相关产品推荐更多 >
万千商家帮你免费找货
0 人在求购买到急需产品
- 详细信息
- 文献和实验
- 技术资料
- 库存:
294
- 英文名:
Quercitrin
- CAS号:
522-12-3
- 保质期:
长期
- 供应商:
北京百奥莱博科技有限公司
- 保存条件:
冷处(2-10℃)
- 规格:
20mg/支
特别提示:包括槲皮苷在内,本公司的所有产品仅可用于科研实验,严禁用于临床医疗及其他非科研用途!
产品名称:槲皮苷
英文名称:Quercitrin
产品货号:BP1192
产品规格:20mg/支
本品槲皮苷为化学对照品,供含量测定用,含量以90.6%计,使用前无需干燥处理。
CAS号:522-12-3
分子式:C21H20O11
分子量:448.38
结构式:
包装:棕色安瓿瓶
装量:约20mg/支
储存条件:冷处(2-10℃)保存
除了槲皮苷,,我公司还供应以下相关产品:
名称:盐酸多塞平
货号:BP0059
规格:100mg/支
本品为盐酸多塞平(DoxepinHydrochloride)的化学对照品,供含量测定用,按C19H21NO·HCl计,含量为99.5%。
分子式:C19H21NO·HCl
分子量:315.84
CAS号:1229-29-4
包装及装量:棕色小瓶装,每支约100毫克。
储存条件:遮光,密封保存。
注意事项:本品极具引湿,打开包装一次性使用完。使用不需干燥处理。
名称:贝美格
货号:BP0352
规格:100mg
名称:奥硝唑
货号:BP0470
规格:100mg/支
本品为奥硝唑化学对照品,供HPLC法和UV法含量测定用,按C7H10ClN3O3计,含量为100%。
分子式:C7H10ClN3O3
分子量:219.63
CAS号:16773-42-5
包装及装量:棕色小瓶装,每支约100毫克。
储存条件:遮光,密封保存。
注意事项:使用前不需干燥处理,
名称:托芬那酸
货号:BP0532
规格:100mg
名称:阿立哌唑
货号:BP0596
规格:100mg/支
本品为阿立哌唑化学对照品,供HPLC鉴别、IR鉴别时作对照用;供HPLC鉴别、UV含量均匀度和溶出度检查及UV含量测定时作对照用。含量以C23H27N3O2Cl2计为99.9%。本品使用前不需干燥处理。
CAS号:129722-12-9
分子式:C23H27N3O2Cl2
分子量:448.39
结构式:
包装:棕色瓶
装量:约100mg/支
储存条件:遮光,密闭保存。
名称:罗库溴铵杂质IV
货号:BP0972
规格:约20毫克/支
本品为罗库溴铵杂质IV化学对照品,使用前不需干燥处理,供HPLC法系统适用性试验用。
CAS号:122483-73-2
分子式:C34H55BrN2O5
分子量:651.71
结构式:
包装:棕色西林瓶
规格:约20毫克/支
储存条件:遮光,2-8℃保存
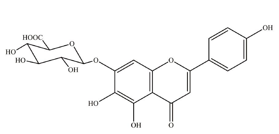
名称:野黄芩苷
货号:BP1124
规格:约20mg/支
本品为野黄芩苷化学对照品,供鉴别及含量测定用,含量以91.7%计,使用前不需干燥处理。
CAS号:27740-01-8
分子式:C21H18O12
分子量:462.36
结构式:
包装:棕色安瓿瓶
规格:约20mg/支
储存条件:冷处(2-10℃)保存
注意事项:本品具引湿性,建议打开包装一次性使用完。
名称:特女贞苷
货号:BP1466
规格:约20mg/支
本品为特女贞苷化学对照品,供含量测定用,含量以93.3%计,使用前不需干燥处理。
CAS号:39011-92-2
分子式:C31H42O17
分子量:686.66
结构式:
包装:棕色安瓿
规格:约20mg/支
储存条件:冷处(2~10℃)
注意事项:本品有引湿性,打开包装后一次使用完毕。
名称:氟氯西林
货号:BP1672
规格:100mg
本品为氟氯西林化学对照品,供高效液相含量测定用,含量以氟氯西林(C19H17ClFN3O5S)计。
使用方法:精密称取适量,加流动相稀释至所需浓度,立即使用。
