相关产品推荐更多 >
万千商家帮你免费找货
0 人在求购买到急需产品
- 详细信息
- 文献和实验
- 技术资料
- 库存:
255
- 英文名:
Arctiin
- CAS号:
20362-31-6
- 保质期:
长期
- 供应商:
北京百奥莱博科技有限公司
- 保存条件:
冷处(2-10℃)
- 规格:
20mg/支
特别提示:包括牛蒡苷在内,本公司的所有产品仅可用于科研实验,严禁用于临床医疗及其他非科研用途!
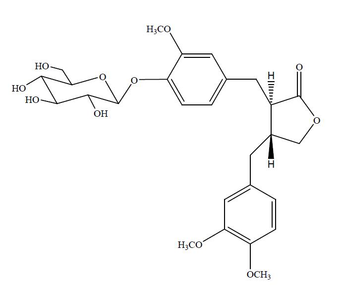
产品名称:牛蒡苷
英文名称:Arctiin
产品货号:BP1105
产品规格:20mg/支
本品为牛蒡苷化学对照品,供鉴别及含量测定用,含量以95.9%计,使用前不需处理。
CAS号:20362-31-6
分子式:C27H34O11
分子量:534.54
结构式:
包装:棕色安瓿瓶
装量:约20mg/支
储存条件:冷处(2-10℃)保存
除了牛蒡苷,,我公司还供应以下相关产品:
名称:叶酸
货号:BP0063
规格:100mg/支
本品为叶酸(FolicAcid)的化学对照品,按C19H19N7O6计,供HPLC法测定,含量为89.7%;供UV法测定,含量为92.3%。
分子式:C19H19N7O6
分子量:441.40
CAS号:59-30-3
包装及装量:棕色西林瓶装,每支约100毫克
储存条件:遮光,密封保存
注意事项:使用前不需干燥处理。
名称:环吡酮胺
货号:BP0189
规格:50mg/支
本对照品为环吡酮胺的化学对照品,供含量测定用,含量以环吡酮胺C12H17NO2·C2H7NO计,使用前不需干燥处理。
分子式:C12H17NO2·C2H7NO
结构式:
分子量:268.36
CAS号:41621-49-2
包装:安瓿
规格:约50mg/支
储存条件:置常温遮光保存
名称:氨甲*酸
货号:BP0695
规格:100mg
名称:滨蒿内酯
货号:BP1176
规格:20mg
本品为滨蒿内酯化学对照品,供鉴别或含量测定用,含量以99.2%计,使用前无需干燥处理。
CAS号:120-08-1
分子式:C11H10O4
分子量:206
结构式:
包装及装量:棕色安瓿瓶,约 20mg/支
储存条件:冷冻保存
注意事项:本品略有引湿性。
名称:依替米星
货号:BP1689
规格:200mg
本品为依替米星化学对照品,供含量测定用,含量以依替米星C21H43N5O7计,使用前不需干燥处理。
CAS号:362045-44-1
分子式:(C21H43N5O7)2·5H2SO4
分子量:1445.58
包装:白色安瓿
规格:约200毫克/支
储存条件:2-8℃保存
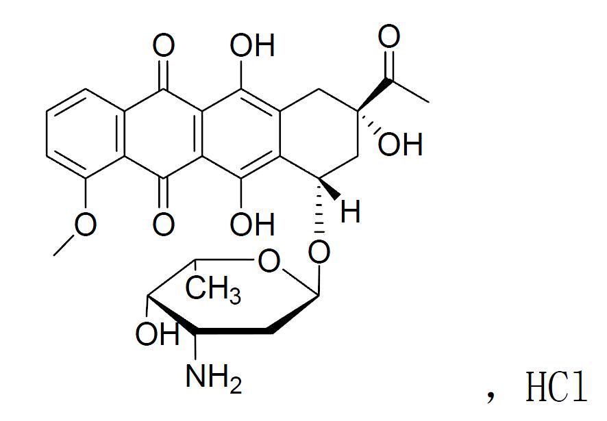
名称:柔红霉素
货号:BP1695
规格:50mg
本品为柔红霉素化学对照品,供HPLC法含量测定用,以C27H29NO10计,每支含柔红霉素为19.6mg,使用前不需干燥处理。整支溶解使用。
CAS号:20830-81-3
分子式:C27H29NO10·HCl
分子量:563.98
结构式:
包装:白色西林瓶
规格:约20mg/支
储存条件:置2-8℃遮光保存。
名称:赖脯胰岛素
货号:BP1861
规格:15mg/支
名称:水杨*吖嗪
货号:BP2063
规格:100mg/支
本品为水杨*吖嗪化学对照品,供交联聚维酮有关物质检查用,使用前无需干燥处理,以C14H12N2O2计,含量为97.3%。
CAS号:959-36-4
分子式:C14H12N2O2
分子量:240.26
结构式:
包装:棕色西林瓶
规格:约100mg/支
储存条件:遮光、常温保存
风险提示:丁香通仅作为第三方平台,为商家信息发布提供平台空间。用户咨询产品时请注意保护个人信息及财产安全,合理判断,谨慎选购商品,商家和用户对交易行为负责。对于医疗器械类产品,请先查证核实企业经营资质和医疗器械产品注册证情况。
文献和实验相关实验
【摘要】 目的对七个不同产地牛蒡子中的牛蒡苷进行含量测定,做出质量评价。方法采用薄层色谱法(TLC)进行定性鉴别,高效液相色谱法(HPLC)进行含量测定。结果吉林产牛蒡子中牛蒡苷含量最高,质量较好;甘肃定西、四川康定、宁夏银川产牛蒡子中牛蒡苷的含量亦较高。结论甘肃虽不是牛蒡子主产区,但甘肃定西栽培及野生牛蒡子中牛蒡苷含量较高,质量较好。 【关键词】 牛蒡子;牛蒡苷;薄层色谱法;高效液相色谱法;含量测定 1仪器与试药 美国安捷伦Agilent 1100型高效
技术资料暂无技术资料 索取技术资料
牛蒡苷
¥380 - 3800










