万千商家帮你免费找货
0 人在求购买到急需产品
- 详细信息
- 技术资料
- 库存:
195
- 英文名:
Erythromycin Ethylsuccinate
- CAS号:
1264-62-6
- 保质期:
长期
- 供应商:
北京百奥莱博科技有限公司
- 保存条件:
2-8℃
- 规格:
200mg
特别提示:包括琥乙红霉素在内,本公司的所有产品仅可用于科研实验,严禁用于临床医疗及其他非科研用途!
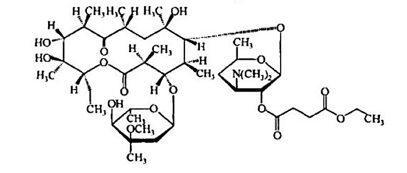
产品名称:琥乙红霉素
英文名称:Erythromycin Ethylsuccinate
产品货号:BP1610
产品规格:200mg
本品为琥乙红霉素化学对照品,供相关物质鉴别用,使用前不需干燥处理。
CAS号:1264-62-6
分子式:C43H75NO16
分子量:862.07
结构式:
包装:白色安瓿
规格:约100毫克/支
储存条件:2-8℃保存
除了琥乙红霉素,,我公司还供应以下相关产品:
BP0352 贝美格 100mg
BP0578 西沙必利 100mg/支
BP0646 对氯*乙酰胺 50mg
BP0652 蒙脱石 1g
BP0702 巴氯芬 100mg
BP0836 丙*酸镁 50mg
BP0900 托伐普坦 100mg/支
BP1048 贝母素乙 约20mg/支
BP1055 大黄素*醚 约20mg/支
BP1213 异鼠李素-3-O-新橙皮苷 约20mg/支
BP1296 甘油三油酸酯 约0.15ml/支
BP1416 杨梅苷 20mg
BP1474 银杏内酯K 约20mg/支
BP1500 木犀草素-7-O-β-D-葡萄糖醛酸苷 20mg/支
BP1548 钩藤碱 10mg/支
BP1612 舒巴坦 100mg/支
BP1775 酪蛋白 约7g/瓶
BP1843 琥珀酰明胶 700mg
BP1877 门冬氨酸镁 25mg
BP1925 辅酶Q9 约4mg/瓶
BP2093 乙酰枸橼酸三丁酯 1ml/支
BP2129 碘塞罗宁钠 50mg/支
风险提示:丁香通仅作为第三方平台,为商家信息发布提供平台空间。用户咨询产品时请注意保护个人信息及财产安全,合理判断,谨慎选购商品,商家和用户对交易行为负责。对于医疗器械类产品,请先查证核实企业经营资质和医疗器械产品注册证情况。
技术资料暂无技术资料 索取技术资料
琥乙红霉素
¥380 - 3800










