相关产品推荐更多 >
万千商家帮你免费找货
0 人在求购买到急需产品
- 详细信息
- 技术资料
- 库存:
131
- 英文名:
Plantamajoside
- CAS号:
104777-68-6
- 保质期:
长期
- 供应商:
北京百奥莱博科技有限公司
- 规格:
约20mg/支
特别提示:包括大车前苷在内,本公司的所有产品仅可用于科研实验,严禁用于临床医疗及其他非科研用途!
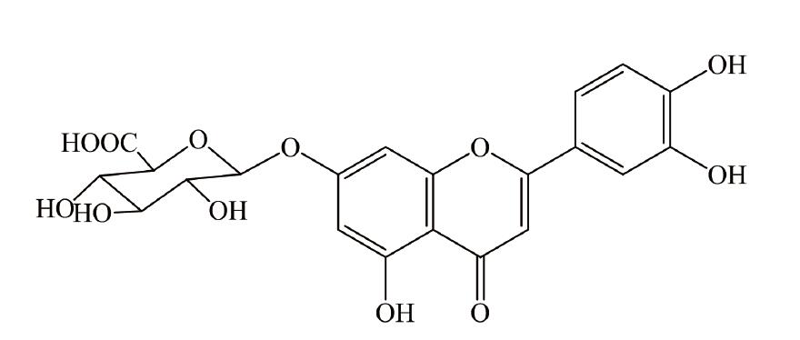
产品名称:大车前苷
英文名称:Plantamajoside
产品货号:BP1454
产品规格:约20mg/支
本品为大车前苷化学对照品,供鉴别及含量测定用,含量以90.2%计,使用前不需干燥处理。
CAS号:104777-68-6
分子式:C29H36O16
分子量:640
结构式:
包装:棕色安瓿瓶
规格:约20毫克/支
储存条件:冷冻保存
注意事项:本品不稳定,且有引湿性,打开包装后一次使用完毕。
除了大车前苷,,我公司还供应以下相关产品:
名称:氢溴*山莨菪碱
货号:BP0045
规格:50mg/支
本品供UV法含量测定和TLC鉴别用,按C17H23NO4·HBr计,含量为99.3%,使用前不需要干燥处理。
分子式:C17H23NO4·HBr
结构式:
分子量:386.29
CAS号:55449-49-5
包装:棕色安瓿瓶
规格:50mg/支
储存条件:遮光,密封保存
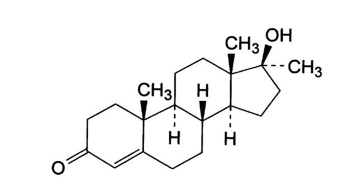
名称:甲睾酮
货号:BP0139
规格:100mg/支
本品为甲睾酮的化学对照品,供HPLC法鉴别和含量测定用。本品应于105℃干燥2小时后使用,以C20H30O2计,含量为99.5%。
CAS号:58-18-4
分子式:C20H30O2
分子量:302.46
结构式:
包装:棕色西林瓶
规格:约100毫克/支
储存条件:常温遮光,密闭保存
注意事项:本品略有引湿性,打开包装后应密闭保存,使用前应干燥处理。
名称:羟苯乙酯
货号:BP0643
规格:100mg/支
本品为羟苯乙酯化学对照品,使用前不需干燥处理。供HPLC法含量测定用,按C9H10O3计算,含量为99.9%。
CAS号:120-47-8
分子式:C9H10O3
分子量:166.18
结构式:
包装:棕色西林瓶装。
规格:约100毫克/支。
储存条件:遮光,密闭,10~30℃保存。
名称:硫酸肼
货号:BP0806
规格:100mg
本品为硫酸肼化学对照品,为硫酸肼,供异烟肼、异烟肼片TLC法系统适用性试验用,使用前不需干燥处理。
1.储存条件:置5℃以下低温避光保存。开启安瓿后密闭保持干燥,以防吸水。
2.使用方法:精密称取本品适量,按异烟肼的游离肼检查项下方法,溶解稀释制成约0.08mg/ml的溶液,立即使用。
名称:盐酸兰地洛尔异构体Ⅲ
货号:BP0916
规格:20mg/支"
名称:罗库溴铵杂质III
