相关产品推荐更多 >
万千商家帮你免费找货
0 人在求购买到急需产品
- 详细信息
- 询价记录
- 技术资料
- 库存:
387
- 英文名:
Isepamicin
- 保质期:
长期
- 供应商:
北京百奥莱博科技有限公司
- 保存条件:
置4℃以下条件低温
- 规格:
100mg/支
特别提示:包括异帕米星在内,本公司的所有产品仅可用于科研实验,严禁用于临床医疗及其他非科研用途!
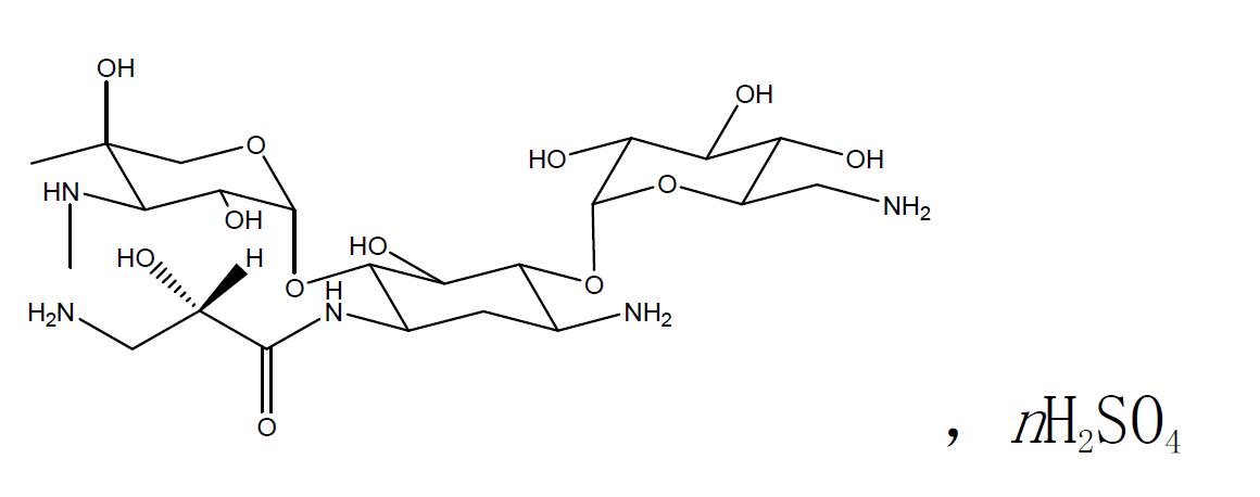
产品名称:异帕米星
英文名称:Isepamicin
产品货号:BP1714
产品规格:100mg/支
本品为异帕米星化学对照品,供高效液相含量测定用,含量以异帕米星(C22H43N5O12)计。
分子式:C22H43N5O12·nH2SO4(n≤2)
结构式:
包装:安瓿
装量:100mg/支
储存条件:置4℃以下条件低温保存。
除了异帕米星,,我公司还供应以下相关产品:
BP0002 安乃近 200mg/支
BP0017 对乙酰氨基酚 1克/支
BP0254 倍他环糊精 100mg/支
BP0353 丹皮酚磺酸钠 100mg
BP0640 盐酸乌拉地尔 100mg
BP0660 2,6-二甲基苯* 100mg/支
BP0790 葡醛内酯 50mg/支
BP0944 碘佛醇杂质Ⅱ 50mg/支
BP1064 西贝母碱 约20mg/支
BP1068 百秋李醇 约30mg/支
BP1098 原儿茶醛 20mg/支
BP1216 紫丁香苷 20mg/支
BP1237 甘草苷 20mg/支
BP1441 对羟基苯乙酮 20mg/支
BP1504 雷公藤内酯酮 20mg/支
BP1633 头孢曲松 200mg/支
BP1698 阿洛西林 100mg/支
BP1741 法罗培南S异构体(非对映异构体) 20mg
BP1921 双唾液酸二己糖神经节苷脂钠 5mg/瓶
BP1956 盐酸罂*碱 100mg/支
BP2194 红地那非 30mg/支
风险提示:丁香通仅作为第三方平台,为商家信息发布提供平台空间。用户咨询产品时请注意保护个人信息及财产安全,合理判断,谨慎选购商品,商家和用户对交易行为负责。对于医疗器械类产品,请先查证核实企业经营资质和医疗器械产品注册证情况。
- 作者
- 内容
- 询问日期
技术资料暂无技术资料 索取技术资料
异帕米星
¥380 - 3800










