相关产品推荐更多 >
万千商家帮你免费找货
0 人在求购买到急需产品
- 详细信息
- 询价记录
- 文献和实验
- 技术资料
- 供应商:
山东绿都
- 英文名:
Anti-Zearalenone monoclonal antibody
- 保质期:
5年
- 保存条件:
-20°
- 规格:
1mg
抗玉米赤霉烯酮单克隆抗体说明书
【中文名称】抗玉米赤霉烯酮单克隆抗体
【英文名称】Anti-Zearalenone monoclonal antibody
【货 号】LD-DS-1005-2
【来 源】Balb/c 小鼠
【亚 型】IgG
【物理性状】液体,避免反复冻融
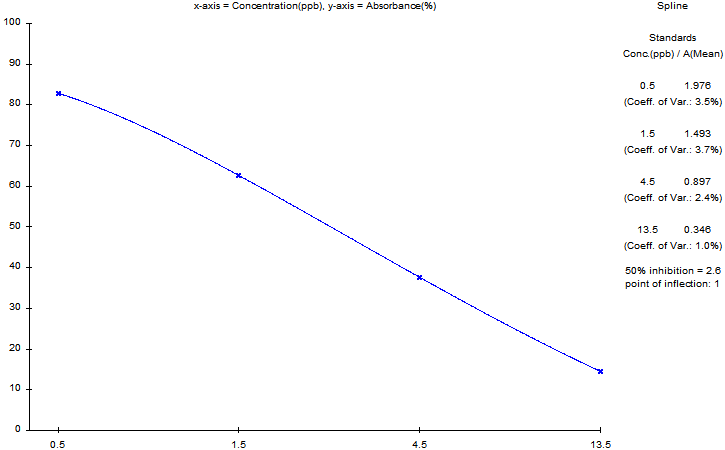
【ELISA 效价】 0.005M PBS 体系下1:400000 以上
【IC50】2 ppb
【胶体金灵敏度】5ppb,完全消线
【蛋白浓度】5mg/ml
【缓冲液】0.01M PBS PH7.4
【储存条件】-20℃以下
【有效期】3 年,避免反复冻融
【有效期】5 年,-70℃以下保存
【相关产品】抗曲霉毒素B1抗体;抗曲霉毒素M1抗体;抗通用曲霉毒素抗体;抗赭曲霉毒素抗体;抗玉米赤霉烯酮抗体;抗伏马毒素抗体;抗T-2毒素抗体;抗呕吐毒素抗体;抗桔霉素抗体;抗杂色曲霉素抗体;抗交联孢酚抗体;抗蓖麻毒素抗体;抗微囊藻毒素LR抗体;抗白喉毒素抗体;抗霍乱毒素抗体;抗肉毒杆菌毒素A/B/D/E抗体;抗大肠杆菌肠毒素抗体
风险提示:丁香通仅作为第三方平台,为商家信息发布提供平台空间。用户咨询产品时请注意保护个人信息及财产安全,合理判断,谨慎选购商品,商家和用户对交易行为负责。对于医疗器械类产品,请先查证核实企业经营资质和医疗器械产品注册证情况。
- 作者
- 内容
- 询问日期
文献和实验密切相关。七十年代,研究人员用凝胶梯度电泳等 生物 化学方法发现了几十种血小板表面膜蛋白,其中一组被称为糖蛋白I(glycoprotein I, GPⅠ)复合物的膜蛋白与血小板“粘附”功能有关。这组复合物又可分为GPⅠb-Ⅸ复合物和GPⅠa-Ⅱa 复合物两类。1979年,笔者赴法进修血液学,有机会通过杂交瘤技术,鉴定出国际上第一个抗血小板膜糖蛋白I的单克隆抗体(AN51)。这株单克隆抗体(以下简称“单抗” ),与正常血小板特异性结合后,血小板就不能通过vW因子“粘附”到破损
法。Charm Rosa 霉菌毒素定量检测系统能够在5分钟内快速定量测定粮食及其制品中的多种霉菌毒素,包括黄曲霉毒素、呕吐毒素、玉米赤霉烯酮、赭曲霉毒素 A、伏马菌素和T2/HT2 毒素。Charm Rosa 霉菌毒素检测系统组成Charm Rosa(Rapid One Step Assay)霉菌毒素检测系统由检测条、孵育器和读数仪三部分组成。其中检测条采用3线设计,包括 2 条检测线(T 线)和 1 条质控线(C 线),这样便于准确定量,并增加动态检测范围,因此检测范围较其它胶体金检测条更宽;另外,检测条
网络 抗幽门螺杆菌单克隆抗体的制备和临床应用 Marshall等于1983年首次从胃粘膜组织中分离到幽门螺杆菌(Helicobacter pylori,Hp),并报道和B型胃炎及消化性溃疡密切相关。目前鉴定和诊断Hp感染有许多方法,但受种种因素制约,但结果受到一定影响。目前制备抗Hp单克隆抗体(Hp-mAb)的资料不多,Hp-mAb免疫过氧
技术资料需要更多技术资料 索取更多技术资料
资料下载:
效价测定.xls 附 (下载 0 次)
ZEN 20181215质控报告 - 副本.doc 附 (下载 0 次)
抗体筛选图.png 附 (下载 0 次)
ZEN腹水效价.jpg 附 (下载 1 次)
冻干产品.jpg 附 (下载 0 次)
请 [登录] 后再下载!