储存条件:置5℃以下条件低温避光保存。启开安瓶后严密保持干燥以防吸水。
注意事项:使用前不需干燥处理。
名称:利福布汀
货号:BP1712
规格:100mg
本品为利福布汀化学对照品,高效液相含量测定用,含量以利福布汀(C46H62N4O11)计。
使用方法:精密称取本品适量,按相关质量标准规定,用乙*溶解并稀释至所需浓度的溶液,立即使用。
储存条件:置5℃以下低温避光保存。开启安瓿后严密保持干燥,以防吸水。
注意事项:使用前不需干燥处理。
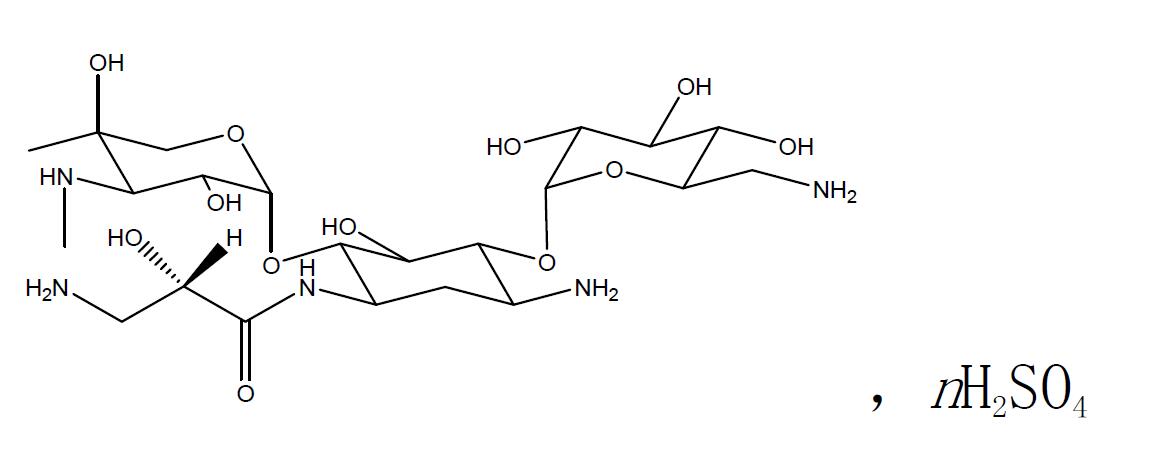
名称:异帕米星
货号:BP1714
规格:100mg/支
本品为异帕米星化学对照品,供高效液相含量测定用,含量以异帕米星(C22H43N5O12)计。
分子式:C22H43N5O12·nH2SO4(n≤2)
结构式:
包装:安瓿
装量:100mg/支
储存条件:置4℃以下条件低温保存。
名称:苯扎溴铵
货号:BP1774
规格:约2.5mL/支
本品为苯扎溴铵化学对照品,供HPLC法检测苯扎溴铵含量用,以CHBrN计,每1mL含苯扎溴铵10.9mg。
CAS号:7281-04-1
分子式:C21H38BrN
分子量:384.51
结构式:
包装:棕色安瓿
规格:约2.5mL/支
储存条件:常温
注意事项:建议打开包装一次性使用完。
名称:甲状腺素(T4)
货号:BP1945
规格:940ng/支
本品为甲状腺素免疫测定用标准品,以高纯T4为原料制备,供T4免疫分析使用,适用于化学发光、时间分辨免疫荧光等方法。
性状:白色冻干粉末
包装:白色安瓿瓶
规格:每支安瓿内含T4 940ng,含牛血清白蛋白(BSA)5mg,磷酸盐微量。本品为冻干品。
特性量值:每支安瓿内含T4 940ng。
使用方法和要求:
建议使用时以含0.5-1%的人血清白蛋白(HSA)或牛血清白蛋白(BSA)的10mM磷酸盐缓冲液(pH=7.2-7.4)或其他含蛋白的中性缓冲体系将内容物完全溶解,充分混合后使用。
储存条件:-20℃以下,避免反复冻融。
名称:三乙醇*
货号:BP2028
规格:1ml
本品为三乙醇*化学对照品,供三乙醇*品种有关物质检查用,使用前不需干燥处理,以C6H15NO3计,含量为96.7%。
CAS号:102-71-6
分子式:C6H15NO3
分子量:149.19
包装:棕色玻璃安瓿
规格:约1ml/瓶
储存条件:遮光、密封保存
名称:二甲硅油500
货号:BP2072
规格:1ml/支
本品为二甲硅油500化学对照品,仅供二甲硅油品种项下二甲硅油500型号红外光谱吸收度及含量测定用,使用前不需干燥处理。
CAS号:9006-65-9
分子式:(C2H6OSi)n
结构式:
包装:棕色安瓿
规格:约1ml/支
储存条件:遮光、常温保存
名称:pH标准缓冲溶液(pH=9.18)
货号:GL1348
规格:50ml|100ml|500ml
用途:
校正pH计或酸度计
注意事项:
该pH值是指在25℃条件下的值,误差范围在0.01,注意密闭保存。
储存条件:4℃,12个月
风险提示:丁香通仅作为第三方平台,为商家信息发布提供平台空间。用户咨询产品时请注意保护个人信息及财产安全,合理判断,谨慎选购商品,商家和用户对交易行为负责。对于医疗器械类产品,请先查证核实企业经营资质和医疗器械产品注册证情况。
文献和实验相关实验
芦醇(Resveratrol):无色针状结晶,mp256-257℃,216℃升华,易溶于乙醚、氯仿、甲醇、乙醇、丙酮等。 7.白藜芦醇葡萄糖苷(polydotinpeceid):无色颗粒状结晶,双熔点分别为130-140℃225~226℃,易溶于甲醇、乙醇、丙酮、热水,可溶于乙酸乙酯、可溶于碳酸钠和氢氧化钠水溶液中,稍溶于冷水,难溶于乙醚。 8.β-谷甾醇 9.鞣质:属缩合鞣质,可溶于醇及水,不溶于苯、乙醚、氯仿等。 另外。虎杖叶、茎中含少量羟基蒽醌类化合物、有机酸、槲皮苷
技术资料暂无技术资料 索取技术资料
槲皮苷
¥380 - 3800










