相关产品推荐更多 >
万千商家帮你免费找货
0 人在求购买到急需产品
- 详细信息
- 技术资料
- 库存:
248
- 英文名:
Mexiletine Hydrochloride
- CAS号:
5370-01-04
- 保质期:
长期
- 供应商:
北京百奥莱博科技有限公司
- 保存条件:
遮光,密封,10~30℃
- 规格:
100mg/支
特别提示:包括盐酸美西律在内,本公司的所有产品仅可用于科研实验,严禁用于临床医疗及其他非科研用途!
产品名称:盐酸美西律
英文名称:Mexiletine Hydrochloride
产品货号:BP0178
产品规格:100mg/支
本品为盐酸美西律的化学对照品,供含量测定用。105℃干燥2小时后使用。按C11H17NO·HCl计,供HPLC法测定,含量为99.6%;供UV法测定,含量为99.9%。
分子式:C11H17NO·HCl
分子量:215.72
CAS号:5370-01-04
包装:棕色西林瓶
规格:约100毫克/支
储存条件:遮光,密封,10~30℃保存。
除了盐酸美西律,,我公司还供应以下相关产品:
名称:醋酸甲萘氢*
货号:BP0186
规格:100mg
本品为醋酸甲萘氢*化学对照品,供HPLC法含量测定用,按C15H14O4计,含量为100%。
分子式:C15H14O4
分子量:258.27
CAS号:573-20-6
包装及装量:棕色小瓶装,每支约100毫克。
储存条件:遮光,密封保存
注意事项:使用前不需干燥处理。
名称:苯甲*钠
货号:BP0341
规格:50mg
本品为苯甲*钠化学对照品,供含量测定用。
分子式:C7H5Na2O2
分子量:144.11
CAS号:532-32-1
包装及装量:棕色小瓶装,每支约50毫克。
储存条件:遮光,密闭保存。
注意事项:105℃干燥2小时后使用。
名称:赖氨匹林
货号:BP0403
规格:100mg/支
本品为赖氨匹林化学对照品,使用前不需干燥处理。供UV法测定,按C15H22N2O6计,含量为99.9%。
分子式:C15H22N2O6
分子量:326.36
CAS号:62952-06-1
包装:安瓿装
装量:约100mg/支
储存条件:遮光,密封,-20℃保存
名称:4-异丁*苯甲*
货号:BP0555
规格:50mg
本品为4-异丁*苯甲*化学对照品,为布洛芬杂质,供HPLC检查用,按C11H14O2计,含量为100%。
CAS号:38861-88-0
分子式:C11H14O2
分子量:178.23
包装及装量:西林瓶装,每支约50毫克。
储存条件:遮光,密封保存。
注意事项:使用前不需干燥处理。
名称:喷昔洛韦
货号:BP0592
规格:100mg/支
本品为喷昔洛韦化学对照品,105℃干燥2小时后使用,供HPLC法含量测定用,按C10H15N5O3计,含量为99.8%。
CAS号:39809-25-1
分子式:C10H15N5O3
分子量:253.26
结构式:
包装:棕色西林瓶
规格:约100毫克/支
储存条件:遮光,密闭,10~30℃保存。
名称:去甲斑蝥酸钠
货号:BP0749
规格:10mg
本品为去甲斑蝥酸钠化学对照品,供红外光谱鉴别用,室温减压干燥12小时后使用。
分子式:C8H8Na2O5
分子量:230.13
包装及装量:棕色西林瓶装,每支约10毫克。
储存条件:遮光,密封保存。
注意事项:室温减压干燥12小时后使用。
名称:盐酸丁螺环酮
货号:BP0772
规格:100mg
本品为盐酸丁螺环酮化学对照品,供UV法测定,按C21H31N5O2·HCl计,含量为99.8%。
CAS号:33386-08-2
分子式:C21H31N5O2·HCl
分子量:421.96
包装及装量:棕色小瓶装,每支100毫克。
储存条件:遮光,密封保存。
注意事项:使用前不需干燥处理。
名称:硝酸奥昔康唑
货号:BP0797
规格:100mg
本品为硝酸奥昔康唑化学对照品,供HPLC法测定,按C18H13Cl4N3O·HNO3计,含量为100.0%。
CAS号:64211-46-7
