相关产品推荐更多 >
万千商家帮你免费找货
0 人在求购买到急需产品
- 详细信息
- 技术资料
- 库存:
470
- 英文名:
Lysionotin
- 保质期:
长期
- 供应商:
北京百奥莱博科技有限公司
- 规格:
20mg
特别提示:包括石吊兰素在内,本公司的所有产品仅可用于科研实验,严禁用于临床医疗及其他非科研用途!
产品名称:石吊兰素
英文名称:Lysionotin
产品货号:BP1205
产品规格:20mg
本品为石吊兰素化学对照品,供含量测定用,以98.1%计。
分子式:C18H16O7
分子量:344.32
包装及装量:棕色瓶。
储存条件:干燥密闭保存。
注意事项:置*氧化二磷减压干燥器中干燥 12 小时后使用。
除了石吊兰素,,我公司还供应以下相关产品:
名称:炔诺酮
货号:BP0047
规格:50mg/支
本品为炔诺酮化学对照品,供鉴别和含量测定用。本品不需干燥处理,以C20H26O2计,供HPLC法测定,含量为99.4%。
分子式:C20H26O2
分子量:298.43
CAS号:68-22-4
使用方法:本品不需干燥处理,直接称取,避光操作。
包装及装量:棕色小瓶,每支约50毫克。
储存条件:干燥避光,室温密闭保存。
名称:盐酸奈福泮
货号:BP0135
规格:100mg
名称:富马酸氯马斯汀
货号:BP0187
规格:100mg
名称:罗通定
货号:BP0356
规格:50mg
本品为罗通定化学对照品,供含量测定用。80℃减压干燥3小时后使用。
分子式:C21H25NO4
分子量:355.43
CAS号:10097-84-4
包装及装量:西林瓶装,约50mg/支。
储存条件:遮光,密闭保存。
名称:琥珀酸甲泼尼龙
货号:BP0630
规格:100mg
本品为琥珀酸甲泼尼龙化学对照品,供HPLC法含量测定用,使用前不需干燥,以C26H34O8计,含量为99.5%。
CAS号:2921-57-5
分子式:C26H34O8
分子量:474.55
结构式:
包装:棕色西林装
规格:约100毫克/支
储存条件:遮光、密闭保存
名称:拉米夫定杂质Ⅲ
货号:BP0931
规格:20mg/支
本品为拉米夫定杂质Ⅲ化学对照品,供HPLC法系统适用性试验用,使用前不需干燥处理
CAS号:145986-07-8
分子式:C8H10N2O4S
分子量:230.23
结构式:
胞嘧啶、尿嘧啶、拉米夫定、水杨酸、拉米夫定杂质Ⅰ-Ⅴ混合物色谱图
色谱柱:ShiseidoCapcellc18AQ(250mm×4.6mm,5μm)
包装:棕色西林瓶
规格:约20mg/支
储存条件:遮光,密闭,2~8℃保存
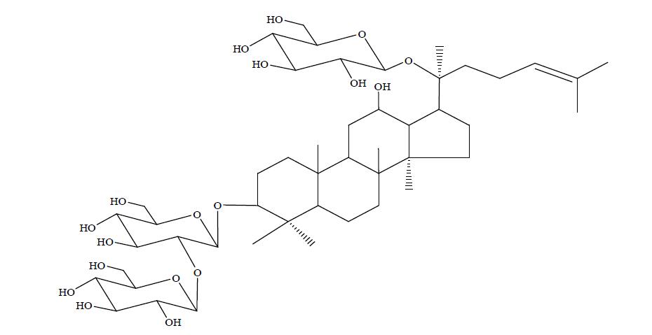
名称:人参皂苷Rd
货号:BP1387
规格:约20mg/支
本品为人参皂苷Rd化学对照品,供鉴别和含量测定用,含量以92.1%计,使用前不需干燥处理。
CAS号:52705-93-8
分子式:C48H82O18
分子量:947.15
结构式:
包装:棕色安瓿瓶。
装量:约20mg/支。
储存条件:冷冻保存。
注意事项:本品有引湿性,开封后一次使用完毕。
名称:环拉酸钠
货号:BP2017
规格:200mg
本品为环拉酸钠化学对照品,供环拉酸钠品种红外光谱鉴别用。
CAS号:139-05-9
分子式:C6H12NNaO3S
分子量:201.22
包装及装量:棕色西林瓶装,每支约200 毫克
储存条件:遮光,密封保存。
注意事项:使用前于105℃干燥2 小时。
名称:盐酸特拉唑嗪杂质I
货号:BP2146
规格:100mg/支
本品为盐酸特拉唑嗪杂质I化学对照品,供HPLC法检查用。按C14H19N5O2·2HCl计,含量为88.9%。
CAS号:60548-08-5
分子式:C14H19N5O2·2HCl
分子量:362.25
结构式:
包装:棕色安瓿瓶装。
规格:100毫克/支。
储存条件:遮光,密封保存。
风险提示:丁香通仅作为第三方平台,为商家信息发布提供平台空间。用户咨询产品时请注意保护个人信息及财产安全,合理判断,谨慎选购商品,商家和用户对交易行为负责。对于医疗器械类产品,请先查证核实企业经营资质和医疗器械产品注册证情况。
技术资料暂无技术资料 索取技术资料
石吊兰素
¥380 - 3800










