相关产品推荐更多 >
万千商家帮你免费找货
0 人在求购买到急需产品
- 详细信息
- 技术资料
- 保存条件:
常温避光保存
- 保质期:
2年
- 库存:
大量现货
- 供应商:
上海钦诚生物
- CAS号:
77-60-1
- 规格:
20mg
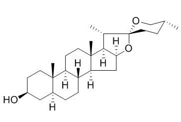
中文名称:剑麻皂苷元
中文别名:剑麻皂甙元,剑麻皂素,惕告吉宁,替告吉宁,替柯吉宁
英文名称:Tigogenin
英文别名: 5α-Spirostan-3β-ol (7CI); 5α-Spirostan-3β-ol, (25R)- (8CI); Tigogenin (6CI); (3β,5α,25R)-Spirostan-3-ol; (25R)-5α-Spirostan-3β-ol;NSC 93754; Ticogenin
分子式:C27H44O3
分子量:416.64
CAS号:77-60-1
纯度: HPLC≥98%
外观:白色结晶粉末
溶解性:微溶于水,可溶于乙醇等有机溶剂
熔点: 205.5 °C
沸点: 516.6±20.0 °C | Condition
密度: 1.11±0.1 g/cm3 | Condition: Temp: 20 °C
值: 15.14±0.70 | Condition: Most Acidic Temp: 25 °C
储存条件: 2-8°C,干燥、避光、密封
规格: 20mg 50mg 100mg 500mg 1g 2g等应客户需求包装.
提取来源:龙舌兰属植物剑麻 Agaue sisalana Perrine 为原料提取。
药理药效:抗炎、镇痛、增强免疫、降低血糖
用途: 用于含量测定、鉴别、药理实验、活性筛选等.
中文名称:剑麻皂苷元
中文别名:剑麻皂甙元,剑麻皂素,惕告吉宁,替告吉宁,替柯吉宁
英文名称:Tigogenin
英文别名: 5α-Spirostan-3β-ol (7CI); 5α-Spirostan-3β-ol, (25R)- (8CI); Tigogenin (6CI); (3β,5α,25R)-Spirostan-3-ol; (25R)-5α-Spirostan-3β-ol;NSC 93754; Ticogenin
分子式:C27H44O3
分子量:416.64
CAS号:77-60-1
纯度: HPLC≥98%
外观:白色结晶粉末
溶解性:微溶于水,可溶于乙醇等有机溶剂
熔点: 205.5 °C
沸点: 516.6±20.0 °C | Condition
密度: 1.11±0.1 g/cm3 | Condition: Temp: 20 °C
值: 15.14±0.70 | Condition: Most Acidic Temp: 25 °C
储存条件: 2-8°C,干燥、避光、密封
规格: 20mg 50mg 100mg 500mg 1g 2g等应客户需求包装.
提取来源:龙舌兰属植物剑麻 Agaue sisalana Perrine 为原料提取。
药理药效:抗炎、镇痛、增强免疫、降低血糖
用途: 用于含量测定、鉴别、药理实验、活性筛选等.
风险提示:丁香通仅作为第三方平台,为商家信息发布提供平台空间。用户咨询产品时请注意保护个人信息及财产安全,合理判断,谨慎选购商品,商家和用户对交易行为负责。对于医疗器械类产品,请先查证核实企业经营资质和医疗器械产品注册证情况。
技术资料暂无技术资料 索取技术资料
Tigogenin 剑麻皂苷元 CAS:77-60-1
¥650










