相关产品推荐更多 >
万千商家帮你免费找货
0 人在求购买到急需产品
- 详细信息
- 技术资料
- 库存:
487
- 英文名:
Schisandrin
- CAS号:
7432-28-2
- 保质期:
长期
- 供应商:
北京百奥莱博科技有限公司
- 保存条件:
冷处(2~10℃)
- 规格:
约20mg/支
特别提示:包括五味子醇甲在内,本公司的所有产品仅可用于科研实验,严禁用于临床医疗及其他非科研用途!
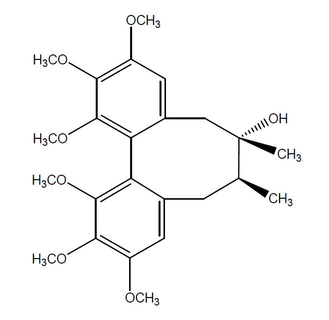
产品名称:五味子醇甲
英文名称:Schisandrin
产品货号:BP1134
产品规格:约20mg/支
本品为五味子醇甲化学对照品,供鉴别或含量测定用,含量以99.9%计,使用前不需干燥处理。
CAS号:7432-28-2
分子式:C24H32O7
分子量:432.5
结构式:
包装:棕色安瓿
规格:约20mg/支
储存条件:冷处(2~10℃)
除了五味子醇甲,,我公司还供应以下相关产品:
名称:盐酸特比萘芬
货号:BP0429
规格:100mg/支
本品为盐酸特比萘芬化学对照品,供含量测定用,含量以盐酸特比萘芬(C21H25N·HCl)计。
分子式:C21H25N·HCl
结构式:
分子量:327.90
CAS号:78628-80-5
包装及装量:安瓿,100mg/支
储存条件:置常温以下条件低温避光保存。
名称:马来酸依那普利杂质Ⅱ(依那普利双酮)
货号:BP0544
规格:30mg/支
本品为马来酸依那普利杂质Ⅱ(依那普利双酮)化学对照品,使用前不需干燥处理。供HPLC法系统适用性试验用。
CAS号:115729-52-7
分子式:C20H26N2O4
分子量:358.43
马来酸依那普利、依那普利拉(杂质Ⅰ)和依那普利双酮(杂质Ⅱ)混合溶液色谱图
色谱柱:Shiseido Capcell PAK DD C 84.6*250mm,5um
包装:西林瓶装
规格:约30mg/支
储存条件:遮光,密封,10~30℃保存。
名称:吗替麦考酚酯杂质F(麦考酚酸)
货号:BP0698
规格:50mg/支
本品为吗替麦考酚酯杂质F(麦考酚酸)化学对照品,供检查用,使用前不需干燥处理。供HPLC法测定,按C17H20O6计,含量为100%。
CAS号:24280-93-1
分子式:C17H20O6
分子量:320.34
结构式:
包装:棕色西林瓶装
规格:50毫克/支
储存条件:遮光,10~30℃密闭保存。
名称:吴茱萸碱
货号:BP1091
规格:约20mg/支
本品为吴茱萸碱化学对照品,供鉴别及含量测定用。置五氧化*磷干燥器中减压干燥12小时后使用。含量以99.6%计。
CAS号:67909-49-3
分子式:C19H17N3O
分子量:303.36
结构式:
包装:棕色瓶
规格:约20毫克/支
储存条件:冷处(2~10℃)保存。
名称:脱水差向四环素
货号:BP1590
规格:50mg/支
本品为脱水差向四环素标准品,含量按脱水差向四环素C22H22N2O7计,供盐酸四环素品种有关物质及含量测定用。
使用方法:精密称取本品适量,按相关质量标准的规定,溶解并稀释至所需浓度的溶液,立即使用。
储存条件:置5℃以下低温避光保存。开启安瓿后严密保持干燥,以防吸水。
注意事项:使用前不需干燥处理。
名称:消旋羟蛋氨酸钙
货号:BP1899
规格:220mg/瓶
本品为消旋羟蛋氨酸钙化学对照品,含量以C10H18CaO6S2计为99.7%,供鉴别与含量测定。
CAS号:4857-44-7
分子式:C10H18CaO6S2
分子量:338.45
结构式:
包装及装量:2ml棕色西林瓶轧铝盖220mg/瓶。
储存条件:冷藏:2-8℃
注意事项:使用前不需干燥处理。
风险提示:丁香通仅作为第三方平台,为商家信息发布提供平台空间。用户咨询产品时请注意保护个人信息及财产安全,合理判断,谨慎选购商品,商家和用户对交易行为负责。对于医疗器械类产品,请先查证核实企业经营资质和医疗器械产品注册证情况。
技术资料暂无技术资料 索取技术资料
五味子醇甲
¥380 - 3800










