相关产品推荐更多 >
万千商家帮你免费找货
0 人在求购买到急需产品
- 详细信息
- 技术资料
- 库存:
406
- 英文名:
dl-α-Tocopherol
- CAS号:
10191-41-0
- 保质期:
长期
- 供应商:
北京百奥莱博科技有限公司
- 保存条件:
于2-8℃
- 规格:
0.5ml
特别提示:包括dl-α-生育酚在内,本公司的所有产品仅可用于科研实验,严禁用于临床医疗及其他非科研用途!
产品名称:dl-α-生育酚
英文名称:dl-α-Tocopherol
产品货号:BP2101
产品规格:0.5ml
本品为dl-α-生育酚化学对照品,仅供油酸钠品种项下dl-α生育酚薄层色谱检查用。
CAS号:10191-41-0
分子式:C29H50O2
分子量:430.7
结构式:
包装:棕色安瓿
规格:约0.5ml/支
储存条件:于2-8℃保存
除了dl-α-生育酚,,我公司还供应以下相关产品:
名称:猪去氧胆酸
货号:BP0073
规格:100mg/支
本品为猪去氧胆酸(Hyodeoxycholicacid)的化学对照品,使用前不需干燥处理。供TLC法含量测定、鉴别用。按C24H40O4计,含量为99.7%。
分子式:C24H40O4
结构式:
分子量:392.58
CAS号:83-49-8
包装及装量:棕色西林瓶装,每支约100mg。
储存条件:密封保存。
名称:醋酸钠
货号:BP0567
规格:100mg
本品为醋酸钠化学对照品,120℃干燥2小时后使用,供HPLC法测定,按C2H3NaO2计,含量为100%。
CAS号:127-09-3
分子式:C2H3NaO2
分子量:82.03
包装:棕色安瓿。
装量:约100毫克/支。
储存条件:密封,在阴凉干燥处保存。
注意事项:本品极具引湿性,建议在相对湿度不超过30%的条件下使用。
名称:瑞格列奈
货号:BP0579
规格:100mg/支
本品为瑞格列奈化学对照品,供含量测定用。105℃干燥2小时后使用。供HPLC法测定,按C27H36N2O4计,含量为99.8%。
CAS号:135062-02-1
分子式:C27H36N2O4
分子量:452.59
包装及装量:棕色西林瓶,每支约100毫克。
储存条件:遮光,密封保存。
名称:盐酸阿扑*啡
货号:BP0637
规格:100mg/支
本品为盐酸阿扑*啡化学对照品,105℃干燥2小时后使用。供HPLC法含量测定用,按C17H17NO2·HCl计,含量为99.0%。
分子式:C17H17NO2·HCl
分子量:303.78
CAS号:314-19-2
包装:棕色西林瓶装。
装量:约100mg/支。
储存条件:遮光,密封保存。
名称:福辛普利钠
货号:BP0709
规格:100mg/支
本品为福辛普利钠化学对照品,供HPLC法测定用,按C30H45NNaO7P计,含量为99.6%,使用前不需干燥处理。
CAS号:88889-14-9
分子式:C30H45NNaO7P
分子量:585.65
包装:棕色安瓿瓶
规格:约100毫克/支
储存条件:遮光,2-8℃密闭保存
名称:盐酸贝凡洛尔
货号:BP0755
规格:100mg
名称:帕拉米韦三水合物
货号:BP0905
规格:100mg
本品为帕拉米韦三水合物,供HPLC法测定,按C15H28N4O4计,含量为85.5%。
CAS号:1041434-82-5Z
分子式:C15H28N4O4·3H2O
分子量:382.47
包装及装量:棕色小瓶装,每支约100毫克。
储存条件:遮光,密封保存。
注意事项:使用前不需干燥处理。
名称:靛玉红
货号:BP1024
规格:20mg
