相关产品推荐更多 >
万千商家帮你免费找货
0 人在求购买到急需产品
- 详细信息
- 文献和实验
- 技术资料
- 库存:
311
- 英文名:
Ginsenoside Rf
- 保质期:
长期
- 供应商:
北京百奥莱博科技有限公司
- 规格:
10mg/支
特别提示:包括人参皂苷Rf在内,本公司的所有产品仅可用于科研实验,严禁用于临床医疗及其他非科研用途!
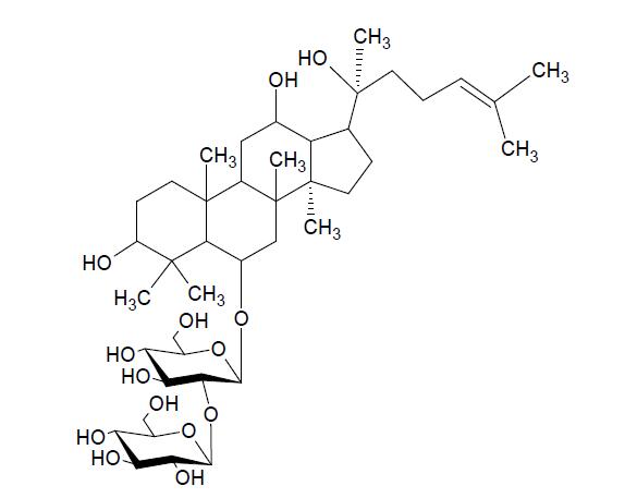
产品名称:人参皂苷Rf
英文名称:Ginsenoside Rf
产品货号:BP1317
产品规格:10mg/支
本品为人参皂苷Rf化学对照品,供相关物质鉴别用。
分子式:C42H72O14
分子量:800
结构式:
包装:棕色安瓿瓶
规格:约10mg/支
储存条件:冷冻保存
除了人参皂苷Rf,,我公司还供应以下相关产品:
BP0149 醋酸氯己定 100mg/支
BP0159 碘化钾 约100毫克
BP0385 盐酸羟胺 50mg
BP0698 吗替麦考酚酯杂质F(麦考酚酸) 50mg/支
BP0761 碘海醇杂质Ⅰ 50mg
BP0848 来氟米特杂质Ⅰ(4-三氟*基苯*) 100mg/支
BP1025 酯蟾毒配基 20mg
BP1109 姜黄素 20mg/支
BP1347 5,7,3",4",5"-五甲氧基黄酮 20mg
BP1534 凤仙萜四醇苷A 20mg/支
BP1847 环磷腺苷 50mg/瓶
BP1900 酮缬氨酸钙 220mg/瓶
风险提示:丁香通仅作为第三方平台,为商家信息发布提供平台空间。用户咨询产品时请注意保护个人信息及财产安全,合理判断,谨慎选购商品,商家和用户对交易行为负责。对于医疗器械类产品,请先查证核实企业经营资质和医疗器械产品注册证情况。
文献和实验Rf 值 Rf value 写做 R f 值。主要是纸上层析法的用词。源自流速( rate of flow )。溶剂从原点渗透到距离 a (一般在 20 — 30 厘米时测定)的时候,如果位于原点的物质从原点向前移动到 b ,那么 b/a 的值( 0.0 — 1.0 )就是这种物质的 Rf 值。例如把葡萄糖和果糖在 20 ℃下于正丁醇 - 醋酸 - 水( 4 ∶ 1 ∶ 5 )中展开,可分别得到 0.18 、 0.23 的 R f 值,在醋酸乙酯 - 吡啶 - 水( 2 ∶
Application of the Restriction-Free (RF) Cloning for Multicomponents Assembly
for DNA cloning. The classical Ligation-Dependent Cloning (LDC) is gradually replaced by Ligation-Independent Cloning (LIC) techniques. The Restriction-Free (RF) cloning was originally developed for introduction of a foreign DNA into a plasmid
摘要:目的对野生和栽培竹节参中所含人参皂苷及其含量进行比较。方法参照人参的分析方法,以人参皂苷 Rg1、 Re为对照品,对野生和栽培竹节参进行 TLC鉴别比较,用发HPLC法进行定量分析。结果在选定的薄层条件下,对照品与供试品的薄层图谱清晰,分离度好,栽培和野生竹节参具有相同的斑点; 对照品在0.48~2.40 μg范围内具有良好的线性关系,回归方程为:Y= 336 182X-302 41, r=0.999 8。结论根据测定和比较的结果,栽培和野生竹节参所含人参皂苷类成分基本
技术资料暂无技术资料 索取技术资料










