相关产品推荐更多 >
万千商家帮你免费找货
0 人在求购买到急需产品
- 详细信息
- 文献和实验
- 技术资料
- 保存条件:
常温避光保存
- 保质期:
2年
- 库存:
大量现货
- 供应商:
上海钦诚生物
- CAS号:
14216-03-6
- 规格:
20mg
中文别名:常春藤甙C
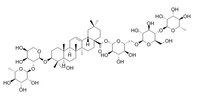
英文名称:Hederacoside C
英文别名: Glucopyranose, O-6-deoxy-α-L-mannopyranosyl-(1→4)-O-β-D-glucopyranosyl-(1→6)-, 1-ester with 3β-[[2-O-(6-deoxy-α-L?mannopyranosyl)-α-L-arabinopyranosyl]oxy]-23-hydroxyolean-12-en-28-oic acid, β-D- (8CI); 23-Hydroxy-3β-[(O-α-L-rhamnopyranosyl-(1→2)-α-L?arabinopyranosyl)oxy]olean-12-en-28-oic acid O-α-L-rhamnopyranosyl-(1→4)-O-β-D-glucopyranosyl-(1→6)-β-D-glucopyranosyl ester; 3-O-α-L?Rhamnopyranosyl-(1→2)-α-L-arabinopyranosylhederagenin 28-O-α-L-rhamnopyranosyl-(1→4)-β-D-glucopyranosyl-(1→6)-β-D-glucopyranoside;Akebia saponin PK; Akeboside Sth; Clematangoside A; Glycoside L-H2; Hederacoside C; Hederagenin 3-O-α-L-rhamnopyranosyl(1→2)-α-L?arabinopyranosyl-28-O-α-L-rhamnopyranosyl(1→4)-β-D-glucopyranosyl(1→6)-β-D-glucopyranoside; Hederasaponin C; Hederoside H1;Kalopanaxsaponin B; Kizuta saponin K12
; Koronaroside B; Pericarsaponin Pk; Pulchinenoside B5
; Pulsatilla saponin F; Saponin K12; Saponin PK;Tauroside H2; Tauroside St-H2
分子式:C59H96O26
分子量:1221.38
CAS号:14216-03-6
纯度: HPLC≥98%
外观:白色结晶粉末
Melting Point (Experimental)Value熔点: 225-228 °C
Density (Predicted)Value密度: 1.48±0.1 g/cm3 | Condition: Temp: 20 °C
pKa (Predicted)Value值: 12.50±0.70 | Condition: Most Acidic Temp: 25 °C
溶解性:可溶于甲醇、乙醇等溶剂
储存条件: 2-8°C,干燥、避光、密封
规格: 20mg 50mg 100mg 500mg 1g 2g等应客户需求包装.
提取来源:五加科常春藤属植物常春藤HederanepalensisK.Kochvar.sinensis(Tobl.)Rehd.,以全株入药。
药理药效:具有一定的抗肿瘤活性。
用途: 用于含量测定、鉴别、药理实验、活性筛选等.
风险提示:丁香通仅作为第三方平台,为商家信息发布提供平台空间。用户咨询产品时请注意保护个人信息及财产安全,合理判断,谨慎选购商品,商家和用户对交易行为负责。对于医疗器械类产品,请先查证核实企业经营资质和医疗器械产品注册证情况。
文献和实验有心无力。2020 年,Broad 研究所的刘如谦(David Liu)团队开发了一款能够直接修改双链 DNA 上的碱基,实现从 C 碱基到 T 碱基的转换、被命名为DdCBE 的工具,首次掀开了线粒体 DNA 编辑的冰山一角,让人们看到治疗线粒体疾病的曙光 [1]。 图 1 来源:William I. Suh, Institute for Basic Science 一、线粒体 DNA 编辑领域的新革命 2022 年 4 月 25 日,韩国基础科学研究所(IBS)的 Jin-Soo Kim 实验
Immunity:北大蒋争凡课题组发现 STING 后高尔基体囊泡转运的重要性及机制
高尔基体(trans-Golgi network, TGN)上的含量最高。细胞中的 PI4P 的含量主要受其合成酶 PI4Ks (PI4KA, PI4KB, PI4K2A 和 PI4K2B) 和降解酶 SAC1 的调控。PI4P 不仅是合成 PIP2 和 PIP3 的前体,也是重要的信号分子,在膜泡运输、脂质转运和细胞器形态维持等方面发挥关键作用。 2021 年蒋争凡实验室利用 STING 自激活突变体诱导细胞死亡的特性,在 HT080 细胞中进行了基于 CRISPR-Cas9 介导的全基因组筛选
溴代异丁烷 1-Bromo-2-methylpropane CAS#:78-77-3 分子式:C4H9Br 结构式: 分子量:137.03 性状:无色透明液体 熔点:-117.4℃ 沸点:91℃ 相对密度:1.26 闪点:21℃ 水份:≤0.1% 含量:≥99% PH值:6-8
技术资料暂无技术资料 索取技术资料










