相关产品推荐更多 >
万千商家帮你免费找货
0 人在求购买到急需产品
- 详细信息
- 文献和实验
- 技术资料
- 库存:
217
- 英文名:
Phenytoin Sodium
- CAS号:
630-93-3
- 保质期:
长期
- 供应商:
北京百奥莱博科技有限公司
- 规格:
50mg
特别提示:包括苯妥英钠在内,本公司的所有产品仅可用于科研实验,严禁用于临床医疗及其他非科研用途!
产品名称:苯妥英钠
英文名称:Phenytoin Sodium
产品货号:BP0171
产品规格:50mg
本品为苯妥英钠的化学对照品,供妥英钠HPLC法鉴别和含量测定及苯妥英钠片溶出度用。使用前不需要干燥,可直接使用。
CAS号:630-93-3
分子式:C15H11N2NaO2
分子量:274.25
包装及装量:棕色安瓿瓶。50mg/ 支。
储存条件:遮光,密闭保存。
注意事项:本品极具引湿性,建议打开包装后一次使用完毕。
除了苯妥英钠,,我公司还供应以下相关产品:
名称:苯妥英钠
货号:BP0171
规格:50mg
本品为苯妥英钠的化学对照品,供妥英钠HPLC法鉴别和含量测定及苯妥英钠片溶出度用。使用前不需要干燥,可直接使用。
CAS号:630-93-3
分子式:C15H11N2NaO2
分子量:274.25
包装及装量:棕色安瓿瓶。50mg/ 支。
储存条件:遮光,密闭保存。
注意事项:本品极具引湿性,建议打开包装后一次使用完毕。
名称:泛酸钠
货号:BP0222
规格:100mg
本品为泛酸钠的化学对照品,供HPLC法测定,按C9H16NNaO5计,含量为99.9%,建议RH50%以下使用。
分子式:C9H16NNaO5
分子量:241.22
CAS号:867-81-2
包装及装量:棕色小瓶装,每支约100毫克。
储存条件:室温密封保存。
注意事项:105℃干燥3小时后使用。
名称:磷酸氢钙
货号:BP0321
规格:100mg
名称:米力农杂质Ⅰ
货号:BP0778
规格:30mg/支
本品为米力农杂质Ⅰ化学对照品,使用前不需干燥处理。供HPLC法检查用,按C12H11N3O2计,含量为100%。
CAS号:80047-24-1
分子式:C12H11N3O2
分子量:229.23
包装:棕色西林瓶。
规格:约30毫克/支。
储存条件:遮光,10~30℃密闭保存。
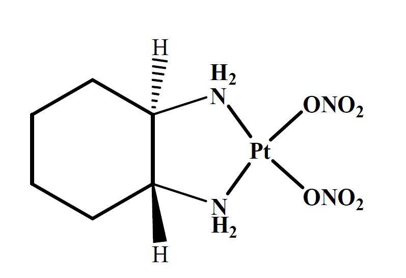
名称:环*二胺二硝酸合铂(奥沙利铂杂质Ⅰ)
货号:BP0795
规格:20mg/支
本品为环*二胺二硝酸合铂化学对照品,供奥沙利铂杂质Ⅰ检查用,使用前不需干燥处理。
CAS号:66900-68-3
分子式:C6H14N4O6Pt
分子量:433.28
结构式:
包装及装量:棕色西林瓶装,每支约20mg。
储存条件:遮光,密封保存。
名称:牛磺酸
货号:BP1242
规格:20mg/支
本品为牛磺酸化学对照品,供含量测定用,含量以100.0%计,置五氧化二*干燥器中减压干燥12小时后使用。
CAS号:107-35-7
分子式:C2H7NO3S
分子量:125.15
结构式:
包装:棕色瓶
规格:约20mg/支
储存条件:阴凉处保存
名称:右旋糖酐分子量标准(套)
货号:BP1799
规格:100mg/瓶
本品为右旋糖酐分子量标准套(10 种)化学对照品,供右旋糖酐系列与右旋糖酐铁分子量与分子量分布检查用,右旋糖酐D0 与D2000 为系统适应性试验用。
分子量:
右旋糖酐D0 Mp180;
右旋糖酐D1 Mp2700;
右旋糖酐D2 Mp5250;
右旋糖酐D3 Mp9750;
右旋糖酐D4 Mp13050;
右旋糖酐D5 Mp36800;
右旋糖酐D6 Mp64650;
右旋糖酐D7 Mp135350;
右旋糖酐D8 Mp300600;
右旋糖酐D2000 Mp2000000;
包装及装量:棕色瓶,约100mg/支
储存条件:密封, 常温保存
注意事项:本套对照品使用前不需干燥处理。
风险提示:丁香通仅作为第三方平台,为商家信息发布提供平台空间。用户咨询产品时请注意保护个人信息及财产安全,合理判断,谨慎选购商品,商家和用户对交易行为负责。对于医疗器械类产品,请先查证核实企业经营资质和医疗器械产品注册证情况。
文献和实验佚名 苯妥英钠(phenytoin sodium)为二苯乙内酰脲的钠盐。作为最常用的抗癫痫药已有半个多世纪的历史。 【药理作用机制】 苯妥英钠对各种组织的可兴奋膜,包括神经元和心肌细胞膜,有稳定作用,降低其兴奋性。这与其治疗浓度(10μmol/L以下)时即阻滞Na + 通道,减少Na +
摘要 建立了血中的苯妥英钠和苯巴比妥钠的胶束电动毛细管电泳分析方法(MEKC)。 以 25 mmol/L硼酸钠溶液(pH=8.60)、 30 mmol/L 十二烷基硫酸钠(胶束相)和甲醇30 %(φ)为缓冲液, 恒定电压 25 kV(电流30~35 μA), 检测波长200 nm, 毛细管柱长37 cm。 苯妥英钠和苯巴比妥钠两种药物质量浓度的线性范围为1.0~ 80 mg/L, 最低检出质量浓度为1.0 mg/L 。 该法为临床提供了一种高效、 快速的血中药物含量定量测定的新
四章);也可能与干扰Na + 、Ca 2+ 、K + 等阳离子通道有关,如苯妥英钠。 一、苯妥英钠 苯妥英钠(phenytoin sodium)为二苯乙内酰脲的钠盐。作为最常用的抗癫痫药已有半个多世纪的历史。 【药理作用机制】苯妥英钠对各种组织的可兴奋膜,包括神经元和心肌细胞膜,有稳定作用,降低其兴奋性。这与其治疗浓度(10μmol/L以下)时即阻滞Na + 通道,减少Na
技术资料暂无技术资料 索取技术资料










