相关产品推荐更多 >
万千商家帮你免费找货
0 人在求购买到急需产品
- 详细信息
- 询价记录
- 技术资料
- 库存:
430
- 英文名:
Orientin
- CAS号:
28608-75-5
- 保质期:
长期
- 供应商:
北京百奥莱博科技有限公司
- 保存条件:
常温
- 规格:
20mg
特别提示:包括荭草苷在内,本公司的所有产品仅可用于科研实验,严禁用于临床医疗及其他非科研用途!
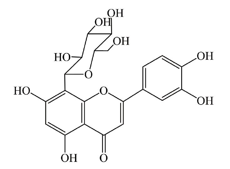
产品名称:荭草苷
英文名称:Orientin
产品货号:BP1356
产品规格:20mg
本品为荭草苷化学对照品,供鉴别和含量测定用,含量以97.9%计。
CAS号:28608-75-5
分子式:C21H20O11
分子量:448.38
结构式:
包装及装量:棕色瓶,约20mg/支
储存条件:常温干燥、密闭遮光保存
注意事项:置五*化二磷减压干燥器中干燥12小时以上后使用。
除了荭草苷,,我公司还供应以下相关产品:
BP0007 苄氟噻嗪 100mg
BP0065 左炔诺孕酮 100mg/支
BP0135 盐酸奈福泮 100mg
BP0155 甲基多巴 100mg
BP0372 盐酸环仑特罗 50mg
BP0407 盐酸美司坦 100mg
BP0456 醋氨己*锌 100mg
BP0732 盐酸氯普鲁卡因杂质A 50mg
BP0743 利可君 100mg
BP0781 培哚普利杂质Ⅲ(培哚普利拉) 50mg/支
BP0955 左羟丙哌*杂质(缩水甘油) 约300毫克/支
BP0978 格列美脲杂质Ⅳ 30mg/支
BP1042 秦皮甲素 20mg
BP1274 表木栓醇 10mg
BP1313 亥茅酚苷 20mg
BP1316 白屈菜红碱 约20mg/支
BP1399 反式茴香脑 约0.1ml/支
BP1507 白术内酯I 20mg
BP1541 马钱子生物碱混合对照溶液(暂行) 约1.5ml/支
BP1573 罗红霉素 200mg
BP1669 头孢甲肟 100mg
BP1695 柔红霉素 50mg
BP1834 L-门冬氨酸 约100mg/瓶
BP1933 人绝经尿促性腺素(HMG) FSH:247IU/支;LH:202IU/支
BP1958 2-氨基-2’-氯-5-硝基二苯酮 100mg
BP2122 替勃龙 100mg/支
BP2191 氨基他达拉非 30mg/支
BP2196 N-苯甲酰基*布曲明 30mg/支
GL1353 pH标准缓冲溶液(pH=7.00) 50ml|100ml|500ml
风险提示:丁香通仅作为第三方平台,为商家信息发布提供平台空间。用户咨询产品时请注意保护个人信息及财产安全,合理判断,谨慎选购商品,商家和用户对交易行为负责。对于医疗器械类产品,请先查证核实企业经营资质和医疗器械产品注册证情况。
- 作者
- 内容
- 询问日期
技术资料暂无技术资料 索取技术资料
荭草苷
¥380 - 3800










