相关产品推荐更多 >
万千商家帮你免费找货
0 人在求购买到急需产品
- 详细信息
- 文献和实验
- 技术资料
- 库存:
171
- 英文名:
Azlocillin
- CAS号:
37091-66-0
- 保质期:
长期
- 供应商:
北京百奥莱博科技有限公司
- 保存条件:
2-8℃
- 规格:
100mg/支
特别提示:包括阿洛西林在内,本公司的所有产品仅可用于科研实验,严禁用于临床医疗及其他非科研用途!
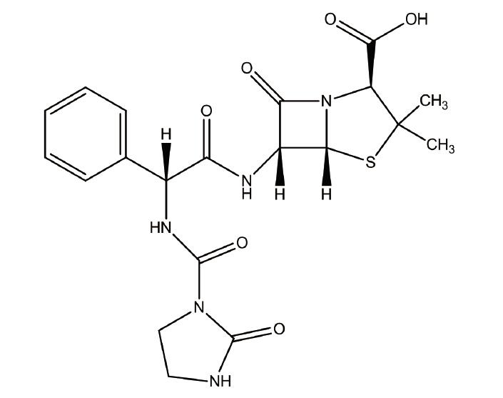
产品名称:阿洛西林
英文名称:Azlocillin
产品货号:BP1698
产品规格:100mg/支
本品为阿洛西林化学对照品,供HPLC法含量测定用,以C20H23N5O6S计,含量为93.8%。使用前不需干燥处理。
CAS号:37091-66-0
分子式:C20H23N5O6S
分子量:461.1
结构式:
包装:白色安瓿
规格:100mg/支
储存条件:2-8℃条件遮光保存。
除了阿洛西林,,我公司还供应以下相关产品:
名称:醋酸氢化可的松
货号:BP0013
规格:100mg
本品为醋酸氢化可的松(HydrocortisoneAcetate),供HPLC法鉴别和含量测定用,以C23H32O6计,含量为99.5%,使用前不需干燥处理。
分子式:C23H32O6
分子量:404.50
CAS号:50-03-3
包装:棕色西林瓶。
规格:100毫克/支
储存条件:遮光,密封保存。
注意事项:本品略有引湿性,开封后应密闭保存。
名称:比沙可啶
货号:BP0147
规格:100mg/支
本品为比沙可啶的化学对照品,供UV法含量测定用,按C22H19NO4计,含量为100.0%,使用前不需干燥处理。
分子式:C22H19NO4
结构式:
分子量:361.40
CAS号:603-50-9
包装及装量:棕色西林瓶装,每支约100mg。
储存条件:遮光,密封保存。
名称:吲达帕胺
货号:BP0205
规格:100mg/支
本品为吲达帕胺的化学对照品,供含量测定用,使用前不需干燥处理。按C16H16ClN3O3S计,供HPLC法测定,含量为97.7%;供UV法测定,含量为97.9%。
分子式:C16H16ClN3O3S
结构式:
分子量:365.83
CAS号:26807-65-8
包装:棕色西林瓶。
装量:约100mg/支。
储存条件:遮光,密闭,10~30℃保存。
名称:托芬那酸
货号:BP0532
规格:100mg
名称:7-表-10-去乙酰基紫杉醇(紫杉醇杂质II)
货号:BP0699
规格:20mg/支
本品为7-表-10-去乙酰基紫杉醇(紫杉醇杂质II)化学对照品,供HPLC法系统适用性试验用,使用前不需干燥处理。
CAS号:78454-17-8
分子式:C45H49NO13
分子量:811.87
结构式:
包装:棕色西林瓶。
规格:约20毫克/支。
储存条件:遮光,密封保存。
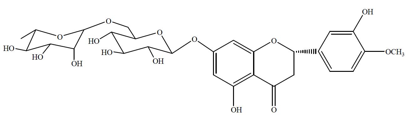
名称:橙皮苷
货号:BP1027
规格:20mg/支
本品为橙皮苷化学对照品,供含量测定用,含量以96.1%计,使用前不需干燥处理。
CAS号:13679-74-8
分子式:C28H34O15
分子量:610.19
结构式:
包装:棕色安瓿瓶
规格:约20mg/支
储存条件:冷处(2-10℃)保存
注意事项:本品具引湿性,建议打开包装一次性使用完。
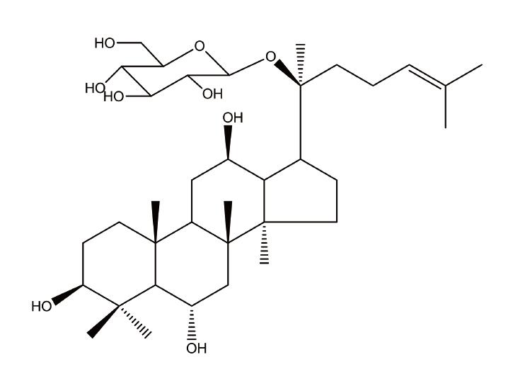
名称:人参皂苷Rf
货号:BP1317
规格:10mg/支
本品为人参皂苷Rf化学对照品,供相关物质鉴别用。
分子式:C42H72O14
分子量:800
结构式:
包装:棕色安瓿瓶
规格:约10mg/支
储存条件:冷冻保存
名称:20(S)-人参皂苷F1
货号:BP1345
规格:20mg/支
本品为20(S)-人参皂苷F1化学对照品,供鉴别及含量测定用,含量以93.5%计,使用前不需干燥处理。
CAS号:53963-43-2
分子式:C36H62O9
分子量:638.87
结构式:
包装:棕色安瓿瓶
装量:约20mg/支
储存条件:冷冻保存
注意事项:本品有引湿性,打开包装后一次使用完毕。
名称:多黏菌素B
货号:BP1556
规格:50mg
