万千商家帮你免费找货
0 人在求购买到急需产品
- 详细信息
- 文献和实验
- 技术资料
- 库存:
245
- 英文名:
Platycodin D
- 保质期:
长期
- 供应商:
北京百奥莱博科技有限公司
- 保存条件:
冷冻(-20℃)
- 规格:
20mg/支
特别提示:包括桔梗皂苷D在内,本公司的所有产品仅可用于科研实验,严禁用于临床医疗及其他非科研用途!
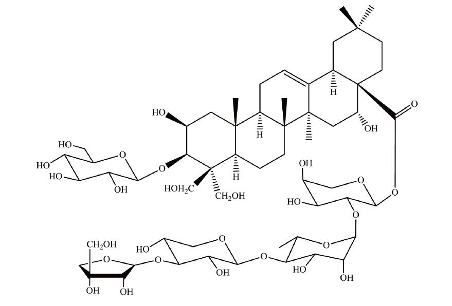
产品名称:桔梗皂苷D
英文名称:Platycodin D
产品货号:BP1409
产品规格:20mg/支
本品为桔梗皂苷D化学对照品,供含量测定用,含量以94.0%计,使用前不需干燥处理。
分子式:C57H92O28
分子量:1225.32
结构式:
包装:棕色安瓿瓶。
规格:约20mg/支。
储存条件:冷冻(-20℃)保存。
注意事项:本品具有引湿性,建议打开包装一次性使用完。
除了桔梗皂苷D,,我公司还供应以下相关产品:
名称:更昔洛韦
货号:BP0304
规格:100mg
本品为更昔洛韦化学对照品,供HPLC法测定,按C9H13N5O4计,含量为97.7%。
分子式:C9H13N5O4
分子量:255.21
CAS号:82410-32-0
包装及装量:棕色小瓶装,每支约100毫克
储存条件:密封,置阴凉处保存。
注意事项:使用前不需干燥处理,本品具有引湿性,打开包装后一次使用完毕。
名称:盐酸赛庚啶
货号:BP0389
规格:50mg
本品为盐酸赛庚啶化学对照品,供含量测定用。
分子式:C21H21N·HCl·1½ H2O
分子量:350.89
CAS号:41354-29-4
包装及装量:棕色小瓶装,每支约50毫克。
储存条件:密闭保存。
注意事项:100℃减压(0.7Kpa以下)干燥5小时后使用。
名称:盐酸罗格列酮
货号:BP0518
规格:100mg
本品为盐酸罗格列酮化学对照品,含两分子结晶水, 按 C18H19N3O3S·HCl计,本品的含量为91.3%。供含量测定用。
分子式:C18H19N3O3S·HCl·2H2O
分子量:429.92
CAS号:122320-73-4(罗格列酮)
包装及装量:棕色小瓶装,每支约100毫克。
储存条件:遮光,密闭保存。
注意事项:使用前不需干燥处理。
名称:磷酸奥司他韦杂质Ⅰ
货号:BP0987
规格:30mg/支"
名称:甘氨酸
货号:BP1039
规格:100mg
本品为甘氨酸化学对照品,供相关物质鉴别用。
分子式:C2H5NO2
分子量:75.07
包装:棕色瓶
储存条件:干燥密闭保存。
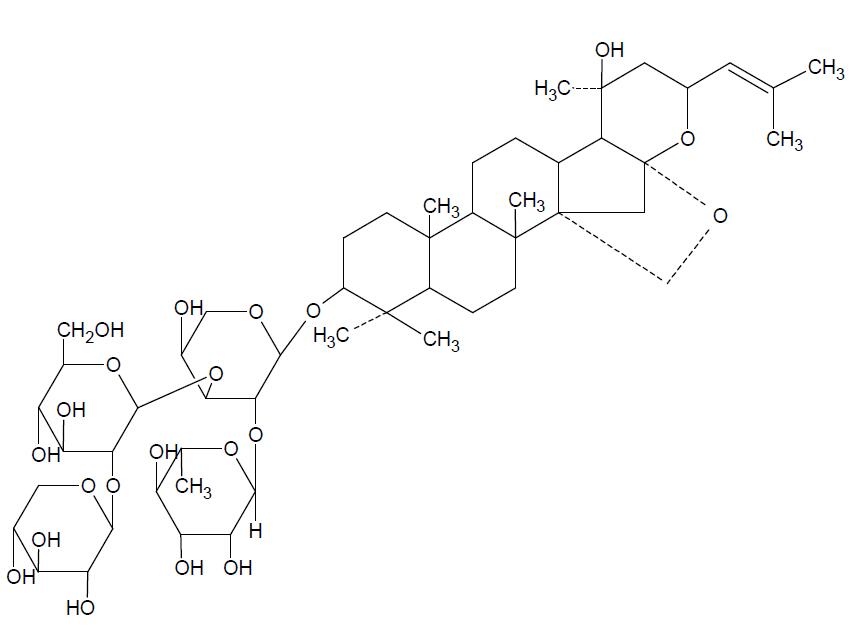
名称:酸枣仁皂苷B
货号:BP1101
规格:20mg
本品为酸枣仁皂苷B化学对照品,供鉴别或含量测定用,含量以91.6%计,使用前不需干燥处理。
CAS号:55466-05-2
分子式:C52H84O21
分子量:1045.21
结构式:
包装:棕色安瓿瓶
规格:约20mg/支
储存条件:密闭、常温保存
名称:松香酸
货号:BP1476
规格:10mg/支
本品为松香酸化学对照品。
分子式:C20H30O2
分子量:302.46
包装及装量:棕色瓶,每支约10毫克。
储存条件:冷冻干燥保存。
注意事项:使用前无需处理。
名称:β-细辛醚
货号:BP1539
规格:20mg
本品为β-细辛醚化学对照品,供含量测定用,含量以96.8%计,使用前不需干燥处理。
CAS号:5273-86-9
分子式:C12H16O3
分子量:208.11
结构式:
包装:棕色安瓿瓶
规格:约20mg/支
储存条件:冷冻保存
名称:4-差向四环素
货号:BP1588
规格:50mg
本品为4-差向四环素标准品,供盐酸四环素品种 HPLC系统适用性用。
使用方法:精密称取本品适量,按相关质量标准的规定,溶解并稀释至所需浓度的溶液,立即使用。
储存条件:置5℃以下低温避光保存。开启安瓿后严密保持干燥,以防吸水。
注意事项:使用前不需干燥处理。
名称:头孢呋辛酯
货号:BP1651
规格:50mg
本品为头孢呋辛酯化学对照品,供红外鉴别用,使用前不需干燥处理。
CAS号:64544-07-6
分子式:C20H22N4O10S
分子量:510.48
包装:白色安瓿
规格:约50毫克/支
储存条件:2-8℃保存
名称:环丙沙星杂质C
货号:BP1720
规格:50mg/支