本品为靛玉红化学对照品,供鉴别或含量测定用。
分子式:C16H10N2O2
分子量:262.26
包装及装量:棕色瓶。
储存条件:干燥密闭保存。
注意事项:置五*化二磷减压干燥器中干燥12小时后使用。
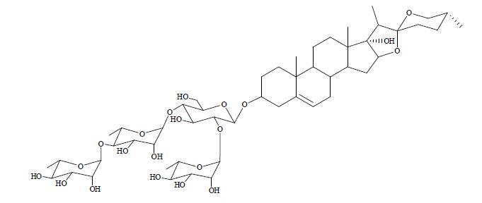
名称:三七皂苷R1
货号:BP1044
规格:约20mg/支
本品为三七皂苷R1化学对照品,供鉴别和含量测定用,使用前不需干燥处理。含量以95.0%计。
CAS号:80418-24-2
分子式:C47H80O18
分子量:933.13
结构式:
包装:棕色安瓿
规格:约20mg/支
储存条件:冷冻保存
注意事项:本品有引湿性,开封后一次使用完毕。
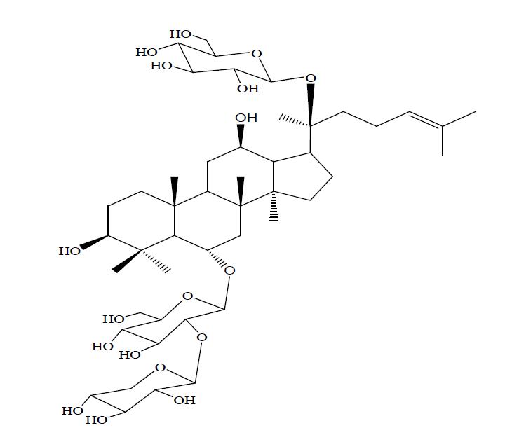
名称:重楼皂苷VII
货号:BP1230
规格:20mg/支
本品为重楼皂苷VII化学对照品,供含量测定用,含量以94.0%计,使用前不需干燥处理。
CAS号:68124-04-9
分子式:C51H82O21
分子量:1031.18
结构式:
包装:棕色安瓿瓶
装量:约20mg/支
储存条件:冷冻保存。
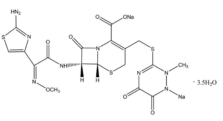
名称:头孢曲松
货号:BP1633
规格:200mg/支
本品为头孢曲松化学对照品,供高效液相法含量测定用,以头孢曲松(C18H16N8Na2O7S3)计,含量为83.9%,使用前不需要干燥处理。
CAS号:74578-69-1
分子式:C18H16N8Na2O7S3·3.5H2O
分子量:661.59
结构式:
包装:安瓿
规格:约200mg/支
储存条件:2-8℃保存
注意事项:本品建议打开包装一次性使用完毕。注意避光。
名称:二磷酸腺苷二钠
货号:BP1905
规格:20mg/瓶
本品为二磷酸腺苷二钠化学对照品,含量以C10H13N5Na2O10P2计为85.3%,供磷酸肌酸钠杂质检查使用。
CAS号:16178-48-6
分子式:C10H13N5Na2O10P2
分子量:471.16
包装:棕色西林瓶
规格:约20mg/瓶
储存条件:-20℃,避光
名称:三碘甲酰原氨酸(T3)
货号:BP1944
规格:50ng/支
本品为三碘甲腺原氨酸免疫测定用标准品,以高纯T3为原料制备,供T3免疫分析使用,适用于化学发光、时间分辨免疫荧光等方法。
性状:白色冻干粉末
包装:白色安瓿瓶
规格:每支安瓿内含T3 50ng,含牛血清白蛋白(BSA)2.5mg,磷酸盐微量。本品为冻干品。
特性量值:每支安瓿内含含T3 50ng。
使用方法和要求:建议使用时以含0.5-1%的人血清白蛋白(HSA)或牛血清白蛋白(BSA)的10mM磷酸盐缓冲液(pH=7.2-7.4)或其他含蛋白的中性缓冲体系将内容物完全溶解,充分混合后使用。
储存条件:-20℃,避免反复冻融。
名称:那红地那非
货号:BP2188
规格:30mg/支
本品为那红地那非化学对照品,供HPLC法检查用,以C24H32N6O3计,含量为98.3%,使用前不需干燥处理。
CAS号:949091-38-7
分子式:C24H32N6O3
分子量:452.56
结构式:
包装及装量:棕色V形西林瓶装,每支约30毫克。
储存条件:遮光
风险提示:丁香通仅作为第三方平台,为商家信息发布提供平台空间。用户咨询产品时请注意保护个人信息及财产安全,合理判断,谨慎选购商品,商家和用户对交易行为负责。对于医疗器械类产品,请先查证核实企业经营资质和医疗器械产品注册证情况。
技术资料暂无技术资料 索取技术资料
dl-α-生育酚
¥380 - 3800









