相关产品推荐更多 >
万千商家帮你免费找货
0 人在求购买到急需产品
- 详细信息
- 文献和实验
- 技术资料
- 保存条件:
常温避光保存
- 保质期:
2年
- 库存:
大量现货
- 供应商:
上海钦诚生物
- CAS号:
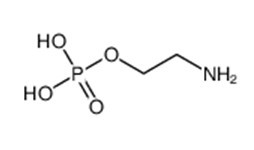
1071-23-4
- 规格:
20mg
| 分子式 = 分子量 | C2H8NO4P = 41.06 |
| 产品纯度 | >=98% |
| 物理属性 | Powder |
| 化合物类型 | Miscellaneous |
| 植物来源 | From Proteus mirabilis |
|
|
1. 在您收到产品后请检查产品。如无问题,请将产品存入冰箱并且样品瓶保持密封,产品可以存放长达24个月(2-8摄氏度)。
2. 只要有可能,产品溶解后,您应该在同一天应用于您的实验。 但是,如果您需要提前做预实验,或者需要全部溶解,我们建议您将溶液以等分试样的形式存放在-20℃的密封小瓶中。 通常,这些可用于长达两周。 使用前,打开样品瓶前,我们建议您将产品平衡至室温至少1小时。
风险提示:丁香通仅作为第三方平台,为商家信息发布提供平台空间。用户咨询产品时请注意保护个人信息及财产安全,合理判断,谨慎选购商品,商家和用户对交易行为负责。对于医疗器械类产品,请先查证核实企业经营资质和医疗器械产品注册证情况。
文献和实验三句话读懂一篇 CNS,首次揭示从鱼进化到人的演变机制,运动能帮助人体对抗慢性炎症...
genome elucidates the conquest of land by vertebrates。该工作对 澳洲肺鱼进行全基因组(其基因组是人基因组的 14 倍)测序,其巨大体积归因于富含重复序列及活跃的转座子元件。 研究人员通过贝叶斯系统发育分析确认了肺鱼与陆地两栖爬行类脊椎动物的亲缘关系,对深入理解脊椎动物进化过程的主要转变具有重要意义。图 4:来源 Nature 5. Nature: 参与 III 型 CRISPR-Cas 系统工作的核酸酶 原核生物有 3 种类型的 CRISPR
editing in zebrafi shusing a CRISPR-Cas system. Nat Biotechnol31(3):227-229. doi: 10.1038/nbt.2501 23. Wang H, Yang H, Shivalila CS, Dawlaty MM,Cheng AW, Zhang F, Jaenisch R (2013) Onestepgeneration of mice carrying mutations in multiple genes
", P.O. number 030B31793, 1 lb bottle, from Halocarbon Products Corporation, 130 Dittman Ct., N. Augusta, S.C. 29841. 9/93: the bottle now says CAS #9002-83-9. The Hlocarbon Products Corporation address is P.O. box 661, River Edge, NJ 07661. Phone
技术资料暂无技术资料 索取技术资料