分子式:C18H13Cl4N3O·HNO3
分子量:492.15
包装及装量:棕色小瓶装,每支约100毫克。
储存条件:遮光,密封保存。
注意事项:使用前不需干燥处理。
名称:亚甲蓝
货号:BP0846
规格:100mg
本品为亚甲蓝三水合物,供含量测定用,供UV法测定,按C16H18ClN3S计,含量为83.4%。
CAS号:7220-79-3
分子式:C16H18ClN3S·3H2O
分子量:373.90
包装及装量:棕色西林瓶装,每支约100毫克。
储存条件:遮光,密封保存。
注意事项:使用前不需干燥处理,本品具有引湿性,建议打开包装后一次性使用完毕。
名称:吲哚美辛杂质I(2-甲基-5-甲氧基-1H-吲哚-3-乙酸)
货号:BP0962
规格:50毫克/支
本品为吲哚美辛杂质I(2-甲基-5-甲氧基-1H-吲哚-3-乙酸)化学对照品,供检查用。室温减压干燥24小时后使用,供HPLC法测定,按C12H13NO3计,含量为100%。
CAS号:2882-15-7
分子式:C12H13NO3
分子量:219.24
包装:安瓿瓶
规格:约50毫克/支
储存条件:遮光,密闭,2~8℃保存。
名称:人参三醇
货号:BP1014
规格:20mg/支
本品为人参三醇化学对照品,供相关物质鉴别用,使用不需干燥处理。
CAS号:32791-84-7
分子式:C30H52O4
分子量:476.7
结构式:
包装:棕色安瓿瓶。
装量:约20mg/支
储存条件:冷处(2~10℃)保存。
名称:亮氨酸
货号:BP1147
规格:100mg
本品为亮氨酸化学对照品,供相关物质鉴别用。
包装及装量:棕色瓶,每支约100毫克
储存条件:干燥密闭保存。
名称:二十八烷醇
货号:BP1166
规格:10mg
名称:氢溴*槟榔碱
货号:BP1290
规格:30mg/支
本品为氢溴*槟榔碱化学对照品,供含量测定用,含量以99.8%计,置*氧化二磷干燥器中减压干燥12小时以上使用。
CAS号:300-08-3
分子式:C8H13NO2·HBr
分子量:236.12
结构式:
包装:棕色安瓿
装量:约30mg/支
储存条件:阴凉处保存
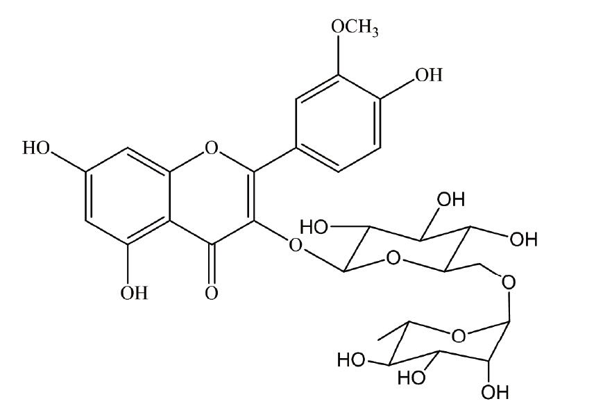
名称:水仙苷
货号:BP1525
规格:20mg/支
本品为水仙苷化学对照品,供含量测定用,含量93.1%计,使用前不需干燥处理。
CAS号:604-80-8
分子式:C28H32O16
分子量:624.54
结构式:
包装:棕色安瓿瓶
规格:约20mg/支
储存条件:冷处(2-10℃)保存
注意事项:本品具有引湿性,建议打开包装一次性使用完。
名称:云芝胞内糖肽
货号:BP1835
规格:0.2g
本品为云芝胞内糖肽化学对照品,供云芝胞内糖肽鉴别测定用,使用前不需干燥处理。
包装:棕色小瓶
规格:每支200mg
储存条件:密封,阴凉干燥处保存。
名称: 脱氧核糖鸟嘌呤核苷酸钠(G)
货号:BP1854
规格:20mg/瓶
本品为脱氧核糖鸟嘌呤核苷酸钠化学对照品,以脱氧核糖鸟嘌呤核苷酸计为89.3%,供脱氧核苷酸鉴别及含量测定用。
分子式:C10H14N5O7P
分子量:347.22
包装:棕色瓶
装量:约20mg/支
储存条件:-20℃低温保存
注意事项:使用前不需干燥。
名称:酮亮氨酸钙
货号:BP1902
规格:220mg/瓶
本品为酮亮氨酸钙化学对照品,含量以C12H18CaO6计为89.4%,供鉴别与含量测定。
CAS号:51828-95-6
分子式:C12H18CaO6
结构式:
分子量:298.35
包装及装量:2ml棕色西林瓶轧铝盖220mg/瓶。
储存条件:2-8℃保存。
风险提示:丁香通仅作为第三方平台,为商家信息发布提供平台空间。用户咨询产品时请注意保护个人信息及财产安全,合理判断,谨慎选购商品,商家和用户对交易行为负责。对于医疗器械类产品,请先查证核实企业经营资质和医疗器械产品注册证情况。
技术资料暂无技术资料 索取技术资料
盐酸美西律
¥380 - 3800









