相关产品推荐更多 >
万千商家帮你免费找货
0 人在求购买到急需产品
- 详细信息
- 文献和实验
- 技术资料
- 库存:
226
- 英文名:
Oleum cinnamomi
- 保质期:
长期
- 供应商:
北京百奥莱博科技有限公司
- 保存条件:
冷藏
- 规格:
0.2ml
特别提示:包括肉桂油在内,本公司的所有产品仅可用于科研实验,严禁用于临床医疗及其他非科研用途!
产品名称:肉桂油
英文名称:Oleum cinnamomi
产品货号:BP1202
产品规格:0.2ml
除了肉桂油,,我公司还供应以下相关产品:
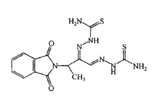
名称:酞丁安
货号:BP0052
规格:50mg/支
本品为酞丁安(Ftibamzone)的化学对照品,供含量测定用。105℃干燥1小时后使用,供UV法测定,按C14H15N7O2S2计,含量为81.3%。
分子式:C14H15N7O2S2
结构式:
分子量:377.45
CAS号:210165-00-7
包装:棕色西林瓶
装量:约50毫克/支
储存条件:遮光,密闭,10~30℃保存。
名称:碘佛醇杂质Ⅱ
货号:BP0944
规格:50mg/支
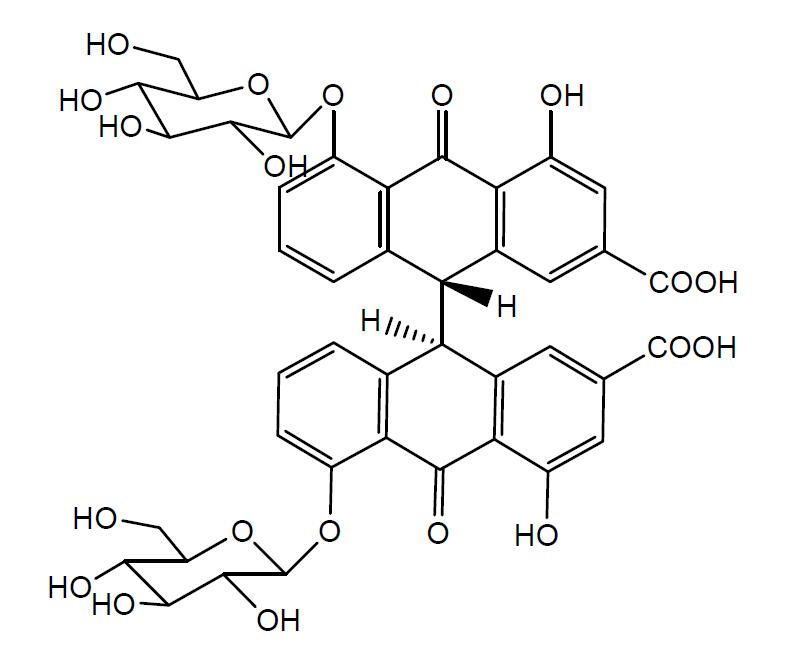
名称:番泻苷A
货号:BP1110
规格:20mg/支
本品为番泻苷A化学对照品,供含量测定用,使用前不需干燥处理,含量以95.2%计。
CAS号:81-27-6
分子式:C42H38O20
分子量:862.74
结构式:
包装:棕色安瓿瓶
规格:约20mg/支
储存条件:冷冻保存
注意事项:本品有引湿性,打开包装后一次使用完毕。
名称:5,7,3",4",5"-五甲氧基黄酮
货号:BP1347
规格:20mg
名称:紫苏烯
货号:BP1398
规格:约0.1ml/支
本品为紫苏烯化学对照品,供鉴别及含量测定用,含量以98.9%计。
分子式:C10H14O
分子量:150.22
包装及装量:棕色安瓿瓶,每支约0.1ml。
储存条件:冷藏保存。
注意事项:使用前无需处理,本品挥发性极强,打开包装后立即使用,一次使用完毕。
名称:1-甲基海因
货号:BP1400
规格:20mg
本品为1-甲基海因化学对照品,供相关物质鉴别用。
分子式:C4H6N2O2
分子量:114
包装及装量:棕色瓶。
储存条件:室温干燥保存。
注意事项:使用前无需处理。
名称:新品红
货号:BP1488
规格:约20mg/支
本品为新品红化学对照品。
CAS号:3248-91-7
分子式:C22H24N3Cl
分子量:365.9
结构式:
包装及装量:棕色瓶,约20mg/支
储存条件:干燥密闭保存
注意事项:使用前无需处理,本品为新品红、品红I和品红II的混合物,新品红约占71.5%
名称:L-谷氨酰胺
货号:BP1844
规格:600mg/瓶
本品为L-谷氨酰胺化学对照品,含量以C5H10N2O3计为99.6%,供鉴别、其他氨基酸检查、有关物质检查、溶出度检查与含量测定。使用前60℃减压干燥至恒重。
CAS号:56-85-9