本品为多黏菌素B标准品,供硫酸多黏菌素B品种效价测定用,使用前不需要干燥处理。
使用方法:本标准品使用时,精密称取适量,用灭菌水使溶解,并制成每1ml中约含10000单位的溶液。
储存条件:置4℃以下低温避光保存。
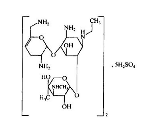
名称:奈替米星
货号:BP1577
规格:200mg
本品为奈替米星标准品,供抗生素微生物效价测定用,使用前不需干燥处理。
CAS号:56391-57-2
分子式:(C21H41N5O7)2·5H2SO4
分子量:1441.54
结构式:
包装:白色安瓿
规格:约200毫克/支
储存条件:2-8℃保存
名称:头孢尼西
货号:BP1703
规格:200mg
本品为头孢尼西化学对照品,供高效液相含量测定用,含量以头孢尼西(C18H18N6O8S3)计。
使用方法:精密称取本品适量,按质量标准所规定的方法,配制至所需浓度的对照品溶液,立即使用。
储存条件:置5℃以下条件低温避光保存。启开安瓿后严密保持干燥以防吸水。
注意事项:使用前不需干燥处理。
名称:氟尿苷
货号:BP1809
规格:10mg
本品为氟尿苷化学对照品,供相关物质鉴别用,使用前不需干燥处理。
分子式:C9H11FN2O5
分子量:246.20
包装:棕色小瓶
规格:每瓶约10mg
储存条件:遮光,密封保存。
名称:脑蛋白水解物
货号:BP1837
规格:1ml/支
本品为脑蛋白水解物化学对照品,以总氮计含量为6.32mg/ml,供脑蛋白水解物HPLC法鉴别用。
包装及装量:包装:安瓿;装量:1ml/支
储存条件:2~8℃冷藏保存
注意事项:开瓶后一次性使用
名称:人免疫球蛋白白喉抗体国家标准品
货号:BP2111
规格:0.4HAU/支
名称:邻苯二*酸丁基苄酯
货号:BP2178
规格:1ml
本品为邻苯二*酸丁基苄酯化学对照品,供GC法含量测定用,按C19H20O4计,含量为99.4%,使用前不需干燥处理。
CAS号:85-68-7
分子式:C19H20O4
分子量:312.36
结构式:
包装及装量:棕色安瓿瓶装,每支约1毫升。
储存条件:遮光,密封保存。
注意事项:使用前不需干燥处理。
名称:标准葡萄糖溶液(10mmol/L)
货号:GL2317
规格:1ml
用途:
葡萄糖浓度测定的标准物质。
注意事项:
主要由高纯度无水葡萄糖、超纯无菌去离子水配置。
储存条件:-20℃,12个月
风险提示:丁香通仅作为第三方平台,为商家信息发布提供平台空间。用户咨询产品时请注意保护个人信息及财产安全,合理判断,谨慎选购商品,商家和用户对交易行为负责。对于医疗器械类产品,请先查证核实企业经营资质和医疗器械产品注册证情况。
文献和实验抗生素名称 代码 阿米卡星 AK 阿莫西林 AML Apramycin APR Cefpirome CPO Cefsulodin CFS Cinoxacin CIN Enrofloxacin ENR Flumaquine UB Framycetin FY Moxifloxacin MOX Trovafloxacin TA 阿洛西林 AZL 阿莫西林/棒酸2:1 AMC
细胞膜上的 PBPs 数目、分子量不同,而对β - 内酰胺类抗生素的敏感性也不同 二、抗菌作用的类型 Ⅰ类:青霉素 G 及口服青霉素 V 容易透过 G+ 菌粘肽层,但不能透过 G- 菌的脂蛋白外膜,属仅对 G+ 菌有效的窄谱抗生素。 Ⅱ类:氨苄西林、羧苄西林、阿洛西林、美洛西林、亚胺培南及若干头孢菌素,能适度透过 G+ 菌粘肽层,对 G- 菌的脂蛋白外膜穿透性则很好,因而是广谱抗生素。 Ⅲ类:如青霉素类抗生素,容易被 G+ 菌胞外的 β - 内酰胺
,因而无效。Ⅴ类包括酰脲类青霉素(阿洛西林与美洛西林等)、羧苄青霉素及头孢菌素一、二代,当胞膜外间隙的β-内酰胺酶少量存在时有抗菌效果,大量酶存在时,则被破坏而无效。Ⅵ类包括第三代头孢菌素、氨曲南、亚胺培南等对β-内酰胺酶十分稳定,即使大量β-内酰胺酶存在时仍然有效,但对因染色体突变而改变了的PBPs则无效,加用氨基甙类抗生素也仍然无效。 (三)细菌耐药机制 细菌对β-内酰胺类抗生素耐药机制可概括为:①细菌产生β-内酰胺酶(青霉素酶、头孢菌素酶等)使易感抗生素水解而灭活
技术资料暂无技术资料 索取技术资料










