万千商家帮你免费找货
0 人在求购买到急需产品
- 详细信息
- 文献和实验
- 技术资料
- 库存:
340
- 英文名:
Dehydrodiisoeugenol
- CAS号:
2680-81-1
- 保质期:
长期
- 供应商:
北京百奥莱博科技有限公司
- 保存条件:
常温
- 规格:
20mg
特别提示:包括去氢二异丁香酚在内,本公司的所有产品仅可用于科研实验,严禁用于临床医疗及其他非科研用途!
产品名称:去氢二异丁香酚
英文名称:Dehydrodiisoeugenol
产品货号:BP1401
产品规格:20mg
本品为去氢二异丁香酚化学对照品,供含量测定用,含量以99.2%计,使用前不需干燥处理。
CAS号:2680-81-1
分子式:C20H22O4
分子量:326.4
结构式:
包装及装量:棕色安瓿瓶,约20mg/支
储存条件:常温密封保存
注意事项:本品略有引湿性,打开包装后一次使用完毕。
除了去氢二异丁香酚,,我公司还供应以下相关产品:
名称:甲萘醌
货号:BP0027
规格:100mg
名称:甲芬那酸
货号:BP0156
规格:100mg
本品为甲芬那酸(Mefenamic Acid)的化学对照品,按C15H15NO2计,含量为99.8%。
分子式:C15H15NO2
分子量:241.29
CAS号:61-68-7
包装及装量:棕色小瓶装,每支约100毫克。
储存条件:遮光,密封保存。
注意事项:使用前不需干燥处理。
名称:富马酸异丙吡仑
货号:BP0350
规格:100mg
名称:消旋瑞格列奈
货号:BP0655
规格:20mg
本品为消旋瑞格列奈化学对照品,供系统适用性试验用。
分子式:C27H36N2O4
分子量:452.59
包装及装量:西林瓶装,每支约20毫克。
储存条件:遮光,密封保存。
注意事项:使用前不需要干燥处理。
名称:水杨酸乙二醇
货号:BP0661
规格:200mg/支
名称:N-甲基帕罗西汀
货号:BP0833
规格:50mg
名称:坎利酮
货号:BP0877
规格:50mg
名称:右旋布洛芬
货号:BP0878
规格:100mg
本品为右旋布洛芬化学对照品,供含量测定用。供HPLC法测定,按C13H18O2计,含量为99.9%。
CAS号:51146-56-6
分子式:C13H18O2
分子量:206.28
包装及装量:棕色小瓶装,每支约100毫克。
储存条件:干燥,密封保存。
注意事项:使用前不需干燥处理。
名称:碘帕醇
货号:BP0993
规格:100mg/支
本品为碘帕醇化学对照品,供含量测定用。105℃干燥2小时后使用。供HPLC法测定,按C17H22I3N3O8计,含量为99.6%。
CAS号:60166-93-0
分子式:C17H22I3N3O8
分子量:777.09
结构式:
包装:棕色西林瓶装
规格:约100毫克/支
储存条件:遮光,密闭,10~30℃保存
名称:柠檬苦素(吴茱萸内酯)
货号:BP1089
规格:约20mg/支
本品为柠檬苦素(吴茱萸内酯)化学对照品,供含量测定用,使用前不需干燥处理。含量以97.9%计。
CAS号:1180-71-8
分子式:C26H30O8
分子量:470.51
结构式:
包装:棕色安瓿瓶
规格:约20毫克/支
储存条件:冷冻保存
注意事项:本品*醇溶液不稳定,临用现配。
名称:苦玄参苷IA
货号:BP1335
规格:20mg
名称:栎瘿酸
货号:BP1419
规格:20mg/支
本品为栎瘿酸化学对照品,供薄层鉴别用。
CAS号:6812-81-3
分子式:C30H48O2
分子量:440.37
结构式:
包装:棕色瓶
规格:约20mg/支
储存条件:冷处(2-10℃)保存
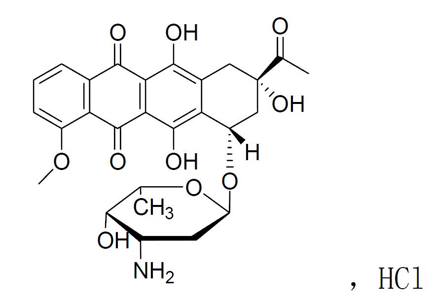
名称:柔红霉素
货号:BP1695
规格:50mg
本品为柔红霉素化学对照品,供HPLC法含量测定用,以C27H29NO10计,每支含柔红霉素为19.6mg,使用前不需干燥处理。整支溶解使用。
CAS号:20830-81-3