分子式:C5H10N2O3
分子量:146.15
结构式:
包装及装量:棕色西林瓶600mg/瓶
储存条件:室温阴凉避光保存
名称:促黄体生成素(LH)
货号:BP1973
规格:3支/套,0.5ml/支
本品为促黄体生成激素质控血清(LH质控血清),供免疫测定用。
1、是以LH纯品为原料加入至新鲜正常人混合血清制备而成。
2、本套质控血清为冻干品,3支/套,0.5ml/支。
3、使用时应用0.5ml去离子水将内容物完全溶解,充分混合后使用。
4、质控血清I理论值为6mIU/ml;
质控血清Ⅱ理论值为20mIU/ml;
质控血清Ⅲ理论值为60mIU/ml。
由于免疫分析体系不同,各公司测定结果存在一定差异,数据仅供参考。
5、本套质控血清长期保存应在-20℃及以下;复融后尽可能一次性用完,如确需多次使用,请分装后-20℃及以下保存,避免反复冻融。
6、本套质控血清不具备溯源性,不能用于定值,可用于LH精密度分析或其他免疫分析。
名称:油酸聚氧乙*酯
货号:BP2059
规格:0.3ml/支
本品为油酸聚氧乙*酯化学对照品,供油酸聚氧乙*酯品种红外鉴别用,使用前不需干燥处理。
CAS号:9004-96-0
分子式:C17H33COO(C2H4O)n·H
包装:安瓿瓶
规格:约0.3ml/支
储存条件:常温保存
名称:pH标准缓冲溶液(pH=12.45)
货号:GL1370
规格:50ml|100ml|500ml
用途:
校正pH计或酸度计
注意事项:
该pH值是指在25℃条件下的值,误差范围在0.01,注意密闭保存。
储存条件:4℃,12个月
风险提示:丁香通仅作为第三方平台,为商家信息发布提供平台空间。用户咨询产品时请注意保护个人信息及财产安全,合理判断,谨慎选购商品,商家和用户对交易行为负责。对于医疗器械类产品,请先查证核实企业经营资质和医疗器械产品注册证情况。
文献和实验相关实验
、手帕和头发等处。香水中约含香精15~25%。配制用的酒精浓度约为95%,一般要经过精制和去除杂味。香水种类繁多,下面介绍古龙水和花露水。古龙水的配方是:香柠檬油1.2%、迷迭香油0.1%、苦橙花油0.5%、薰衣草油0.05%、柠檬油0.6%、唇形花油0.05%、龙涎香酊(3%)0.5%、橙花水5%、酒精(95%)92%。花露水的配方是:香柠檬油3.0%、苦橙花油0.6%、薰衣草油0.6%、丁香油0.2%、肉桂油0.5%、玫瑰油0.6%,酒精(95%)94.6%。 (3)唇膏 它点辍
防腐剂的研究开发就显得越来越重要。人们开始关注食品添加剂的安全性,从而对天然食品添加剂寄予厚望,开发天然营养多功能的食品添加剂是食品工业的发展方向。其中的植物精油是一类天然植物性添加剂,能够矫正食品的异味、赋予香气,有的还有着色、抗氧化、抗菌(防腐)以及生理药理作用。作为天然防腐剂的重要来源之一,从植物精油中筛选出高效、经济、安全的防腐物质用作食品防腐剂,具有广阔的应用前景。如肉桂油在食品中作为天然的食用香料广泛应用,几乎涉及各个方面,主要用于软饮料、糖果、罐头食品、焙烤食品、酒类和烟草
技术资料暂无技术资料 索取技术资料
肉桂油
¥380 - 3800










