相关产品推荐更多 >
万千商家帮你免费找货
0 人在求购买到急需产品
- 详细信息
- 技术资料
- 库存:
110
- 英文名:
Orlistat
- CAS号:
96829-58-2
- 保质期:
长期
- 供应商:
北京百奥莱博科技有限公司
- 规格:
100mg
特别提示:包括奥利司他在内,本公司的所有产品仅可用于科研实验,严禁用于临床医疗及其他非科研用途!
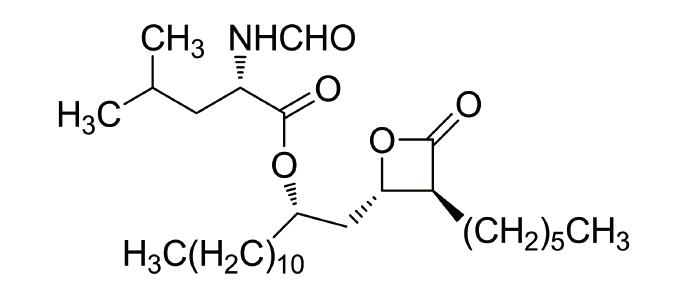
产品名称:奥利司他
英文名称:Orlistat
产品货号:BP2184
产品规格:100mg
本品为奥利司他化学对照品,供HPLC法含量测定用,按C29H53NO5计,含量为99.3%,使用前不需干燥处理。
CAS号:96829-58-2
分子式:C29H53NO5
分子量:495.73
结构式:
包装及装量:棕色安瓿瓶装,每支约100毫克。
储存条件:冷藏,遮光,密封保存。
除了奥利司他,,我公司还供应以下相关产品:
名称:盐酸萘甲唑啉
货号:BP0086
规格:100mg
本品为盐酸萘甲唑啉(NaphazolineHydrochloride),供HPLC法测定,按C14H14N2·HCl计,含量为99.2%。
分子式:C14H14N2·HCl
分子量:246.74
CAS号:550-99-2
包装及装量:棕色小瓶装,每支约100毫克。
储存条件:遮光,密封保存。
注意事项:105℃干燥2小时后使用。
名称:氯碘羟喹
货号:BP0260
规格:100mg
名称:托芬那酸
货号:BP0532
规格:100mg
名称:磷酸二氢钾
货号:BP0573
规格:100mg
本品为磷酸二氢钾化学对照品,使用前不需干燥处理。供比色法含量测定用,按KH2PO4计算,含量按100.0%计。
CAS号:7778-77-0
分子式:KH2PO4
分子量:136.09
包装:西林瓶装。
规格:约100毫克/支。
储存条件:密闭保存。
名称:孕三烯酮
货号:BP0734
规格:50mg
本品为孕三烯酮化学对照品,供HPLC法含量测定用,按C21H24O2计,含量为99.7%。
CAS号:16320-04-0
分子式:C21H24O2
分子量:308.42
包装及装量:棕色小瓶装,每支约50毫克。
储存条件:遮光,密封保存。
注意事项:使用前不需干燥处理。
名称:盐酸丁螺环酮
货号:BP0772
规格:100mg
本品为盐酸丁螺环酮化学对照品,供UV法测定,按C21H31N5O2·HCl计,含量为99.8%。
CAS号:33386-08-2
分子式:C21H31N5O2·HCl
分子量:421.96
包装及装量:棕色小瓶装,每支100毫克。
储存条件:遮光,密封保存。
注意事项:使用前不需干燥处理。
名称:甲*
货号:BP1007
规格:约1mL/支
本品为甲*化学对照品,使用前不需干燥。供HPLC法检查用,按CH2O2计,含量为100%。
CAS号:64*18-6
分子式:CH2O2
分子量:46.03
结构式:
包装:棕色安瓿瓶
规格:约1毫升/支
储存条件:遮光,10~30℃密封保存
名称:水杨酸甲酯
货号:BP1016
规格:约1ml/支
本品为水杨酸甲酯化学对照品,供一部麝香镇痛膏、麝香跌打风湿膏等项下鉴别及含量测定用,使用前不需干燥处理。含量以100.0%计。
CAS号:119-36-8
分子式:C8H8O3
分子量:152.15
结构式:
包装:棕色安瓿瓶
规格:约1毫升/支
储存条件:冷处(2~10℃)保存
注意事项:本品具挥发性,打开包装后一次使用完毕。
名称:5-羟甲基糠*
货号:BP1248
规格:约10mg/支
本品为5-羟甲基糠*化学对照品,供含量测定用,含量以99.2%计,使用前不需干燥处理。
CAS号:67-47-0
分子式:C6H6O3
分子量:126.11
包装:棕色安瓿瓶。
装量:约10mg/支
储存条件:冷冻
名称:牛皮特征肽A
货号:BP1479
规格:20mg/支
本品为牛皮特征肽A化学对照品,供含量测定用,含量以94.8%计,使用前不需干燥处理。
分子量:1281.36
包装:棕色安瓿瓶
规格:约20mg/支
储存条件:冷冻保存
注意事项:本品有引湿性,建议打开包装后一次使用完毕。
名称:对羟基苯*醇
货号:BP1502
规格:20mg/支
本品为对羟基苯*醇化学对照品,供含量测定用,含量以98.5%计,使用前不需干燥处理。
CAS号:623-05-2
分子式:C7H8O2
结构式:
包装:棕色安瓿瓶
装量:约20mg/支
储存条件:冷处保存
名称:利福喷丁
货号:BP1684
规格:200mg
本品为利福喷丁化学对照品,供HPLC含量测定用。含量按利福喷丁(C47H64N4O12)计。
使用方法:精密称取本品适量,用*腈溶解并稀释至所需的浓度,立即使用。
储存条件:置5℃以下条件低温避光保存。启开安瓶后严密保持干燥以防吸水。
注意事项:使用前不需干燥处理。
名称:脑蛋白水解物
货号:BP1837
规格:1ml/支
本品为脑蛋白水解物化学对照品,以总氮计含量为6.32mg/ml,供脑蛋白水解物HPLC法鉴别用。
包装及装量:包装:安瓿;装量:1ml/支
储存条件:2~8℃冷藏保存
注意事项:开瓶后一次性使用
名称:去羟肌苷
货号:BP1842
规格:100mg
本品为去羟肌苷化学对照品,供去羟肌苷含量测定用,含量为99.4%,使用前不需干燥。
分子式:C10H12N4O3
分子量:236.23
包装:棕色小瓶
规格:每瓶约100mg
储存条件:避光,阴凉干燥处保存。
名称:交联聚维酮
货号:BP2015
规格:100mg/支
本品为交联聚维酮化学对照品,供交联聚维酮品种红外鉴别用。
CAS号:9003-39-8
分子式:(C6H9NO)n
包装及装量:西林瓶装,每支约100mg
储存条件::遮光,密封保存。
注意事项:使用前于 105℃干燥2小时。
风险提示:丁香通仅作为第三方平台,为商家信息发布提供平台空间。用户咨询产品时请注意保护个人信息及财产安全,合理判断,谨慎选购商品,商家和用户对交易行为负责。对于医疗器械类产品,请先查证核实企业经营资质和医疗器械产品注册证情况。
技术资料暂无技术资料 索取技术资料
奥利司他
¥380 - 3800