货号:BP0971
规格:约20毫克/支
本品为罗库溴铵杂质III化学对照品,使用前不需干燥处理,供HPLC法系统适用性试验用。
CAS号:1190105-*6-8
分子式:C34H55BrN2O4
分子量:635.72
结构式:
包装:棕色西林瓶
装量:约20毫克/支
储存条件:遮光,2-8℃保存
名称:石吊兰素
货号:BP1205
规格:20mg
本品为石吊兰素化学对照品,供含量测定用,以98.1%计。
分子式:C18H16O7
分子量:344.32
包装及装量:棕色瓶。
储存条件:干燥密闭保存。
注意事项:置五氧化二*减压干燥器中干燥 12 小时后使用。
名称:黄杞苷
货号:BP1449
规格:约20mg/支
本品为黄杞苷化学对照品,供含量测定用,含量以93.7%计。
分子式:C21H22O10
分子量:434.4
包装及装量:棕色安瓿瓶。
储存条件:室温干燥保存。
注意事项:使用前无需处理。
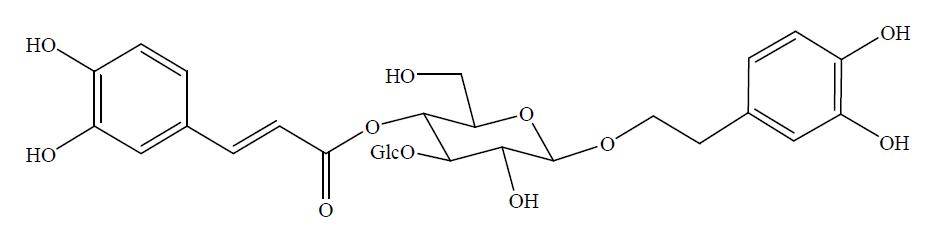
名称:木犀草素-7-O-β-D-葡萄糖醛酸苷
货号:BP1500
规格:20mg/支
本品为木犀草素-7-O-β-D-葡萄糖醛酸苷化学对照品,供含量测定用,含量以97.7%计,使用前不需干燥处理。
CAS号:29741-10-4
分子式:C21H18O12
分子量:462.36
结构式:
包装:棕色安瓿瓶
规格:约20mg/支
储存条件:冷处(2~10℃)保存
注意事项:本品有引湿性,打开包装后一次使用完毕。本品须避光保存
名称:山嵛酸甲酯
货号:BP2008
规格:25mg
本品为山嵛酸甲酯对照品,供大豆油、氢化大豆油、橄榄油、山嵛酸甘油酯品种脂肪酸组成检查用,使用前不需干燥处理。
CAS号:929-77-1
分子式:C23H46O2
分子量:354.61
包装:棕色西林瓶装
装量:每支约25 毫克
保存条件: 密封,于阴凉处保存。
名称:聚*烯酸树脂IV
货号:BP2022
规格:500mg
本品为聚*烯酸树脂Ⅳ化学对照品,供聚*烯酸树脂Ⅳ品种红外光谱鉴别用.
包装及装量:棕色西林瓶装,每支约500 毫克
储存条件:遮光,密封,于阴凉处保存。
注意事项:使用前不需干燥处理。
名称:乙酸丁香酚酯
货号:BP2048
规格:250mg/瓶
本品为乙酸丁香酚酯化学对照品,供丁香茎叶油和丁香油品种项下鉴别用,使用前不需干燥处理。
CAS号:93-28-7
分子式:C12H14O3
分子量:206.26
包装:安瓿熔封
规格:250mg/支
储存条件:遮光、常温保存。
注意事项:建议打开包装一次性使用完。
风险提示:丁香通仅作为第三方平台,为商家信息发布提供平台空间。用户咨询产品时请注意保护个人信息及财产安全,合理判断,谨慎选购商品,商家和用户对交易行为负责。对于医疗器械类产品,请先查证核实企业经营资质和医疗器械产品注册证情况。
技术资料暂无技术资料 索取技术资料
大车前苷
¥380 - 3800










