.请按本品说明书规定使用,若作他用,用户须自行证明适用性;
2.因用户使用或储存不当所引起的损害或投诉,用户自行承担相关责任;
3.用户收到本品后应立即核对品种、数量、包装等,若出现质量、数 量等不符,相关赔偿只限于标准物质本身,不涉及其他任何损失。
【类别】化学对照品
【货号】XK-BZP-1003
【结构式】

【分子式】C4H11NO
【分子量】89.14
【CAS 号】5856-63-3
【用途】本品为(+)2-氨基丁醇5856-63-3。供中国药典 2010 年版二部盐酸乙 胺丁醇品种(+)2-氨基丁醇项下 TLC 法检查用。
【包装】棕色安瓿
【规格】100mg/支
【贮藏】置常温遮光保存。
【有效期】详询
(+)2-氨基丁醇5856-63-3订购须知:
1.请按本品说明书规定使用,若作他用,用户须自行证明适用性;
2.因用户使用或储存不当所引起的损害或投诉,用户自行承担相关责任;
3.用户收到本品后应立即核对品种、数量、包装等,若出现质量、数 量等不符,相关赔偿只限于标准物质本身,不涉及其他任何损失。
风险提示:丁香通仅作为第三方平台,为商家信息发布提供平台空间。用户咨询产品时请注意保护个人信息及财产安全,合理判断,谨慎选购商品,商家和用户对交易行为负责。对于医疗器械类产品,请先查证核实企业经营资质和医疗器械产品注册证情况。
文献和实验相关实验
TRAF‐Mediated TNFR‐Family Signaling
, F., Warnier, M., Close, P., Chapelle, J.P., Muraille, E., Brown, K., Siebenlist, U., Piette, J., Dejardin, E., and Chariot, A. 2007. Lipopolysaccharide‐mediated interferon regulatory factor activation involves TBK1‐IKKepsilon‐dependent Lys(63)‐linked
技术资料暂无技术资料 索取技术资料
(+)2-氨基丁醇5856-63-3
¥500 - 3600