本品为环丙沙星杂质C化学对照品,供环丙沙星及各种成盐形式的环丙沙星品种系统适用性试验及有关物质测定用。
使用方法:精密称取本品适量,按相关质量标准的规定,溶解并稀释至所需浓度的溶液,立即使用。
储存条件:置5℃以下低温避光保存。开启安瓿后严密保持干燥,以防吸水。
注意事项:使用前不需干燥处理。
名称:纤维蛋白溶酶原(牛血)
货号:BP1780
规格:9酪蛋白单位
本品为纤维蛋白溶酶原(牛血)标准试剂,活力为9个酪蛋白单位/瓶,供尿激酶效价测定用。
包装及装量:棕色瓶,每瓶9个酪蛋白单位
储存条件:-20℃保存
注意事项:使用前放置至室温,按照质量标准规定溶解后使用,开启后一次使完。
名称:降纤酶
货号:BP1788
规格:160u/支
本品为降纤酶标准品,效价为160单位/支,供降纤酶效价测定用,使用前放置室温。
包装:白色安瓿
规格:每支160U/支
储存条件:低温保存
名称:五氟利多
货号:BP1963
规格:100mg
本品为五氟利多化学对照品,供高效液相色谱法鉴别和含量测定用。本品含五氟利多以C28H27ClF5NO计,为100.0%。
CAS号:26864-56-2
分子式:C28H27ClF5NO
分子量:523.97
包装及装量:棕色瓶,约100mg/支
储存条件:遮光,密闭保存。
注意事项:使用前不需要干燥,可直接使用。
名称:生长激素(GH)
货号:BP1971
规格:3支/套,0.5ml/支
本品为生长激素质控血清(GH质控血清),供免疫测定用。
使用说明书
1、生长激素(GH)质控血清免疫测定用(批号:1807-0503)
是以GH纯品为原料加入至新鲜正常人混合血清制备而成。
2、本套质控血清为冻干品,3支/套,0.5ml/支。
3、使用时应用0.5ml去离子水将内容物完全溶解,充分混合后
使用。
4、质控血清I理论值为2.5ng/ml;质控血清Ⅱ理论值为11.5
ng/ml;质控血清Ⅲ理论值为40ng/ml。由于免疫分析体系不同,各
公司测定结果存在一定差异,数据仅供参考。
5、本套质控血清长期保存应在-20℃及以下;复融后尽可能一次
性用完,如确需多次使用,请分装后-20℃及以下保存,避免反复冻
融。
6、本套质控血清不具备溯源性,不能用于定值,可用于GH精密
度分析或其他免疫分析。
名称:月桂酸甲酯
货号:BP2081
规格:1ml/支
本品为月桂酸甲酯化学对照品,仅供月桂山梨坦(司盘20)品种项下脂肪酸组成检查用,使用前不需干燥处理。
CAS号:111-82-0
分子式:C13H26O2
分子量:214.3
包装:棕色安瓿
规格:约1ml/支
储存条件:遮光、常温保存
风险提示:丁香通仅作为第三方平台,为商家信息发布提供平台空间。用户咨询产品时请注意保护个人信息及财产安全,合理判断,谨慎选购商品,商家和用户对交易行为负责。对于医疗器械类产品,请先查证核实企业经营资质和医疗器械产品注册证情况。
文献和实验指DNA双链的局部,由具有互补性单链 DNA与之结合所产生的环状结构。当 DNA复制开始,在原来的双链中仅一方被新合成的短 DNA单链被置换的情况下可以见到(为 Displacement loop之简称)。可通过人工使 DNA单链结合来制成此结构。由 RNA单链所产生的类似结构称为 R环。
of each component.2D gel electrophoresis is generally used as a component of proteomics and is the step used for the isolation of proteins for further characterisation by mass spectroscopy. In the lab this technique is used for 2 main purposes, firstly for the large
of each component. 2D gel electrophoresis is generally used as a component of proteomics and is the step used for the isolation of proteins for further characterisation by mass spectroscopy. In the lab this technique is used for 2 main purposes, firstly
技术资料暂无技术资料 索取技术资料










