相关产品推荐更多 >
万千商家帮你免费找货
0 人在求购买到急需产品
- 详细信息
- 技术资料
- 保存条件:
常温避光保存
- 保质期:
2年
- 库存:
大量现货
- 供应商:
上海钦诚生物
- CAS号:
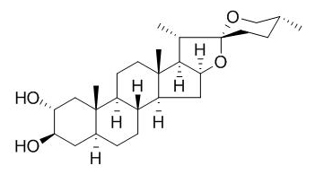
511-96-6
- 规格:
5mg
中文别称:吉托皂苷元;芰脱皂甙元;吉托皂苷元(标准品);GITOGENIN; (2A,3B,5A,25R)-SPIROSTAN-2,3-DIOL;芰脱皂苷元
英文别称:5α-Spirostan-2α,3β-diol, (25R)- (8CI); Gitogenin (6CI,7CI); (2α,3β,5α,25R)-Spirostan-2,3-diol; (25R)-5α-Spirostan-2α,3β-diol; 2α-
Hydroxytigogenin; 5α,25D-Spirostan-2α,3β-diol; Digin; NSC 147752
分 子 式:C27 H44 O4
分 子 量:432.64
C A S号:511-96-6
纯 度:HPLC≥98%
熔点:266 - 268°C
沸点:534.2±35.0°C
密度:1.16±0.1克/立方厘米|条件:温度:20°C
pKa:14.62±0.70 |条件:酸性最强温度:25°C
储存条件:2-8°C,干燥、避光、密封
规格:20mg 50mg 100mg 500mg 1g 2g等应客户需求包装
用途: 用于含量测定、鉴别、药理实验、活性筛选等.
英文别称:5α-Spirostan-2α,3β-diol, (25R)- (8CI); Gitogenin (6CI,7CI); (2α,3β,5α,25R)-Spirostan-2,3-diol; (25R)-5α-Spirostan-2α,3β-diol; 2α-
Hydroxytigogenin; 5α,25D-Spirostan-2α,3β-diol; Digin; NSC 147752
分 子 式:C27 H44 O4
分 子 量:432.64
C A S号:511-96-6
纯 度:HPLC≥98%
熔点:266 - 268°C
沸点:534.2±35.0°C
密度:1.16±0.1克/立方厘米|条件:温度:20°C
pKa:14.62±0.70 |条件:酸性最强温度:25°C
储存条件:2-8°C,干燥、避光、密封
规格:20mg 50mg 100mg 500mg 1g 2g等应客户需求包装
用途: 用于含量测定、鉴别、药理实验、活性筛选等.
风险提示:丁香通仅作为第三方平台,为商家信息发布提供平台空间。用户咨询产品时请注意保护个人信息及财产安全,合理判断,谨慎选购商品,商家和用户对交易行为负责。对于医疗器械类产品,请先查证核实企业经营资质和医疗器械产品注册证情况。
技术资料暂无技术资料 索取技术资料
Gitogenin 吉托皂苷元 CAS:511-96-6
¥1200










