相关产品推荐更多 >
万千商家帮你免费找货
0 人在求购买到急需产品
- 详细信息
- 技术资料
- 库存:
397
- 英文名:
Granisetron Hydrochloride
- CAS号:
107007-99-8
- 保质期:
长期
- 供应商:
北京百奥莱博科技有限公司
- 规格:
100mg/支
特别提示:包括盐酸格拉司琼在内,本公司的所有产品仅可用于科研实验,严禁用于临床医疗及其他非科研用途!
产品名称:盐酸格拉司琼
英文名称:Granisetron Hydrochloride
产品货号:BP0425
产品规格:100mg/支
本品为盐酸格拉司琼化学对照品,使用前不需干燥处理,供含量测定用,按C18H24N4O·HCl计,含量为99.8%。
分子式:C18H24N4O·HCl
分子量:348.87
CAS号:107007-99-8
包装及装量:棕色西林瓶装,每支约100mg。
储存条件:遮光,密封保存。
除了盐酸格拉司琼,,我公司还供应以下相关产品:
名称:胆石酸
货号:BP0101
规格:50mg/支
本品为胆石酸(Lithocholic Acid)的化学对照品。供TLC检查用,含量为100%。
分子式:C24H40O3
分子量:376.57
CAS号:434-13-9
包装及装量:棕色小瓶装,每支约50毫克。
储存条件:遮光,密闭保存。
注意事项:使用前不需干燥处理。
名称:氨鲁米特
货号:BP0220
规格:50mg
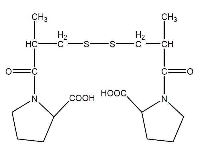
名称:卡托普利二硫化物
货号:BP0256
规格:50mg
本品为卡托普利二硫化物,供检查用,使用前不需干燥处理,按C18H28N2O6S2计,含量为100.0%。
分子式:C18H28N2O6S2
结构式:
分子量:432.56
CAS号:64806-05-9
包装:棕色西林瓶
规格:约50毫克/支”
储存条件:遮光,密闭保存。
名称:盐酸氨溴索
货号:BP0461
规格:100毫克/支
本品为盐酸氨溴索化学对照品,供含量测定用。105℃干燥2小时后使用。按C13H18Br2N2O·HCl计,含量为99.9%。
CAS号:23828-92-4
分子式:C13H18Br2N2O·HCl
分子量:414.57
包装:棕色西林瓶。
规格:约100毫克/支。
储存条件:遮光,密闭,10~30℃保存。
名称:辛伐他汀
货号:BP0463
规格:100mg/支
本品为辛伐他汀化学对照品,供含量测定用,使用前不需干燥处理。供HPLC法含量测定,按C25H38O5计,含量为99.4%。
CAS号:79902-63-9
分子式:C25H38O5
分子量:418.57
包装:棕色安瓿
装量:约100毫克/支
储存条件:遮光,充氮密闭,2~8℃保存
名称:阿佐塞米
货号:BP0581
规格:100mg
名称:氯碘羟喹系统适用性试验对照品
货号:BP0827
规格:20mg
本品为氯碘羟喹系统适用性试验对照品适用于氯碘羟喹有关物质检查。使用方法:称取本品10mg,置100ml 量瓶中,加*醇10ml, 使溶解,用流动相稀释至刻度,摇匀,量取1ml,置50ml 量瓶中,用流动相稀释至刻度,摇匀,即得。
包装及装量:棕色小瓶装,每支约20毫克。
储存条件:遮光,密封保存。
注意事项:使用前不需干燥处理。
附图——典型色谱图:
名称:儿茶素
货号:BP1148
规格:20mg/支
本品为儿茶素化学对照品,供鉴别及含量测定用。含量以99.2%计,使用前不需干燥处理。
CAS号:154-23-4
分子式:C15H14O6
分子量:290.28
结构式:
包装:棕色安瓿瓶
规格:约20mg/支
储存条件:阴凉处
注意事项:本品有引湿性,建议打开包装后一次性使用完毕。
名称:大豆苷
货号:BP1329
规格:棕色安瓿瓶
本品为大豆苷化学对照品,供鉴别及含量测定用,含量以93.3%计,使用前不需干燥处理。
CAS号:552-66-9
分子式:C21H20O9
分子量:416.38
结构式:
包装:棕色安瓿瓶
规格:约20毫克/支
储存条件:冷处(2~10℃)保存
注意事项:本品有引湿性,打开包装后一次使用完毕。
名称:利福昔明杂质A
货号:BP1734
规格:100mg/支
本品为利福昔明杂质A化学对照品,仅供利福昔明品种系统适用性试验用。
分子式:C43H49N3O11
分子量:783.86
结构式:
包装及装量:安瓿;100mg
储存条件:置4℃以下条件低温避光保存。
名称:伊曲康唑杂质E
货号:BP1760
规格:30mg/支
本品为伊曲康唑杂质E化学对照品,供伊曲康唑原料及其制剂HPLC法有关物质检查用,以伊曲康唑杂质E(C35H38Cl2N8O4)计,含量为97.1%。使用前不需干燥处理。
CAS号:252964-65-1
分子式:C35H38Cl2N8O4
分子量:704.2
结构式:
包装:棕色安瓿
规格:30mg/支
储存条件:常温遮光保存
名称:硫酸羟喹*
货号:BP2045
规格:200mg/瓶
本品为硫酸羟喹*化学对照品,供硫酸羟喹*品种项下红外光吸收图谱鉴别用对照品,使用前不需干燥处理。
CAS号:134-31-6
分子式:(C9H7NO)2·H2SO4·H2O
分子量:406.42
包装:棕色西林瓶
规格:约200mg/瓶
储存条件:遮光、常温保存
名称:二甲硅油100
货号:BP2069
规格:1ml/支
本品为二甲硅油100化学对照品,仅供二甲硅油品种项下二甲硅油100红外光谱吸收度及含量测定用,使用前不需干燥处理。
CAS号:9006-65-9
分子式:(CHOSi)CHSi26n412
结构式:
包装:棕色安瓿
规格:约1ml/支
储存条件:遮光、常温保存。
风险提示:丁香通仅作为第三方平台,为商家信息发布提供平台空间。用户咨询产品时请注意保护个人信息及财产安全,合理判断,谨慎选购商品,商家和用户对交易行为负责。对于医疗器械类产品,请先查证核实企业经营资质和医疗器械产品注册证情况。
技术资料暂无技术资料 索取技术资料
盐酸格拉司琼
¥380 - 3800









