相关产品推荐更多 >
万千商家帮你免费找货
0 人在求购买到急需产品
- 详细信息
- 文献和实验
- 技术资料
- 库存:
308
- 英文名:
Amikacin
- 保质期:
长期
- 供应商:
北京百奥莱博科技有限公司
- 保存条件:
2-8℃
- 规格:
100mg
特别提示:包括阿米卡星在内,本公司的所有产品仅可用于科研实验,严禁用于临床医疗及其他非科研用途!
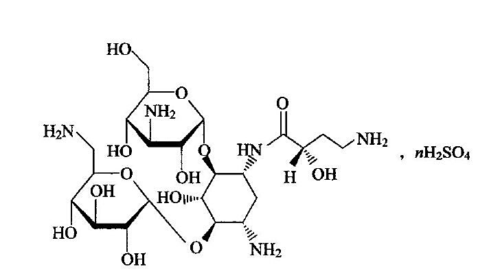
产品名称:阿米卡星
英文名称:Amikacin
产品货号:BP1562
产品规格:100mg
本品为阿米卡星标准品,供含量测定用,使用前不需干燥处理。
分子式:C22H43N5O13·2H2SO4
分子量:781.76
结构式:
包装:白色安瓿
规格:约100毫克/支
储存条件:2-8℃保存
除了阿米卡星,,我公司还供应以下相关产品:
名称:6-巯基嘌呤
货号:BP0036
规格:100mg
名称:酚酞
货号:BP0082
规格:1g/支
本品为酚酞(Phenolphthalein),用作熔点对照品105℃干燥2小时后使用,调节升温速率使每分钟上升1.5℃,熔点为263.1℃。
分子式:C20H14O4
分子量:318.33
CAS号:77-09-8
包装:棕色西林瓶。
装量:约1克/支。
储存条件:遮光,密闭保存。
名称:盐酸*啉胍
货号:BP0377
规格:50mg
本品为盐酸*啉胍化学对照品。供UV含量测定用。
分子式:C16H13N5O· HCl
分子量:207.66
CAS号:3160-91-6
包装及装量:棕色小瓶装,每支约50毫克。
储存条件:遮光,密闭保存。
注意事项:105℃干燥2小时后使用。
名称:磷酸吡哆醛
货号:BP0650
规格:100mg
名称:蛇床子素
货号:BP1108
规格:20mg/支
本品为蛇床子素化学对照品,供鉴别及含量测定用,含量以99.6%计,使用前不需干燥处理。
CAS号:484-12-8
分子式:C15H16O3
分子量:244.28
结构式:
包装:棕色安瓿瓶
装量:约20mg/支
储存条件:冷处(2-10℃)保存
名称:美罗培南
货号:BP1655
规格:100mg/支
本品为美罗培南化学对照品,供高效液相含量测定用,含量以美罗培南(C17H25N3O5S)计。
分子式:C17H25N3O5S·3H2O
分子量:437.51
结构式:
包装及装量:安瓿,100mg/支
储存条件:置4℃以下条件低温保存。
名称:庆大霉素C1a
货号:BP1662
规格:50mg/支
本品为庆大霉素C1a化学对照品,供TLC系统适用性试验用,使用前不需干燥处理。
分子式:C19H39N5O7
分子量:449.2
包装:白色安瓿
规格:50mg/支
储存条件:常温遮光保存
名称:L-门冬氨酸
货号:BP1834
规格:约100mg/瓶
本品为门冬氨酸化学对照品,含量以C4H7NO4计为99.9%,供氨基酸鉴别及含量测定使用。
CAS号:56-84-8
分子式:C4H7NO4
分子量:133.10
包装:棕色西林瓶
规格:约100mg/瓶
储存条件:避光,密封保存
风险提示:丁香通仅作为第三方平台,为商家信息发布提供平台空间。用户咨询产品时请注意保护个人信息及财产安全,合理判断,谨慎选购商品,商家和用户对交易行为负责。对于医疗器械类产品,请先查证核实企业经营资质和医疗器械产品注册证情况。
文献和实验作者:雷金娥, 袁莉, 李和平, 马列婷, 王亚文, 曾晓艳 作者单位:西安交通大学医学院第一附属医院检验科,陕西西安 710061 【摘要】 目的 了解我院鲍曼不动杆菌的耐药性及其产金属β-内酰胺酶(MBLs)的情况。方法 采用K-B纸片扩散法测定13种抗菌药物的耐药性;分别用金属螯合剂乙二胺四乙酸(EDTA)和2-巯基丙酸抑制试验测定鲍曼不动杆菌产金属β-内酰胺酶的情况。结果 91株鲍曼不动杆菌中有23株对亚胺培南耐药,其仅对阿米卡星和米诺环素耐药率较低
1.肠杆菌科细菌:氨苄西林、哌拉西林(或替卡西林、羧苄西林)、头孢唑啉、头孢呋辛、头孢他啶、头孢三嗪、头孢噻肟、环丙沙星(或诺氟沙星、氧氟沙星)、庆大霉素(或阿米卡星)、复方新诺明、呋喃妥因、氨曲南。 耐药菌株及产ESBL菌株加做:阿莫西林/CA、氨苄西林/SB、替卡西林/CA、哌拉西林/三唑巴坦、头孢吡肟、泰能、头孢他啶/CA、头孢噻肟/CA。 2 铜绿假单胞菌和不动杆菌:哌拉西林(或替卡西林、羧苄西林)、庆大霉素(或阿米卡星)、环丙沙星(或诺氟沙星、氧氟沙星)、头孢
网络 第四十章 氨基甙类抗生素及多粘菌素 第一节 氨基甙类抗生素 氨基甙类抗生素(aminoglycosides)都由氨基糖分子和非糖部分的甙元结合而成,它包括链霉素、庆大霉素、卡那霉素、西索米星以及人工半合成的妥布霉素、阿米卡星、奈替米星等。 一、氨基甙类抗生素的共性 氨基甙类抗生素的化学结构基本相似,因此具有共同特点,如水溶
技术资料暂无技术资料 索取技术资料










