相关产品推荐更多 >
万千商家帮你免费找货
0 人在求购买到急需产品
- 详细信息
- 询价记录
- 技术资料
- 库存:
384
- 英文名:
Fumonisin B1
- CAS号:
116355-83-0
- 保质期:
6个月
- 供应商:
北京百奥莱博科技有限公司
- 保存条件:
2-8℃
- 规格:
1mg/5mg/10mg
特别提示:包括伏马毒素B1在内,本公司的所有产品仅可用于科研实验,严禁用于临床医疗及其他非科研用途!
产品名称:伏马毒素B1
英文名称:Fumonisin B1
产品货号:GH1025
产品规格:1mg/5mg/10mg
伏马毒素(Fumonisin,Macrofusine)主要发生在玉米上,包括至少15种相近的毒素,其中zuì主要的是伏马毒素B1(Fumonisin B1,FB1)。尽管在150年前就发现伏马毒素对马有影响,正式鉴定还是在20世纪80年代中期。伏马毒素是几种镰刀菌(Fusarium Moniliforme)的极性代谢产物,其基本结构是包含甲基和氨基的长链羟基烃链。两个羟基被酯化到两个丙-1,2,3-三羧酸上。FB1与FB2不同之处在于它在10位上有一个额外的羟基。伏马毒素经常和其他毒素同时存在,例如黄曲霉毒素、呕吐毒素和玉米赤霉烯酮。伏马毒素有多个自由羧基、羟基和氨基而易溶于水,在一些有机溶剂(例如lǜ仿、己*)中不溶。FB1和FB2在-18℃能够稳定储存,在25℃及以上温度稳定性下降。有报道称在乙*-水溶液(1:1)中25℃可以储存6个月。
伏马毒素可致马脑白质软化症,对马少量就有致命性,但其毒性远小于黄曲霉毒素。伏马毒素在玉米中的浓度通常为百万分之一,zuì高可到300mg/㎏。人类接触伏马毒素相当普遍,但不同的玉米种植区有不同的接触程度。迄今为止,伏马毒素还没有一个广泛的限量标准。在一些国家中,仅为了保护易感动物马(5 mg/kg),猪(50mg/kg)而制定了一些限量标准,这些临时性的指导方针可能被一些国家作为人接触的zuì大限量。伏马毒素对人体的安全为每天摄入量按人体体重算FB1、FB2、FB3量不超过2 mg/kg。FB1的摄入量仍以低于zuì大限量为zuì好,即使对FB2、FB3的限制相对较宽。
CAS号:116355-83-0
外观:白色吸湿性粉末
纯度:≥98%
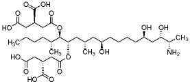
分子式:C34H59NO15
分子量:721.83
溶解性:溶于水、乙*-水和*醇
结构式:
保存条件:2-8℃密封避光干燥。
除了伏马毒素B1,,我公司还供应以下相关产品:
| 货号 | 名称 | 规格 |
| QN0629 | 8-*胺-1-萘磺酸 | 25g |
| QN0700 | 微晶纤维素 | 250g |
| QN0789 | 4-氯-1-萘酚 | 5g |
| QN0860 | 蒽醌 | 25g |
| SJ0102 | 胞嘧啶 | 5g |
| SJ0280 | 弗氏完全佐剂 | 10ml |
| SJ0336 | HAT(原装) | 1VL |
| SJ0413 | 3-(N-吗fēi啉)丙磺酸 | 25g |
| SJ0529 | 十二烷基硫酸钠 | 100g|500g |
| SJ0823 | 糊精 | 500g |
| QN1863 | *甲硫基*烷 | 5ml |
| GH1030 | 黄曲霉毒素G2(AFG2) | 1mg/5mg/10mg |
风险提示:丁香通仅作为第三方平台,为商家信息发布提供平台空间。用户咨询产品时请注意保护个人信息及财产安全,合理判断,谨慎选购商品,商家和用户对交易行为负责。对于医疗器械类产品,请先查证核实企业经营资质和医疗器械产品注册证情况。
- 作者
- 内容
- 询问日期
技术资料暂无技术资料 索取技术资料
伏马毒素B1
¥380 - 3800