分子式:C27H29NO10·HCl
分子量:563.98
结构式:
包装:白色西林瓶
规格:约20mg/支
储存条件:置2-8℃遮光保存。
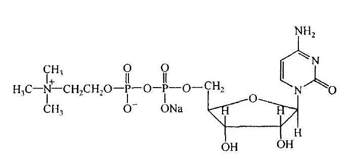
名称:胞磷胆碱钠
货号:BP1823
规格:50mg/瓶
本品为胞磷胆碱钠化学对照品,供含量以C14H25N4NaO11P2计为100.0%,供胞磷胆碱钠及其制剂的鉴别与含量测定使用。
CAS号:33818-15-4
分子式:C14H25N4NaO11P2
分子量:510.31
结构式:
包装:棕色西林瓶
装量:约50mg/瓶
储存条件:遮光,阴凉干燥处
注意事项:使用前100℃减压干燥5小时,干燥后应尽快使用,避免再次吸潮。
名称:矛头蝮蛇血凝酶对照品
货号:BP1913
规格:1mg/瓶
本品为矛头蝮蛇血凝酶对照品,供矛头蝮蛇血凝酶鉴别及检查用。
包装:2ml西林瓶
规格:1mg/瓶
储存条件:-20℃保存
注意事项:开封后一次性使用。
名称:甲胎蛋白(AFP)免疫测定用国家标准物质
货号:BP1941
规格:645IU/780ng/支
本品为甲胎蛋白免疫测定用标准品,以脐带血提取的甲胎蛋白为原料制备,供AFP 免疫分析使用,适用于化学发光、时间分辨免疫荧光等方法。与质量浓度的换算关系为 1IU=1.21ng,本标准品相当于780ng/支。
性状:白色冻干粉末
包装:白色安瓿瓶
规格:每支安瓿内含赋形剂有人血清白蛋白(HSA)10mg,磷酸盐微量,本品为冻干品。
特性量值:溯源至AFP国际标准品(NIBSC AFP),经协作标定,每支安瓿内含AFP 645IU(相当于780 ng)。
使用方法和要求:使用时应先用 500μl 去离子水将内容物完全复溶,再选择适当的稀释液配制成所需浓度。稀释液建议使用时以含 0.5-1%的人血清白蛋白(HSA)或牛血清白蛋白(BSA)的10mM磷酸盐缓冲液(pH=7.2-7.4)或其他含蛋白的中性缓冲体系。
储存条件:-20℃,避免反复冻融。
注意事项:
1.本品具有潜在生物危害,请勿随意处置。
2.配制较高浓度如>645IU/ml 时,可能会因稀释液问题带来测定结果的偏差。
风险提示:丁香通仅作为第三方平台,为商家信息发布提供平台空间。用户咨询产品时请注意保护个人信息及财产安全,合理判断,谨慎选购商品,商家和用户对交易行为负责。对于医疗器械类产品,请先查证核实企业经营资质和医疗器械产品注册证情况。
文献和实验化数有正、负之分,而共价则无正、负。元素的化合价只能是整数,而元素的氧化数可是整数�可是分数。 例1:求Na2S4O6中S的氧化数。 解:设Na2S4O6中S的氧化数为x: 2×1+4x+6×(-2)=0 4x=10 x=+(5/2) 即Na2S4O6中S的氧化数为+(5/2)。 (二)氧化还原的概念 在化学发展的初期,氧化是指物质与氧化合的过程,还原是指物质失去氧的过程
,适用于盆腔感染、妇科感染及腹腔等需氧与厌氧菌混合感染。 (二)拉氧头孢 拉氧头孢(latamoxef)又名羟羧氧酰胺菌素(moxalactam),化学结构属氧头孢烯,1位硫为氧取代,7位碳上也有甲氧基,抗菌谱广,抗菌活性与头孢噻肟相仿,对革兰阳性和阴性菌及厌氧菌,尤其脆弱拟杆菌的作用强,对β-内酰胺酶极稳定,血药浓度维持较久。 (三)硫霉素类 硫霉素(thienamycin)化学结构属碳青霉烯类,噻唑环有饱和链,1位硫为碳取代,抗菌谱广,抗菌作用强,毒性低,但稳定
胆碱受体阻断药:哌伦西平( pirenzepine ) 胃泌素受体阻断药:丙谷胺( proglumide ) 二 . 黏膜保护药 前列腺素衍生物:米索前列醇( misoprostol ) : 对阿司匹林类药物引起的消化性溃疡有特效。因可引起子宫收缩,孕妇禁用。 硫糖铝( sulcrafate ) 枸橼酸铋钾 (bismuth potassium citrate) [ 作用机制 ] : 1. 胃液 pH 条件下能形成胶体沉着于溃疡
技术资料暂无技术资料 索取技术资料










