相关产品推荐更多 >
万千商家帮你免费找货
0 人在求购买到急需产品
- 详细信息
- 文献和实验
- 技术资料
- 库存:
67
- 英文名:
Bupivacaine Hydrochloride
- CAS号:
14252-80-3
- 保质期:
长期
- 供应商:
北京百奥莱博科技有限公司
- 保存条件:
室温
- 规格:
100mg
特别提示:包括盐酸布比卡因在内,本公司的所有产品仅可用于科研实验,严禁用于临床医疗及其他非科研用途!
产品名称:盐酸布比卡因
英文名称:Bupivacaine Hydrochloride
产品货号:BP0756
产品规格:100mg
本品为盐酸布比卡因一水合物,供HPLC法鉴别及含量测定时,作对照用。本品使用前不需要干燥,可直接使用。用于HPLC法时含量以C18H28N2O·HCl计为95.0%。
CAS号:14252-80-3
分子式:C18H28N2O·HCl·H2O
分子量:342.91
包装:棕色西林瓶
规格:每支约100mg
储存条件:室温,密闭遮光保存
除了盐酸布比卡因,,我公司还供应以下相关产品:
名称:胆影酸
货号:BP0014
规格:50毫克/支
本品使用前不需干燥处理。供TLC法鉴别用。
分子式:C20H14I6N2O6
分子量:1139.76
CAS号:606-17-7
包装:棕色西林瓶。
规格:约50毫克/支。
储存条件:遮光,10~30℃密闭保存。
名称:倍他环糊精
货号:BP0254
规格:100mg/支
本品为β环糊精的化学对照品,供含量测定用。供HPLC法测定,按(C6H10O5)7计,含量为100.0%。
分子式:(C6H10O5)7
分子量:1134.99
CAS号:7585-39-9
包装及装量:棕色瓶,约100mg/支
储存条件:遮光,密闭保存
注意事项:105℃干燥2小时后使用,建议RH30%以下使用。
名称:m-*酚-4,6-二磺酸铵(聚*酚磺醛杂质)
货号:BP0740
规格:50mg/支
本品为m-*酚-4,6-二磺酸铵(聚*酚磺醛杂质)化学对照品,供HPLC法检查用,按C7H14N2O7S2计,含量为100%。
分子式:C7H14N2O7S2
分子量:302.32
包装及装量:棕色小瓶装,每支约50毫克。
储存条件:遮光,密封保存。
注意事项:使用前不需干燥处理。
名称:硝普钠
货号:BP0824
规格:200mg
本品为硝普钠二水合物,供HPLC法含量测定用,按Na2Fe(CN)5NO计,含量为88.0%。
CAS号:13755-*8-9
分子式:Na2Fe(CN)5NO·2H2O
分子量:297.95
包装及装量:西林装,每支约200毫克。
储存条件:遮光,密封保存。
注意事项:使用前不需干燥处理。
名称:盐酸溴己新杂质
货号:BP0992
规格:30毫克/支
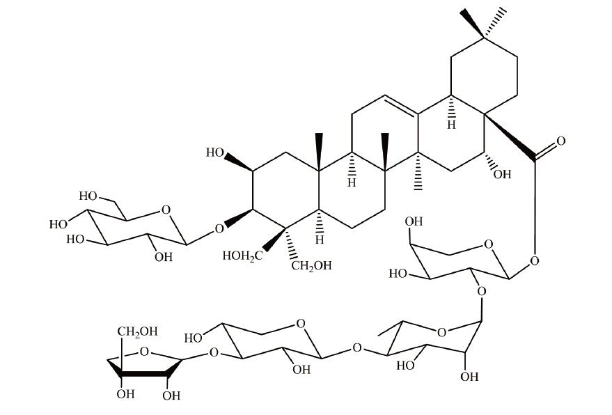
名称:桔梗皂苷D
货号:BP1409
规格:20mg/支
本品为桔梗皂苷D化学对照品,供含量测定用,含量以94.0%计,使用前不需干燥处理。
分子式:C57H92O28
分子量:1225.32
结构式:
包装:棕色安瓿瓶。
规格:约20mg/支。
储存条件:冷冻(-20℃)保存。
注意事项:本品具有引湿性,建议打开包装一次性使用完。
名称:甲*化双环醇(双环醇杂质II)
货号:BP2153
规格:50mg/支
本品为双环醇杂质II(甲*化双环醇)化学对照品,供HPLC法系统适用性试验用,使用前不需要干燥处理。
分子式:C20H20O9
分子量:404.37
结构式:
包装:棕色西林瓶
规格:50毫克/支
储存条件:遮光,密封保存
名称:邻苯二*酸二正丙酯
货号:BP2174
规格:1ml
本品为邻苯二*酸二正丙酯化学对照品,供GC法含量测定用,按C14H18O4计,含量为 99.3%,使用前不需干燥处理。
CAS号:131-16-8
分子式:C14H18O4
分子量:250.29
包装及装量:棕色安瓿瓶装,每支约 1毫升。
储存条件:遮光,密封保存。
名称:赭曲霉毒素B(OTB)标准液
货号:GH0963
规格:10μg
本制品为赭曲霉毒素B标准液,溶于*腈,分子式:C20H19NO6,分子量369.37,CAS号4825-86-9。
赭曲霉毒素(Ochratoxin,OCT)是由多种曲霉和青霉菌,如曲霉菌,如赭曲霉、硫色曲霉、蜂蜜曲霉以及绿青霉等产生的,包括7种结构类似化合物的一类毒素,依其发现顺序分别称为赭曲霉毒素A(OTA)、赭曲霉毒素B(OTB)和赭曲霉毒素C(OTC),其中赭曲霉毒素A(R1=C1,R2=H)毒性zuì大,在霉变谷物、饲料中zuì常见。OTB是OTA的脱氯衍生物,OTC是OTA的乙基酯,在紫外线照射下OTA和OTB分别呈绿色和蓝色荧光,zuì大吸收峰分别为333nm和318nm。
保存条件:2-8℃密封避光保存。
风险提示:丁香通仅作为第三方平台,为商家信息发布提供平台空间。用户咨询产品时请注意保护个人信息及财产安全,合理判断,谨慎选购商品,商家和用户对交易行为负责。对于医疗器械类产品,请先查证核实企业经营资质和医疗器械产品注册证情况。
文献和实验剂:200mg/10ml;400mg/20ml。浸润麻醉用0.25%~0.5%溶液,表面麻醉、传导麻醉、硬膜外麻醉均可用1%~2%溶液。一次极量500mg。腰麻不宜超过100mg。 盐酸布比卡因(bupivacaine hydrochloride)注射剂:12.5mg/5ml;25mg/5ml;37.5mg/5ml。浸润麻醉用0.25%溶液,传导麻醉用0.25%~0.5%溶液,硬膜外麻醉用0.5%~0.75%溶液。一次极量200mg,一日极量400mg。
。 盐酸丁卡因(tetracaine hydrochloride)注射剂:50mg/5ml。表面麻醉用0.25%~1%溶液,传导麻醉、腰麻及硬膜外麻醉可用0.2%溶液。腰麻不宜超过16mg。 盐酸利多卡因(lidocaine hydrochloride)注射剂:200mg/10ml;400mg/20ml。浸润麻醉用0.25%~0.5%溶液,表面麻醉、传导麻醉、硬膜外麻醉均可用1%~2%溶液。一次极量500mg。腰麻不宜超过100mg。 盐酸布比卡因(bupivacaine
技术资料暂无技术资料 索取技术资料










