相关产品推荐更多 >
万千商家帮你免费找货
0 人在求购买到急需产品
- 详细信息
- 文献和实验
- 技术资料
- 库存:
338
- 英文名:
Chonglou saponin VII
- CAS号:
68124-04-9
- 保质期:
长期
- 供应商:
北京百奥莱博科技有限公司
- 规格:
20mg/支
特别提示:包括重楼皂苷VII在内,本公司的所有产品仅可用于科研实验,严禁用于临床医疗及其他非科研用途!
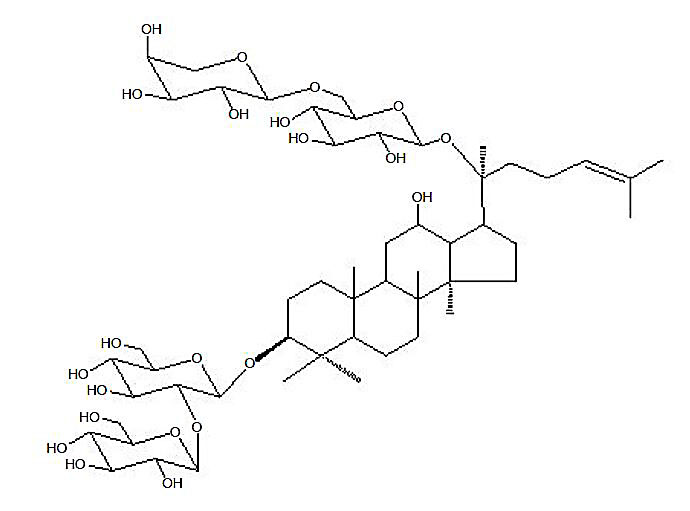
产品名称:重楼皂苷VII
英文名称:Chonglou saponin VII
产品货号:BP1230
产品规格:20mg/支
本品为重楼皂苷VII化学对照品,供含量测定用,含量以94.0%计,使用前不需干燥处理。
CAS号:68124-04-9
分子式:C51H82O21
分子量:1031.18
结构式:
包装:棕色安瓿瓶
装量:约20mg/支
储存条件:冷冻保存。
除了重楼皂苷VII,,我公司还供应以下相关产品:
名称:奥沙利铂
货号:BP0447
规格:100mg
本品为奥沙利铂化学对照品,供含量测定用,使用前不需干燥处理,含量以99.9%计。
分子式:C8H14N2O4Pt
分子量:397.29
CAS号:61825-94-3
包装及装量:棕色西林瓶,约100mg/支
储存条件:遮光,密封保存。
注意事项:使用前不需干燥处理。
名称:苯溴马隆
货号:BP0520
规格:100mg
名称:尼莫地平杂质Ⅰ
货号:BP0841
规格:100mg/支
本品为尼莫地平杂质Ⅰ化学对照品,供检查用,使用前不需干燥处理。供HPLC法检查用,按C21H24N2O7计,含量为87.0%。
CAS号:85677-93-6
分子式:C21H24N2O7
分子量:416.42
结构式:
包装:棕色安瓿瓶规格:约100毫克/支
储存条件:遮光,密封保存
名称:二甲基甲酰胺
货号:BP1243
规格:0.5ml
本品为二甲基甲酰胺化学对照品,供气相内标用。
分子式:C3H7NO
分子量:73.1
包装及装量:安瓿瓶。
储存条件:干燥密闭保存。
注意事项:使用前无需处理。
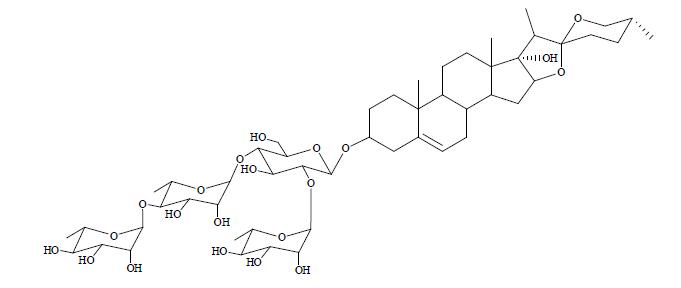
名称:人参皂苷Rb2
货号:BP1314
规格:约10mg/支
本品为人参皂苷Rb2化学对照品,供供鉴别或含量测定用,含量以93.8%计。
CAS号:11021-13-9
分子式:C53H90O22
分子量:1079.27
结构式:
包装及装量:棕色安瓿瓶,约20mg/支
储存条件:冷冻保存
注意事项:使用前无需干燥处理。本品有引湿性,打开包装后一次使用完毕。
名称:L-门冬氨酸
货号:BP1834
规格:约100mg/瓶
本品为门冬氨酸化学对照品,含量以C4H7NO4计为99.9%,供氨基酸鉴别及含量测定使用。
CAS号:56-84-8
分子式:C4H7NO4
分子量:133.10
包装:棕色西林瓶
规格:约100mg/瓶
储存条件:避光,密封保存
名称:脱苏氨醇8奥曲肽
货号:BP1893
规格:2mg/瓶
名称:游离前列腺特异抗原(fPSA)
货号:BP1943
规格:170ng/支
本品为游离前列腺特异性抗原免疫测定用标准品,以提取人PSA为原料制备,供fPSA定量标记免疫分析使用,适用于化学发光、时间分辨免疫荧光等方法。
性状:白色冻干粉末
包装:白色安瓿瓶
规格:每支安瓿内含牛血清白蛋白5 mg,甘露醇30 mg,磷酸盐微量,本品为冻干品。
特性量值:溯源至fPSA国际标准品(NIBSC 96/668),经协作标定,每支安瓿内 fPSA免疫活性为170 ng。
使用方法和要求:使用时应先用 500μl 去离子水将内容物完全复溶,再选择适当的稀释液配制成所需浓度。稀释液建议使用时以含 0.5-1 %的人血清白蛋白(HSA)或牛血清白蛋白(BSA)的10mM磷酸盐缓冲液(pH=7.2-7.4)或其他含蛋白的中性缓冲体系。
储存条件:-20℃,避免反复冻融。
风险提示:丁香通仅作为第三方平台,为商家信息发布提供平台空间。用户咨询产品时请注意保护个人信息及财产安全,合理判断,谨慎选购商品,商家和用户对交易行为负责。对于医疗器械类产品,请先查证核实企业经营资质和医疗器械产品注册证情况。
文献和实验Identification of Mutations in the Human Factor VII Gene
It has been recognized from the early 1800s that activation of coagulation can be initiated by the exposure of subendothelial layers (tissue factor), but it was the 1940s before factor VII (FVII) was included in this event
学(1996,本科用教材)基础上,由任课教师零散收集国外最新相关书籍(如Benjamin Lewin 著Gene VII)中的有关内容进行讲授,知识陈旧、缺乏系统性和规范性已成为阻碍我国研 究生教育发展的重要限制因素。 在此形势下,及时追踪国际最新进展,总结国内研究成果,出版一部研究生用《Gene VII 中译本》教材,以新的知识和技术来指导高校生物技术领域的教学和科研,提高教学 和科研人员的理论水平和科技创新技能,提升我国高等学校研究生教育水平,迫切需要。 《Gene VII 中译
Induction of Experimental Epidermolysis Bullosa Acquisita by Immunization with Murine Collagen VII
Epidermolysis bullosa acquisita (EBA) is an autoimmune subepidermal blistering disease caused by an autoreactive response against collagen VII, the major constituent of the anchoring fibrils at the epidermal basement membrane. The pathogenic
技术资料暂无技术资料 索取技术资料










