相关产品推荐更多 >
万千商家帮你免费找货
0 人在求购买到急需产品
- 详细信息
- 技术资料
- 库存:
74
- 英文名:
Diltiazem Hydrochloride
- CAS号:
33286-22-5
- 保质期:
长期
- 供应商:
北京百奥莱博科技有限公司
- 规格:
100mg
特别提示:包括盐酸地尔硫卓在内,本公司的所有产品仅可用于科研实验,严禁用于临床医疗及其他非科研用途!
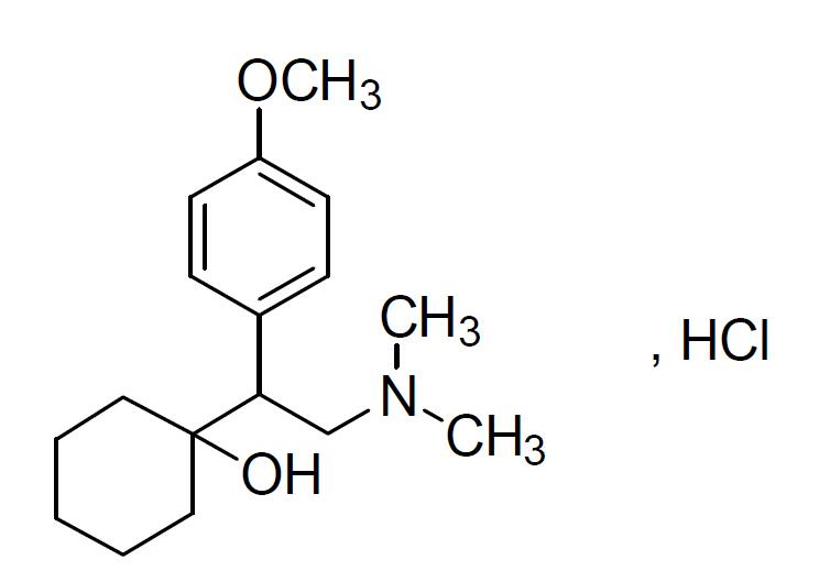
产品名称:盐酸地尔硫卓
英文名称:Diltiazem Hydrochloride
产品货号:BP0130
产品规格:100mg
本品为盐酸地尔硫卓的化学对照品,供含量测定用,使用前不需干燥处理。按C22H26N2O4S·HCl计,供HPLC法测定,含量为99.9%;供UV法测定,含量为100.0%
分子式:C22H26N2O4S·HCl
结构式:
分子量:450.99
CAS号:33286-22-5
包装及装量:棕色西林瓶,约100mg/支
储存条件:遮光,密闭保存。
注意事项:溶液需临用新制
除了盐酸地尔硫卓,,我公司还供应以下相关产品:
名称:磷酸苯丙哌啉
货号:BP0192
规格:100mg/支
本品为磷酸苯丙哌啉的化学对照品,供HPLC法含量测定用。以C21H27NO·H3PO4计,含量为99.8%。105℃干燥2小时后使用。
分子式:C21H27NO·H3PO4
结构式:
分子量:407.44
CAS号:19428-14-9
包装:棕色西林瓶
装量:约100mg/支
储存条件:遮光,密闭保存。
名称:麝香草酚
货号:BP0394
规格:100毫克/支
本品为麝香草酚化学对照品,供含量测定用,使用前不需干燥处理,供GC法测定,按C10H14O计,含量为99.9%。
分子式:C10H14O
分子量:150.22
CAS号:89-83-8
包装:棕色西林瓶
规格:约100毫克/支
储存条件:遮光,密闭,10~30℃保存。
名称:硫酸双肼屈嗪
货号:BP0398
规格:100mg
本品为硫酸双肼屈嗪二倍半水合物,供HPLC法测定,按C8H10N6·H2SO4计,含量为85.5%
分子式:C8H10N6·H2SO4·2½H2O
分子量:333.32
CAS号:7327-87-9(无水物)
包装及装量:棕色小瓶装,每支约100毫克。
储存条件:遮光,密封保存。
注意事项:使用前不需干燥处理。
名称:盐酸文拉法辛
货号:BP0413
规格:100mg
本品为盐酸文拉法辛化学对照品,供HPLC法鉴别、溶出度检查和含量测定时,作对照用。含量以C17H27NO2 · HCl计,为99.9%。
分子式:C17H27NO2 · HCl
结构式:
分子量:313.87
