万千商家帮你免费找货
0 人在求购买到急需产品
- 详细信息
- 技术资料
- 库存:
60
- 英文名:
Zolmitriptan
- CAS号:
139264-17-8
- 保质期:
长期
- 供应商:
北京百奥莱博科技有限公司
- 保存条件:
遮光,10~30℃
- 规格:
约100毫克/支
特别提示:包括佐米曲普坦在内,本公司的所有产品仅可用于科研实验,严禁用于临床医疗及其他非科研用途!
产品名称:佐米曲普坦
英文名称:Zolmitriptan
产品货号:BP0538
产品规格:约100毫克/支
本品为佐米曲普坦化学对照品,供含量测定用。105℃干燥2小时后使用。按C16H21N3O2计,供HPLC法测定,含量为99.5%;供UV法测定,含量为99.9%。
CAS号:139264-17-8
分子式:C16H21N3O2
分子量:287.36
结构式:
包装:棕色西林瓶
规格:约100毫克/支
储存条件:遮光,10~30℃密闭保存
除了佐米曲普坦,,我公司还供应以下相关产品:
名称:苄氟噻嗪
货号:BP0007
规格:100mg
名称:格列齐特
货号:BP0215
规格:100mg/支
本品为格列齐特的化学对照品,供含量测定用,使用前不需干燥处理。按C15H21N3O3S计,含量为99.9%。
分子式:C15H21N3O3S
结构式:
分子量:323.41
CAS号:21187-98-4
包装:棕色西林瓶
规格:约100毫克/支
储存条件:遮光,密闭,10~30℃干燥处保存
注意事项:本品临用新制
名称:非洛地平
货号:BP0551
规格:100mg
本品为非洛地平化学对照品,供含量测定用,使用前不需干燥处理。供HPLC法测定,按C18H19Cl2NO4计,含量为99.6%。
CAS号:72509-76-3
分子式:C18H19Cl2NO4
分子量:384.25
结构式:
包装及装量:棕色西林瓶,约100mg/支。
储存条件:遮光,密封保存。
名称:盐酸左布诺洛尔
货号:BP0625
规格:100mg/支
本品为盐酸左布诺洛尔化学对照品,供含量测定用,110℃减压干燥4小时后使用。供HPLC法测定,按C17H25NO3·HCl计,含量为100.0%。
CAS号:27912-14-7
分子式:C17H25NO3·HCl
分子量:327.85
包装及装量:棕色西林瓶装,约100mg/支
储存条件:遮光,密闭保存
名称:盐酸罗沙替丁醋酸酯
货号:BP0686
规格:100mg
名称:吡非尼酮
货号:BP0918
规格:100mg/支
名称:广藿香油
货号:BP1117
规格:1ml
名称:银杏叶提取物
货号:BP1142
规格:约0.2g/支
本品为银杏叶对照提取物,供相关物质鉴别用。
包装及装量:棕色瓶。
储存条件:室温干燥保存。
名称:尿苷
货号:BP1157
规格:20mg
名称:阿拉伯糖
货号:BP1172
规格:30mg
名称:5-O-甲基维斯阿米醇苷
货号:BP1186
规格:20mg/支
本品为5-O-甲基维斯阿米醇苷化学对照品,供含量测定用,含量以96.1%计,使用前不需干燥处理。
CAS号:84272-85-5
分子式:C22H28O10
分子量:452.45
结构式:
包装:棕色安瓿瓶
装量:约20mg/支
储存条件:冷处(2-10℃)保存
注意事项:本品有引湿性,建议打开包装一次性使用完
名称:山麦冬皂苷B
货号:BP1450
规格:约20mg/支
本品为山麦冬皂苷B化学对照品,供相关物质鉴别用。
分子式:C39H62O12
分子量:722.42
包装及装量:棕色瓶。
储存条件:冷冻保存。
名称:3,29-二苯甲酰基栝楼仁三醇
货号:BP1470
规格:20mg/支
本品为3,29-二苯甲酰基栝楼仁三醇化学对照品,供含量测定用,含量以96.7%计,使用前不需干燥处理。
CAS号:873001-54-8
分子式:C44H58O5
分子量:666.93
结构式:
包装:棕色安瓿瓶
规格:约20mg/支
储存条件:冷冻保存
名称:小诺霉素
货号:BP1568
规格:200mg/支
本品为小诺霉素标准品,供硫酸小诺霉素品种效价及组分测定,供硫酸庆大霉素C组分测定用。
分子式:(C20H41N5O7)2·5H2SO4
分子量:1417.52
结构式:
包装及装量:安瓿;200mg/支
储存条件:4℃避光保存
使用方法:使用前不需要干燥处理。使用时精密称取适量,按标准方法进行测定。1000u/ml的小诺霉素溶液应当日使用。
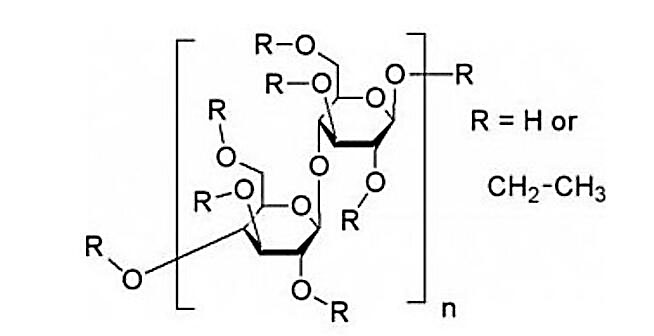
名称:乙基纤维素
货号:BP2056
规格:200mg/瓶
本品为乙基纤维素化学对照品,仅供乙基纤维素和乙基纤维素水分散体(B型)中红外鉴别和含量测定用,使用前不需干燥处理,含量为97.9%。
CAS号:9004-57-3
分子式:R2O[C12H14O3(OR)6]n , R为C2H5或H
结构式:
包装:棕色安瓿
规格:约200mg/瓶
储存条件:遮光、常温保存。
风险提示:丁香通仅作为第三方平台,为商家信息发布提供平台空间。用户咨询产品时请注意保护个人信息及财产安全,合理判断,谨慎选购商品,商家和用户对交易行为负责。对于医疗器械类产品,请先查证核实企业经营资质和医疗器械产品注册证情况。
技术资料暂无技术资料 索取技术资料
佐米曲普坦
¥380 - 3800










