相关产品推荐更多 >
万千商家帮你免费找货
0 人在求购买到急需产品
- 详细信息
- 技术资料
- 库存:
363
- 英文名:
Citicoline Sodium
- CAS号:
33818-15-4
- 保质期:
长期
- 供应商:
北京百奥莱博科技有限公司
- 保存条件:
遮光,阴凉干燥处注意事项:使用前100℃
- 规格:
50mg/瓶
特别提示:包括胞磷胆碱钠在内,本公司的所有产品仅可用于科研实验,严禁用于临床医疗及其他非科研用途!
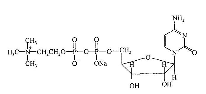
产品名称:胞磷胆碱钠
英文名称:Citicoline Sodium
产品货号:BP1823
产品规格:50mg/瓶
本品为胞磷胆碱钠化学对照品,供含量以C14H25N4NaO11P2计为100.0%,供胞磷胆碱钠及其制剂的鉴别与含量测定使用。
CAS号:33818-15-4
分子式:C14H25N4NaO11P2
分子量:510.31
结构式:
包装:棕色西林瓶
装量:约50mg/瓶
储存条件:遮光,阴凉干燥处
注意事项:使用前100℃减压干燥5小时,干燥后应尽快使用,避免再次吸潮。
除了胞磷胆碱钠,,我公司还供应以下相关产品:
| 货号 | 名称 | 规格 |
| BP0116 | 硫喷妥 | 100mg |
| BP0131 | 盐酸雷尼替丁 | 100mg/支 |
| BP0171 | 苯妥英钠 | 50mg |
| BP0192 | 磷酸苯丙哌啉 | 100mg/支 |
| BP0289 | 卡巴胆碱 | 50mg |
| BP0305 | 肾上腺色腙(卡巴克洛) | 50mg |
| BP0570 | 3米氟米特杂质III | 25微克 |
| BP0616 | 1-甲基依托度酸(依托度酸杂质) | 30mg |
| BP0697 | 吗替麦考酚酯 | 100mg/支 |
| BP0795 | 环*二胺二硝酸合铂(奥沙利铂杂质Ⅰ) | 20mg/支 |
| BP0872 | 碘海醇杂质Ⅱ | 50mg |
| BP0948 | 磷酸伯氨喹 | 200毫克/支 |
| BP0983 | 雷米普利 | 100mg/支 |
| BP0994 | 碘帕醇杂质A | 50mg/支 |
| BP1170 | 芳樟醇 | 0.2mL |
| BP1251 | 糠酸 | 20mg |
| BP1279 | 老龙皮酸(网脊衣酸A) | 0.1mg |
| BP1365 | 千金子素L1(千金子甾醇) | 20mg |
| BP1405 | 安五脂素 | 约20mg/支 |
| BP1545 | 咖啡酸苯乙酯 | 约20mg/支 |
| BP1666 | 美洛西林 | 100mg |
| BP1737 | 两性霉素B | 50mg |
| BP1899 | 消旋羟蛋氨酸钙 | 220mg/瓶 |
| BP2017 | 环拉酸钠 | 200mg |
| BP2030 | 十六醇 | 200mg/支 |
| BP2037 | D-乳糖醇一水 | 200mg |
| BP2135 | 9-羟基溴丙胺太林 | 50mg/支 |
| GL2895 | pH标准缓冲粉剂(pH=1.68) | 1L |
风险提示:丁香通仅作为第三方平台,为商家信息发布提供平台空间。用户咨询产品时请注意保护个人信息及财产安全,合理判断,谨慎选购商品,商家和用户对交易行为负责。对于医疗器械类产品,请先查证核实企业经营资质和医疗器械产品注册证情况。
技术资料暂无技术资料 索取技术资料
胞磷胆碱钠
¥380 - 3800