CAS号:99300-78-4
包装:棕色西林瓶
规格:每支约100mg
储存条件:室温,密闭遮光保存
注意事项:本品使用前不需要干燥。
名称:茴香醛
货号:BP1122
规格:0.2ml
本品为茴香醛化学对照品,供相关物质鉴别用。
分子式:C8H8O2
分子量:136.15
包装及装量:熔封于2ml安瓿瓶中。
储存条件:干燥密闭、避光保存。
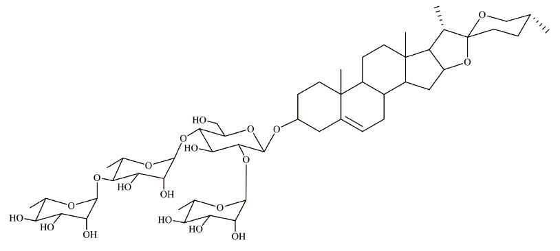
名称:重楼皂苷II
货号:BP1228
规格:20mg/支
本品为重楼皂苷II化学对照品,供含量测定用,含量以91.4%计,使用前不需干燥处理。
CAS号:76296-72-5
分子式:C51H82O20
分子量:1015.18
结构式:
包装:棕色安瓿瓶。
规格:约20mg/支。
储存条件:冷冻保存。
名称:头孢唑林
货号:BP1607
规格:100mg
名称:头孢羟氨苄
货号:BP1613
规格:100mg
本品为头孢羟氨苄化学对照品,供高效液相含量测定用,含量以头孢羟氨苄(C16H17N3O5S)计。
使用方法:精密称取本品适量,加流动相溶解,并稀释至所需浓度,立即使用。
储存条件:置 5℃以下低温避光保存。开启安瓿后严密保持干燥,以防吸水。
注意事项:使用前不需干燥处理。
名称:N-乙*-2-*咯烷酮
货号:BP1989
规格:1ml
本品为N-乙*-2-*咯烷酮化学对照品,供N-乙*-2-*咯烷酮检查用,标示含量为99.6%,使用前不需干燥处理。
CAS号:88-12-0
分子式:C6H9NO
分子量:111.14
包装及装量:棕色玻璃安瓿装,每支约1ml。
储存条件:遮光,密封保存。
名称:一缩二丙二醇
货号:BP1995
规格:1ml
本品为一缩二丙二醇化学对照品,供丙二醇及丙二醇品种有关物质检查用,含量为99.8%。
CAS号:25265-71-8
分子式:C6H14O3
分子量:134.17
色谱图——色谱条件:
色谱柱:DB-Wax(0.32mm×0.5μm×30m),柱温:130℃,保持20min,以4℃/min升温至200℃,保持5min;载气流速:1ml/min;
进样口温度:230℃;分流比:20:1;FID检测器温度:250℃;进样体积1μl。(峰1~5均为一缩二丙二醇同分异构体,计算含量时,以峰1至峰5总面积计)
包装:棕色玻璃安瓿装。
规格:每支约1ml。
储存条件:遮光,密封保存。
风险提示:丁香通仅作为第三方平台,为商家信息发布提供平台空间。用户咨询产品时请注意保护个人信息及财产安全,合理判断,谨慎选购商品,商家和用户对交易行为负责。对于医疗器械类产品,请先查证核实企业经营资质和医疗器械产品注册证情况。
技术资料暂无技术资料 索取技术资料
盐酸地尔硫卓
¥380 - 3800










